Добавить в корзинуПозвонить
Найти в Дзене
Счётоматика

Раздумываешь, покупать ли второй комплект дисков? Ответ здесь...

После покупки автомобиля, многие задаются вопросом: "Покупать ли второй комплект дисков или дважды в год перебортовывать шины?"
Оглавление
Источник изображения: unsplash.com
Источник изображения: unsplash.com

Приветствуем Вас на канале "Счётоматика".

Конечно, хорошо, когда вместе с автомобилем удаётся заполучить сразу и комплект зимних шин, да ещё бортированный на диски. Но так везёт далеко не каждому, разве что такой приятный бонус встречается при покупке поддержанного автомобиля. Если же автомобиль покупался в автосалоне, то как правило, придётся довольствоваться лишь исключительно подарочными зимними шинами.

И тут перед автолюбителями встаёт вопрос: "Покупать ли второй комплект дисков или дважды в год перебортовывать шины?" Ответом на него мы и займёмся в данной статье.

Начальные условия

Каждая конкретная ситуация неповторима, и, соответственно, расчёты будут разниться. Но всё же мы попытаемся приблизиться к среднестатистическому случаю, а для этого необходимо определиться с начальными условиями.

Размер колеса:

  • Шина 215/65 R16 98H;
  • Диск литой 6,5Jx16 H2 5x114,3 ET46 d67,1.

Основные затраты:

  • Стоимость литого диска (Сд): 5000 ₽;
  • Стоимость сезонной смены колёс (Сз): 1500 ₽ (за 4 колеса).
Расчёт будет производиться для литых дисков

Расчёт срока окупаемости

В начале определим стоимость комплекта новых литых дисков (Ск):

Ск = Сд · n,

где n – количество колёс у автомобиля.

Тогда Ск = 5000 · 4 = 20000 ₽.

Далее найдём затраты за год на сезонную смену колёс при одном комплекте дисков (С₁):

С₁ = Сз · k,

где k – количество сезонных смен колёс.

Тогда С₁ = 1500 · 2 = 3000 ₽.

Теперь проведём расчёт срока окупаемости второго комплекта дисков (R):

R = (Ск + Су) / С₁,

где Су – затраты на первичную сборку новых дисков и зимних шин.

Су = 1000 ₽ (за 4 колеса).

Тогда R = (20000 + 1000) / 3000 = 7 лет.

Данные вычисления может выполнить почти любой школьник. Но мы то взрослые люди! Поэтому усложним и уточним наш расчёт.

Уточнённый расчёт

Во-первых, необходимо учесть инфляцию, которая выражается в росте годовых затрат на сезонную смену колёс. Примем данный рост в размере 5%.

Во-вторых, не стоит забывать, что для обеспечения должного уровня качества в процессе эксплуатации автомобиля каждая смена колёс должна сопровождаться проверкой балансировки (более подробная информации представлена в статье влияние балансировки колёс).

Также необходимо предусмотреть, что не каждое колесо будет нуждаться в новой балансировке. Возьмём в качестве ориентира два колеса. То есть будем считать, что два случайных колеса каждый сезон потребуют установки новых балансировочных грузиков.

Тогда стоимость балансировки колёс равна (Сб): 400 ₽ (за 4 колеса).

Стоимость может показаться слегка завышенной, это объясняется тем, что отдельные услуги стоят дороже.

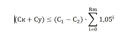
Выведем уравнение уточнённого расчёт срока окупаемости второго комплекта дисков (Rm):

-2

где 1,05 – коэффициент, учитывающий рост затрат на 5% в год.

С₂ – затраты за год на сезонную смену колёс при двух комплектах дисков.

С₂ = Сб · k = 400 · 2 = 800 ₽.

Рассматривается исключительно проверка балансировки колёс без учёта съёма и установки, поскольку данную операцию проблематично выполнить самостоятельно среднестатистическому автолюбителю.

Теперь найдём уточнённый срок окупаемости второго комплекта дисков. Расчёт сведём в таблицу:

 Таблица 1. Расчёт окупаемости второго комплекта дисков
Таблица 1. Расчёт окупаемости второго комплекта дисков

Срок окупаемости второго комплекта дисков при уточнённом расчёте – 8 лет.

Если замену колёс (одного комплекта на другой) производить в шиномонтажной мастерской, то с учётом балансировки разница в затратах за год на сезонную смену колёс составит 1000 ₽.
Срок окупаемости второго комплекта дисков составит: 15 лет.

Факторный анализ

Для более широкого представления проведём расчёт, изменяя начальные условия.

В таблице 2 в столбце "Срок" приведены сроки окупаемости второго комплекта дисков при сохранении затрат на приобретение комплекта новых дисков, его первичную сборку с зимними шинами (21000 ₽) в зависимости от изменения разницы затрат на сезонную смену колёс при одном или двух комплектах дисков.

Таблица 2. Окупаемости второго комплекта дисков в зависимости от изменения разницы затрат на сезонную замену колёс
Таблица 2. Окупаемости второго комплекта дисков в зависимости от изменения разницы затрат на сезонную замену колёс

По таблице 2 можно самостоятельно определить срок окупаемости второго комплекта дисков при условии изменения затрат на их приобретение.

Например, при стоимости комплекта дисков 14000 ₽ и затратах на их первичную сборку с зимними шинами в размере 1000 ₽, а также с разницей затрат на сезонную смену колёс в размере 2200 ₽ срок окупаемости составит 6 лет.

Качественный анализ

Да, срок окупаемости второго комплекта дисков для выбранных начальных условий составил 8 лет. Тем не менее стоит учёсть, что по прошествии срока окупаемости (а также раньше), второй комплект дисков останется в наличии. Тем самым автолюбитель будет обладать небольшим капиталом в размере приблизительно 50% от стоимости комплекта дисков.

Следовательно, если принимать во внимание данный фактор, то срок окупаемости может быть снижен вдое (или в зависимости от фактической стоимости комплекта дисков). То есть в нашем случае до 4-х лет.

Выводы

  1. Срок окупаемости второго комплекта дисков для выбранных начальных условий (суммарные затраты на комплект новых дисков – 21000 ₽, разница затрат на сезонную смену колёс – 2200 ₽) составил 8 лет.
  2. Принимая комплект дисков как имущество, которое можно реализовать, срок окупаемости второго комплекта дисков может быть снижен до 4-х лет.
  3. При планировании эксплуатации автомобиля более трех лет иметь второй комплект дисков экономически целесообразно.
Надеемся, данная статья Вам понравилась и помогла узнать что-то новое.
Мы всегда приветствуем любую критику, особенно конструктивную.

Подписывайтесь на канал, чтобы быть в курсе новых расчётов.

Также Вам может понравиться:

Не забывайте положительно оценивать статью.

Спасибо за внимание!