Добавить в корзину
Позвонить
Найти в Дзене
Войти
ОГЭ по математике
7 подписчиков
Подписаться
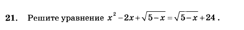
Тренировочный вариант ОГЭ по математике с решением. Часть 2. Алгебра
19 августа 2020
19 авг 2020
22
...
Читать далее
1
2
493443077.764.1778026233104.30230