Найти в Дзене
Твой фармацевт

Антитромботические средства. Группа гепарина

Вступление Данная статья является второй по счету в цикле антитромботических средств, в первой я рассказала об антагонистах витамина К. Хочу напомнить, что: Пожалуйста, дочитайте статью до конца и пройдите опрос :) Это поможет мне сделать канал еще лучше. Также буду рада, если вы поставите лайк, напишите комментарий или отправите данную статью своим знакомым. Будет еще лучше, если вы подпишитесь на мой канал, ведь это поможет мне развиваться дальше и готовить качественный контент для вас. Заранее спасибо :) От теории к практике Итак, группа гепарина, которая имеет код В01АВ начинается собственно с гепарина, как предшественника-основателя данной группы, и содержит 8 подгрупп, о которых я сейчас кратко расскажу. Пожалуйста, дочитайте статью до конца и пройдите опрос :) Это поможет мне сделать канал еще лучше. Препараты гепарина являются прямыми коагулянтами, то есть препятствуют свертыванию крови. Показаниями к применению препаратов группы гепарина являются: Сам гепарин в норме синтез
Оглавление

Вступление

Данная статья является второй по счету в цикле антитромботических средств, в первой я рассказала об антагонистах витамина К.

Хочу напомнить, что:

  • изложенная информация не является рекламой, а служит для ознакомительного характера;
  • данная информация не является агитацией к приему препаратов. В случае решения о приеме обязательно посещение специалиста с целью консультации;
  • данные препараты, приведённые ниже, подлежат рецептурному отпуску.

Пожалуйста, дочитайте статью до конца и пройдите опрос :) Это поможет мне сделать канал еще лучше. Также буду рада, если вы поставите лайк, напишите комментарий или отправите данную статью своим знакомым. Будет еще лучше, если вы подпишитесь на мой канал, ведь это поможет мне развиваться дальше и готовить качественный контент для вас. Заранее спасибо :)

От теории к практике

Итак, группа гепарина, которая имеет код В01АВ начинается собственно с гепарина, как предшественника-основателя данной группы, и содержит 8 подгрупп, о которых я сейчас кратко расскажу. Пожалуйста, дочитайте статью до конца и пройдите опрос :) Это поможет мне сделать канал еще лучше.

Препараты гепарина являются прямыми коагулянтами, то есть препятствуют свертыванию крови.

Показаниями к применению препаратов группы гепарина являются:

  • профилактика и лечение тромбоэмболий;
  • операции на сердце или кровеносных сосудов;
  • поддержание крови в жидком состоянии в случае, если человек находится на гемодиализе или искусственном кровообращении;
  • для предотвращения свертывания крови в лабораторных исследованиях.

Сам гепарин в норме синтезируется из глюкозы и сульфатных остатков в тучных клетках, находящихся в печени, легких, сосудах.

Рисунок 1 - Микроскопическая фотография тучных клеток
Рисунок 1 - Микроскопическая фотография тучных клеток

Гепарин, код В01АВ01

Гепарин был открыт случайно студентом Джеем Маклином в 1916 году, который изучал тромбопластическую активность (скорость образование тромбов) человеческого организма. Он исследовал определенные компоненты печени, в результате чего обнаружил, что находящиеся там гепар-фосфатиды снижают свертывание крови. Данное открытие привело к дальнейшим исследованиям.

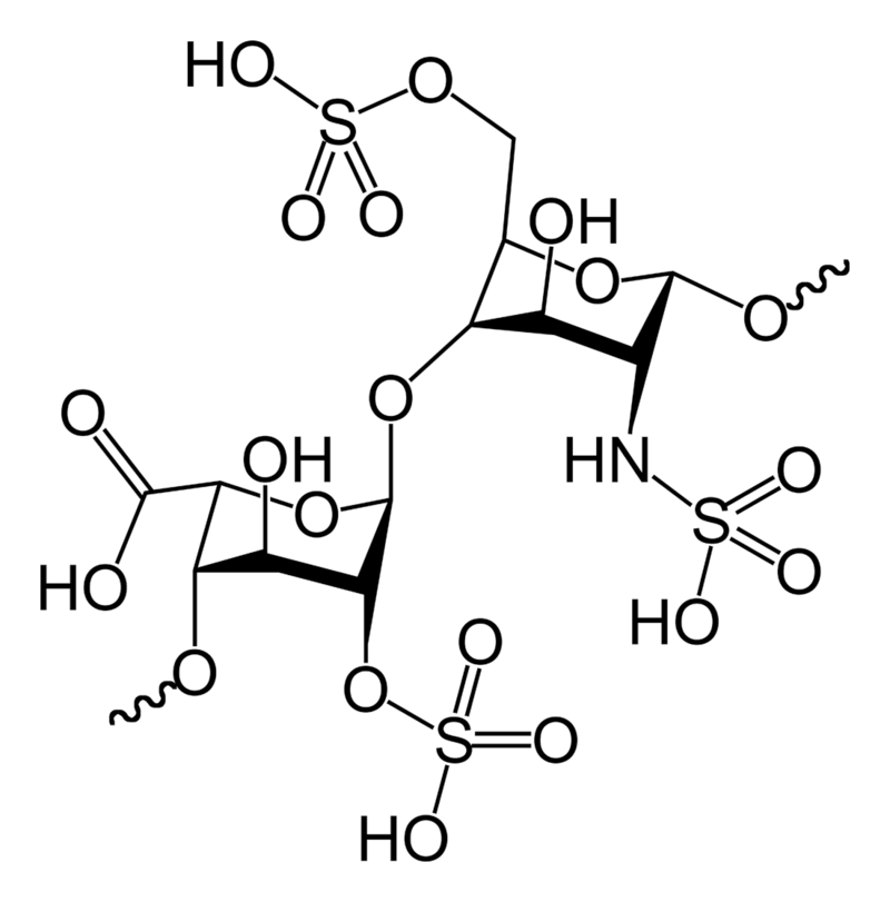
Рисунок 2 - Структурная формула гепарина
Рисунок 2 - Структурная формула гепарина

В настоящее время гепарин получают из печени, легких, слизистой оболочки тонкого кишечника крупного рогатого скота или свиней.

Фармакология

Гепарин связывается с антитромбином III, который обладает противосвертывающим действием. В результате данного процесса блокируется тромбин (красный цвет), активированные факторы IX, X, XI, XII (оранжевый цвет), плазмин и калликреин (желтый), что препятствует образованию тромба.

Рисунок 3 - Механизм действия гепарина
Рисунок 3 - Механизм действия гепарина

Показания к применению

Помимо показаний, указанных в начале статьи, гепарин применяют при:

  • ДВС-синдроме;
  • остром инфаркте миокарда;
  • сужении артерий;
  • флебите и тромбофлебите;
  • варикозе.

Данный препарат можно вводить внутривенно, подкожно и использовать наружно при отеках, травмах, ушибах, воспалении вен, варикозе.

Антитромбин III, код В01АВ02

Антитромбин III - это гликопротеид, полученный из плазмы крови человека. Как уже было сказано выше, он препятствует образованию тромба, отчего является антитромботическим средством.

Рисунок 4 - Препарат антитромбина III
Рисунок 4 - Препарат антитромбина III

Фармакология

Антитромбин III блокирует тромбин, факторы свертывания IX-XII, калликреин, плазмин (рис. 3)

Показания к применению

Данное вещество применяется только при его врожденном дефиците и ДВС-синдроме.

В настоящее время выпускается только 1 препарат антитромбина.

Далтепарин натрия, код В01АВ04

Далтепарин натрия был разработан в Бельгии, а в России впервые появился в 2006 году. Он является низкомолекулярной солью гепарина, который представлен не в полимерной форме. Он также, как гепарин, получается из тонкого кишечника свиней, а затем обрабатывается азотной кислотой и подвергается очистке путем хроматографии.

Рисунок 5 - Препарат далтепарина натрия
Рисунок 5 - Препарат далтепарина натрия

Фармакология

Далтепарин, как гепарин, связывается с антитромбином III и усиливает его тормозное влияние на активность фактора свертывания Ха. Но, в отличии от гепарина, он в меньшей степени уменьшает активность тромбина, т.к. далтепарин не содержит в нужном количестве полисахаридных цепочек.

Препарат также незначительно изменяет метаболизм липидов и функцию тромбоцитов. Это значит, что он не вызывает значительных изменений основных функций крови и кровяных телец.

Показания к применению

Далтепарин может применяться при:

  • лечении тромбозов глубоких вен, тромбоэмболии легочной артерии, инфаркта миокарда, стенокардии;
  • профилактике тромбозов при осложнениях заболеваний, предрасположенности, после операции.

Эноксапарин, код В01АВ05

Эноксапарин натрия вошел на фармацевтический рынок России в 2008 году. Сам он является французским препаратом и представляет собой низкомолекулярную соль гепарина, имеющую массу 4500 Дальтон. В настоящее время аналогов не имеет, то есть выпускается только оригинальный препарат.

Рисунок 6 - Эноксапарин натрия
Рисунок 6 - Эноксапарин натрия

Фармакология

В отличии от гепарина, эноксапарин ингибирует только тромбокиназу и тромбин (рис. 7).

Рисунок 7 - Механизм действия эноксапарина
Рисунок 7 - Механизм действия эноксапарина

Показания к применению

Как у предыдущих препаратов показаниями являются следующие:

  • стенокардия;
  • инфаркт миокарда;
  • легочная эмболия или эмболия вен;
  • профилактика тромбозов после операций.

Надропарин, код В01АВ06

Надропарин кальция - низкомолекулярная соль гепарина с массой 4500-5000 Дальтон. Данный препарат был разработан Ирландией в 2009 году, и по сравнению с остальными, у него с точки зрения фармакологии есть следующие преимущества:

  • понижает уровень холестерина и бета-липопротеидов в сыворотке крови;
  • улучшает кровообращение в сердце.

В остальном его действие аналогично эноксопарину, однако его активность в отношении фактора Ха (тромбокиназы) в 4 раза выше по сравнению с активностью в отношении тромбина. Показания к применению аналогичные.

В настоящее время выпускается только оригинальный препарат, аналогов не имеет.

Рисунок 8 - Препарат надропарина кальция
Рисунок 8 - Препарат надропарина кальция

Парнапарин, код В01АВ07

Парнапарин натрия был разработан Итальянской фармацевтической компанией и зарегистрирован в России в 2013 году. До сих пор защищен авторским правом на действующее вещество и не имеет аналогов. Данное вещество представляет собой низкомолекулярный глюкозамин с массой 4000-6000 Дальтон.

Рисунок 9 - Препарат парнапарина натрия
Рисунок 9 - Препарат парнапарина натрия

Фармакология

Парнапарин в большей степени ингибирует фактор Ха (тромбокиназа) и практически не влияет на тромбин (IIa), что отличает его от других препаратов данной группы.

Показания к применению

Показания к использованию парнапарина натрия являются:

  • профилактика тромбоза глубоких вен после операций или в случае предрасположенности;
  • лечение тромбоза, посттромбофлеботического синдрома, варикофлебита, хронической венозной недостаточности.

Сулодексид, код В01АВ11

Сулодексид, в отличии от остальных препаратов, не является производными гепарина, а представляет собой экстракт кишечника свиней, на 80% состоящий из гепариноида и на 20% из дерматан сульфата.

Рисунок  - Препарат сулодексида
Рисунок - Препарат сулодексида

Фармакология

Данный препарат обладает не только антитромботическим действием за счет подавления активности тромбокиназы, но еще и:

  • фибринолитическим за счет стимулирования фибринолитической системы (отвечает за естественное рассасывание тромбов);
  • ангиопротективным (защищает сосуды) за счет восстановления структурной целостности и функции клеток сосуда, их плотности;
  • антикоагулянтным за счет уменьшения вязкости крови.

Показания к применению

Показания к применению данного препарата является повышенное тромбообразование.

В настоящее время продажа ампульных препаратов данного вещества прекращена.

Бемипарин, код В01АВ12

Можно выдохнуть, это последняя группа на сегодня.

Данное вещество является низкмолекулярной солью гепарина, которая обладает аналогичным фармакологическим эффектом, поэтому показания к приему данной группы аналогичны.

Обращение к читателям

Благодарю каждого из вас за прочтение и интерес к моей работе. Также буду рада, если вы поставите лайк, напишите комментарий или отправите данную статью своим знакомым. Будет еще лучше, если вы подпишитесь на мой канал, ведь это поможет мне развиваться дальше и готовить качественный контент для вас. Также прошу вас пройти проведенный ниже опрос.

Опрос