Добавить в корзинуПозвонить
Найти в Дзене

Математические выкладки в документе без мыслей о суициде. Часть 2. Скобки.

Продолжаем рассматривать сильнейшую из сторон LaTeX, на этот раз дополним общую информацию из Части 1, разобравшись с постановкой скобок и их подобий.
Оглавление

Продолжаем рассматривать сильнейшую из сторон LaTeX, на этот раз дополним общую информацию из Части 1, разобравшись с постановкой скобок и их подобий.

Скобки

Некоторые скобки могут ставиться напрямую:

  • ()
  • []
  • ||
  • //

А вот фигурные скобки { и } это служебный символ, потому они вводятся командами \{ и \} соответственно.

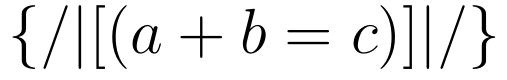
$\{/|[(a+b=c)]|/\}$
Вот так выглядит код и результат компиляции всех скобок.
Вот так выглядит код и результат компиляции всех скобок.

Любая из этих скобок может не иметь пары в выражении, например, одиночный слэш / может использоваться в качестве косой дроби.

Однако, в случаях, если внутри скобок стоит дробь, или другое выражение, имеющее большую высоту, скобки, введённые так начинают вызывать боль и кровотечение из глаз:

\[a\cdot(\frac{Ax+Bx^2+Cx^3}{\frac{Ax^2+Bx}{x^3}})\]
Полное фуфуфу!
Полное фуфуфу!

Для того, чтобы поставить любую из этих скобок так, чтоб её высота соответствовала содержимому, следует использовать команды \left \right.

  • \left( и \right)
  • \left[ и \right]
  • \left| и \right|
  • \left/ и \right/
  • \left\{ и \right\{

Для каждой команды \left обязательно наличие команды \right и наоборот. При этом левая и правая скобки могут быть разными.

\[a\cdot\left(\frac{Ax+Bx^2+Cx^3}{\frac{Ax^2+Bx}{x^3}}\right)\]
\[\left(\frac{Ax+Bx^2+Cx^3}{\frac{Ax^2+Bx}{x^3}}\right]\]

В результате получаем скобки, адекватные содержимому:

Пример компиляции предыдущего фрагмента кода.
Пример компиляции предыдущего фрагмента кода.

Одиночные скобки

Естественна ситуация, когда скобка нужна одна (только открывающая, или только закрывающая), в случае с командами \right и \left, вместо ненужной скобки набирается точка:

\[\left.\frac{A}{\frac{B}{C}}\right\}\]
Вот такая бессмыслица с абсолютно ненужной скобкой. Простите меня, математики)
Вот такая бессмыслица с абсолютно ненужной скобкой. Простите меня, математики)

За сим разбор скобок считаю оконченным, далее по плану - работа с дробями, системами уравнений, матрицами. Ссылка на исходный код с приведёнными примерами вот.

Подписывайтесь, тычьте пальцы вверх и ставьте комментарии) Всем добра и риса.