Найти в Дзене

Обнаружена кардинальная злодейка ЕГЭ по химии 2020?! Как же она мне нравится!

Вы хотите познавать химию и профессионально, и с удовольствием? Тогда вам сюда! Автор методики системно-аналитического изучения химии Богунова В.Г. раскрывает тайны решения задач, делится секретами мастерства при подготовке к ОГЭ, ЕГЭ, ДВИ и олимпиадам
Счастливые люди те, для кого неудача на ЕГЭ по химии 2020 - самое главное горе в жизни! Лично я не собираюсь участвовать во всеобщих стенаниях -

Вы хотите познавать химию и профессионально, и с удовольствием? Тогда вам сюда! Автор методики системно-аналитического изучения химии Богунова В.Г. раскрывает тайны решения задач, делится секретами мастерства при подготовке к ОГЭ, ЕГЭ, ДВИ и олимпиадам

Счастливые люди те, для кого неудача на ЕГЭ по химии 2020 - самое главное горе в жизни! Лично я не собираюсь участвовать во всеобщих стенаниях - полно других моментов, где не грех и выплакаться в волю.

В июле-августе, в отпуске, я обычно выступаю в роли "патологоанатома, мыслителя и созидателя" одновременно. Как это? Опять эти страшные ужастики?! И все это на фоне всеобщей истерики по ЕГЭ?!

Спокойствие, только спокойствие! Не нужно нервничать! Все живы и более чем здоровы! Просто я "препарирую" каждую, попавшуюся мне в руки, задачу ЕГЭ по химии - решаю ее, оформляю по авторской системе (при этом вся система алгоритма видна, как на навигаторе), анализирую блоки комбинированной задачи и... делаю методические выводы. Поскольку "процедуры над задачами" - мое хобби, я провожу их не торопясь, с чувством, с толком, с расстановкой.

Недавно я обнаружила одну из, пожалуй, самых "навороченных алгоритмическими фишками" 34-х задач. Скорее всего, именно она (или типа того) стала "кардинальной злодейкой" ЕГЭ, из-за чего и пошел весь "сыр-бор, истерика и плачи". Впрочем, судите сами.

Сегодня предлагаю всем нам выступить в роли "патологоанатома (препаровальщика, вскрывателя) задач", дабы развенчать миф об их "нерешаемости". В следующий раз обещаю роль "творцов и сеятелей доброго-вечного". А пока, поехали на вскрытие задачи!

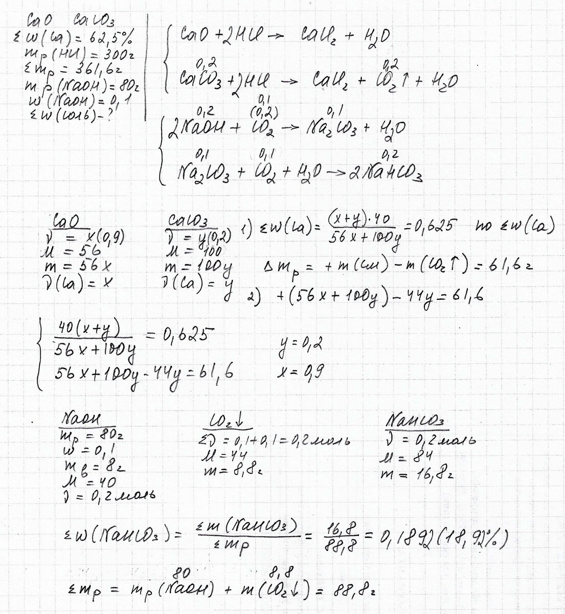
34 задача (ЕГЭ 2020)

Смесь оксида кальция и карбоната кальция с массовой долей кальция 62,5% растворили в 300 г раствора соляной кислоты. Масса раствора стала 361,6 г. Выделившийся газ пропустили через 80 г 10%-ного раствора гидроксида натрия. Вычислите массовую долю соли в конечном растворе
Реальную 34-ю задачу ЕГЭ 2020 решает репетитор Богунова В.Г.
Реальную 34-ю задачу ЕГЭ 2020 решает репетитор Богунова В.Г.

Особенности задачи:

1. Задача на смеси, когда не известны абсолютные значения веществ, оба компонента реагируют похоже. Задача решается путем составления системы уравнений с двумя неизвестными
2. Первое алгебраическое уравнение системы "закрывается" на массовой доле элемента в смеси
3. Второе алгебраическое уравнение системы "закрывается" на изменение массы раствора.
4. Элемент атомистики (впервые встречается в заданиях ЕГЭ 2020) - массовая доля элемента в смеси веществ.
5. Изменение массы раствора - как одна из "точек" анализа и расчета (этот прием используется также в задачах на пластины, редко встречался в заданиях ЕГЭ). Изменение массы раствора происходит в результате поступления в раствор определенных масс веществ (оксида кальция и карбоната кальция) и выделения из раствора определенно массы продукта реакции (углекислый газ).
6. Во втором блоке задачи используется прием "ступени" - последовательная (по ступеням) реакция углекислого газа с раствором щелочи. Необходимо проводить расчет по каждой ступени с учетом избытка-недостатка.
NB! При грамотном (системном) оформлении решения задачи, ее алгоритм легко читается, понимается и не требует "запоминания и натаскивания"!

Понравилась статья? Скоро будет продолжение. Самое интересное, как всегда, впереди! Успехов и удачи! До встречи на Яндекс Дзен! Не забывайте подписаться на мой канал, поставить лайк и посетить сайт "Репетитор по химии и биологии"!

ВНИМАНИЕ!!!

Репетитор Богунова В.Г. с 1 сентября 2020 г. начинает онлайн-курс подготовки к ЕГЭ 2021 по химии и биологии!
Расписание занятий:
1. Пятница, 17-00 – 20-00 Мск
Профильный курс биологии (Зоология, Ботаника), 1-е полугодие.
Погружение в ЕГЭ по биологии 2021 (имитация ЕГЭ с анализом и тренингом), 2-е полугодие.
2. Суббота 10-00 – 13-00 Мск
Профильный курс биологии (Общая биология) + Курс Алгоритмики задач по генетике и молекулярной биологии (уровень «Мастер»), 1-е полугодие.
Профильный курс биологии (Человек), 2-е полугодие.
3. Суббота, 14-00 – 17-00 Мск
Профильный курс химии (Химия элементов) + Курс Алгоритмики задач по химии (уровень «Мастер»), 1-е полугодие.
Погружение в ЕГЭ по химии 2021 (имитация ЕГЭ с анализом и тренингом), 2-е полугодие.
4. Воскресенье, 10-00 – 13-00 Мск
Профильный курс химии (Общая химия) + Курс Алгоритмики задач по химии (уровень «Стартап, продолжение»), 1-е полугодие.
Профильный курс химии (Органическая химия) + Курс Алгоритмики задач по химии (уровень «Стартап, продолжение»), 2-е полугодие.
Для каждого ученика составляется индивидуальное расписание занятий (с учетом его предварительной подготовки, уровня знаний и мастерства)
О занятиях с репетитором Богуновой В.Г. вы можете познакомиться в публикациях на Яндекс Дзен:
«Загадки программы профильного курса химии для подготовки к ЕГЭ»
«Пять секретов онлайн-занятий репетитора по химии. Профильный курс»
«Загадки программы профильного курса биологии для подготовки к ЕГЭ. 1. Общая биология»
Репетитор Богунова В.Г. с учениками
Репетитор Богунова В.Г. с учениками

Еще больше заданий и задач вы найдете на сайте репетитора Богуновой Валентины Георгиевны

Репетитор по химии и биологии кбн В.Богунова