Добавить в корзинуПозвонить
Найти в Дзене
Математика лайт

Простая задача с параметром

Одна из разновидностей задания 18, которая часто встречается в экзаменационных вариантах выглядит так: Сразу бросается в глаза их общая черта: одно из уравнений — сумма двух корней, под каждым их которых сумма двух выражений, которые в свою очередь возведены в квадрат. Выглядит устрашающе, но на самом деле это просто вычисление расстояния между двумя точками. Судите сами. Возьмем точки А и С, пусть мы знаем их координаты. Как найти длину отрезка АС? Если мы знаем их координаты, то мы можем достроить прямоугольный треугольник, его катеты это просто разность координат точек А и С, а сам отрезок — гипотенуза: Это же просто теорема Пифагора! А теперь замените цифры на икс, игрек или на параметр «а» и получите то самое задание 18 с первой картинки. Значит есть какая-то точка А с координатами (х;у), точка В с координатами (1;а) и первый корень — это вычисление длины отрезка АВ. И есть точка С с координатами (5;а) и второй корень — это длина отрезка АС. Ну вот как-то так: По условию

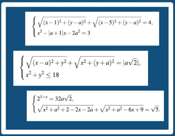
Одна из разновидностей задания 18, которая часто встречается в экзаменационных вариантах выглядит так:

Сразу бросается в глаза их общая черта: одно из уравнений — сумма двух корней, под каждым их которых сумма двух выражений, которые в свою очередь возведены в квадрат.

Выглядит устрашающе, но на самом деле это просто вычисление расстояния между двумя точками. Судите сами. Возьмем точки А и С, пусть мы знаем их координаты. Как найти длину отрезка АС? Если мы знаем их координаты, то мы можем достроить прямоугольный треугольник, его катеты это просто разность координат точек А и С, а сам отрезок — гипотенуза:

-2

Это же просто теорема Пифагора! А теперь замените цифры на икс, игрек или на параметр «а» и получите то самое задание 18 с первой картинки.

-3

Значит есть какая-то точка А с координатами (х;у), точка В с координатами (1;а) и первый корень — это вычисление длины отрезка АВ. И есть точка С с координатами (5;а) и второй корень — это длина отрезка АС. Ну вот как-то так:

-4

По условию сумма длин отрезков АВ и АС равна 4, но посмотрим на рисунок: расстояние от В до С как раз 4! Это значит, что точка А не может лежать где-то как попало. Она должна принадлежать отрезку ВС! Тогда координата точки А по оси У должна равняться «а» и тогда все уравнение упрощается до невозможности:

-5

Остается решить второе уравнение, а это просто квадратное уравнение с параметром (при условии, что икс принадлежит участку от 1 до 5). А это уже легко.

Правда?

А если нет, если Вы хотите узнать как дорешать это задание, то пишите обэтом в комментариях. Дорешаем!