Добавить в корзинуПозвонить
Найти в Дзене
Математичка_мечты

С чего начать подготовку к профильному ЕГЭ по математике

ЕГЭ является страшилкой настоящего времени. Уже в 1 классе дети и родители узнают, что все 11 лет будут посвящены подготовке к этому экзамену. ЕГЭ по математике с 2015 года разделён на базовый и профильный уровни. Сегодня поговорим о том с чего же начать подготовку, если без "профиля" никак. Самые первые занятия я всегда посвящаю повторению дробей и действиям с отрицательными числами. Необходимо вспомнить все действия с обыкновенными и десятичными дробями, а также перевод из одной формы в другую. Этот раздел математики можно назвать "серым кардиналом" - отдельного задания по теме нет, но практически в каждом номере придётся что-то вычислять. В качестве тренировки предлагаю следующие задания: Итак, дроби сдались, и можно приступить к непосредственной подготовке к заданиям. Я не люблю начинать разбор с первых заданий. Поэтому всегда предлагаю следующий порядок: 1) задание №9 - включает в себя все основные разделы и формулы. Работаем со степенями, логарифмами, тригонометрией. Решаем про

ЕГЭ является страшилкой настоящего времени. Уже в 1 классе дети и родители узнают, что все 11 лет будут посвящены подготовке к этому экзамену.

В какую сторону не пойдешь на ЕГЭ попадёшь..
В какую сторону не пойдешь на ЕГЭ попадёшь..

ЕГЭ по математике с 2015 года разделён на базовый и профильный уровни. Сегодня поговорим о том с чего же начать подготовку, если без "профиля" никак.

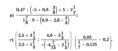
Самые первые занятия я всегда посвящаю повторению дробей и действиям с отрицательными числами. Необходимо вспомнить все действия с обыкновенными и десятичными дробями, а также перевод из одной формы в другую. Этот раздел математики можно назвать "серым кардиналом" - отдельного задания по теме нет, но практически в каждом номере придётся что-то вычислять. В качестве тренировки предлагаю следующие задания:

-2

Итак, дроби сдались, и можно приступить к непосредственной подготовке к заданиям. Я не люблю начинать разбор с первых заданий. Поэтому всегда предлагаю следующий порядок:

1) задание №9 - включает в себя все основные разделы и формулы. Работаем со степенями, логарифмами, тригонометрией. Решаем прототипы, разбираем логику каждой темы.

https://ege.sdamgia.ru/test_editor
https://ege.sdamgia.ru/test_editor

2) задание №5 - уравнения - после изучения основных формул и правил из предыдущего пункта - решаются легко и с минимумом нюансов.

https://ege.sdamgia.ru/test_editor
https://ege.sdamgia.ru/test_editor

3) задание №10 - формулы из 1 пункта + умение решать уравнения из 2-го позволяют разобраться с большинством задач. В этом задании вспоминаем поведение и свойства параболы и дополняем знания по предыдущим темам. Обратите внимание: чаще всего достаточно просто решить уравнение, не прибегая к неравенствам.

4) задание № 3 и 6 - геометрия. Всем ученикам рекомендую пробежаться по сборнику задач на готовых чертежах Э.Н. Балаяна. Основные формулы и типы задач обязательно разберём в следующих публикациях.

5) задание №4 - теория вероятностей. Начинаем с элементарных заданий, которые изучались в рамках подготовки к ОГЭ, затем переходим к теоремам о вероятностных событиях. В этом блоке самое главное понять логику и научиться правильно строить схемы. Мы с учениками тратим максимум 3 занятия, чтобы в совершенстве овладеть необходимыми навыками.

-5

На мой взгляд, именно с этих заданий следует начинать подготовку к профилю. Каждый блок требует тщательной проработки, не стоит искать новые формулы и способы решения к каждой задаче. Всё лишнее быстро забывается и абсолютно точно не вспоминается на экзамене. Именно поэтому, на занятиях мы используем только основной костяк формул.

Рекомендую в начале года завести 2 тетради - первую для теории и формул, вторую - для сложных, каверзных задачек. В процессе подготовки выписываем туда прототипы, которые оказались сложными именно для Вас и перед экзаменом повторяем их. Например, из заданий №4 в эту копилку часто попадают задачки под кодовым названием "кофе", "ВУЗ", "артиллерийская стрельба" и "волшебная погода".

В следующих публикациях обязательно коснусь каждого задания и основных, необходимых формул.

Буду рада ответить на Ваши вопросы :)