Добавить в корзинуПозвонить
Найти в Дзене

Вязкость сухого воздуха

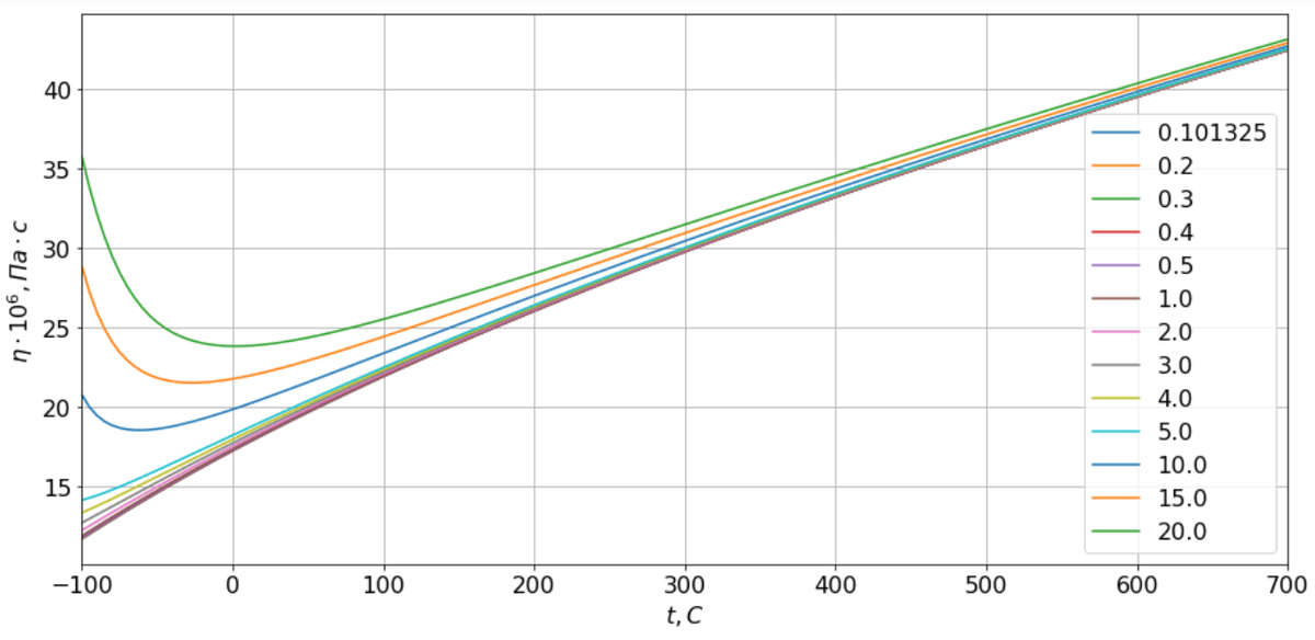
Различают динамическую вязкость (единица измерения Па*с ) и кинематическую вязкость (единица измерения м2/с) , представляющую собой отношение динамической вязкости к плотности среды. Используя изложенную в [1] методику, мною на языке программирования Python была написана функция calc_dryair_dvisc (скачать), которая в качестве входных параметров принимает значения температуры (градусы Цельсия) и давления (Па) (необязательный параметр, по умолчанию 101325 Па - нормальное атмосферное давление) и возвращает значение динамической вязкости сухого воздуха (Па*с). Диапазон возможных входных значений: t = [-100; 700] C, p = [0,1; 20] МПа. Использование функции: from calcdryairdvisc import calc_dryair_dvisc dvisc = calc_dryair_dvisc (t, p) Пример применения функции calc_dryair_dvisc. Результаты применения функции - значения динамической вязкости сухого воздуха при различных значениях температуры и абсолютного давления в табличном виде для диапазона температур [-100; 700] C и давлен

Различают динамическую вязкость (единица измерения Па*с ) и кинематическую вязкость (единица измерения м2/с) , представляющую собой отношение динамической вязкости к плотности среды.

Используя изложенную в [1] методику, мною на языке программирования Python была написана функция calc_dryair_dvisc (скачать), которая в качестве входных параметров принимает значения температуры (градусы Цельсия) и давления (Па) (необязательный параметр, по умолчанию 101325 Па - нормальное атмосферное давление) и возвращает значение динамической вязкости сухого воздуха (Па*с). Диапазон возможных входных значений: t = [-100; 700] C, p = [0,1; 20] МПа.

Использование функции:

from calcdryairdvisc import calc_dryair_dvisc

dvisc = calc_dryair_dvisc (t, p)

Пример применения функции calc_dryair_dvisc.

Результаты применения функции - значения динамической вязкости сухого воздуха при различных значениях температуры и абсолютного давления в табличном виде для диапазона температур [-100; 700] C и давления [0,1; 20] МПа можно посмотреть здесь.

Как было сказано выше, для определения значения кинематической вязкости требуется разделить значение динамической вязкости на плотность среды.

Для определения плотности сухого воздуха по заданным значениям температуры и давления можно применить функцию calc_dryair_dens или воспользоваться таблицей.

Значения кинематической вязкости сухого воздуха при различных значениях температуры и абсолютного давления в табличном виде для диапазона температур [-100; 700] C и давления [0,1; 20] МПа можно посмотреть здесь.

Ссылки

1. ГСССД 109-87 Воздух сухой. Коэффициенты динамической вязкости и теплопроводности при температурах 150...1000 К и давлениях от соответствующих разреженному газу до 100 МПа

2. Плотность сухого воздуха

Наука
7 млн интересуются