Добавить в корзинуПозвонить
Найти в Дзене

ЕГЭ по химии 2020 - лучшее из всех, которые были!

Вы хотите познавать химию и профессионально, и с удовольствием? Тогда вам сюда! Автор методики системно-аналитического изучения химии Богунова В.Г. раскрывает тайны решения задач, делится секретами мастерства при подготовке к ОГЭ, ЕГЭ, ДВИ и олимпиадам
Ой, что сейчас начнется!!! Я представляю, какие комментарии будут написаны под статьей, однако, пишу исключительно собственное мнение

Вы хотите познавать химию и профессионально, и с удовольствием? Тогда вам сюда! Автор методики системно-аналитического изучения химии Богунова В.Г. раскрывает тайны решения задач, делится секретами мастерства при подготовке к ОГЭ, ЕГЭ, ДВИ и олимпиадам

Ой, что сейчас начнется!!! Я представляю, какие комментарии будут написаны под статьей, однако, пишу исключительно собственное мнение репетитора-профессионала с многолетним опытом работы.

Написать именно такую статью меня натолкнули многочисленные комментарии под моими предыдущими публикациями, особенно под статьей, написанной ровно год назад, в которой я освещала реальные задачи ЕГЭ по химии 2019.

Народ, когда читаете статьи, смотрите внимательно на даты публикации! Вы задачу прошлого года (тоже не подарок судьбы) приняли за новые задания ЕГЭ 2020 и начали орать о "нерешаемости" таких задач!

Аргументы в "защиту" заданий ЕГЭ 2020

1. В задачах представлена атомистика - раздел алгоритмики химии, который лично я считаю одним из самых важных для развития абстрактного мышления и формирования способности системного восприятия информации ("раскладывание по полочкам").
2. Задания органической компоненты были представлены реакциями, требующими понимания механизма протекания реакции, а не "тупого запоминания" уравнения реакции.
3. Новый стиль формулировок заданий ("по-взрослому") ориентирует всех - и ребят, и учителей - срочно "обновить и осовременить" знания химии.
4. В заданиях преобладали: логика над "химизмом", системный анализ над "зазубренными знаниями", творчество над "натасканностью"
5. Уровень сложности задач был не только не выше тех, которые были представлены в ЕГЭ прошлых лет, но, как мне показалось, даже проще.

Впрочем, судить вам. Я представляю реальные задачи ЕГЭ прошлых лет и одну из задач ЕГЭ 2020.

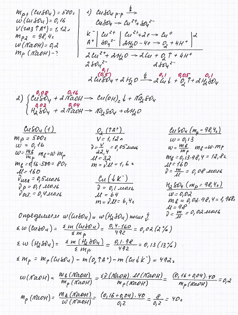
34 задача (ЕГЭ 2018)

При проведении электролиза 500 г 16%-ного раствора сульфата меди (II), процесс прекратили после того, как на аноде выделилось 1,12 л (н.у.) газа. Из полученного раствора отобрали порцию массой 98,4 г. Вычислите массу 20%-ного раствора гидроксида натрия, необходимого для полного осаждения ионов меди из отобранной порции раствора
Реальная 34-я задача ЕГЭ 2018
Реальная 34-я задача ЕГЭ 2018

34 задача (ЕГЭ 2019)

Растворимость хлорида алюминия при некоторой температуре 53,4 г на 100 г воды. Насыщенный при данной температуре раствор хлорида алюминия массой 767 г разделили на две части. В первую колбу добавили избыток раствора нитрата серебра, выделилось 344,4 г осадка. Во вторую колбу долили 40%-й раствор гидроксида натрия массой 960 г. Определите массовую долю хлорида натрия в полученном растворе во второй колбе
Реальная 34-я задача ЕГЭ 2019
Реальная 34-я задача ЕГЭ 2019

34 задача (ЕГЭ 2020)

Смесь сульфата железа (II) и сульфата железа (III), в которой на 3 атома железа приходится 4 атома серы, поместили в раствор перманганата калия массой 126,4 г (w = 5%), подкисленный серной кислотой. Вещества прореагировали полностью. Определите массу раствора гидроксида натрия (w = 20%), который может прореагировать с образовавшимся раствором
Реальная 34 задача ЕГЭ 2020
Реальная 34 задача ЕГЭ 2020

Видеоразбор реальной 34-й задачи ЕГЭ 2020 (и других задач и заданий) с методическим анализом и обучением алгоритмике смотрите на моем Ютуб-канале

Проблема понятна - многие выпускники плохо написали ЕГЭ по химии. Теперь встают два закономерных вопроса (по классику):

1) Кто виноват?
2) Что делать?

Я не претендую на роль всеобщего гуру - пишу исключительно собственное мнение. Вы можете соглашаться, не соглашаться, предлагать свое решение или просто покинуть страницу. Однако, продолжу.

Кто виноват?

1. Высшая школа, особенно медицинская, требует отлично подготовленных абитуриентов, лучших из лучших. Это не только право ВУЗа, но и наши с вами права - на качественное медицинское обслуживание в целом. Лично я не хочу лечиться у двоечников!

2. Во все годы поступление в медицинский ВУЗ было не простым делом. Я уже приводила пример билета вступительного экзамена в РГМУ (2-й мед) в 2006 году. Ловите еще один. Можете попробовать решить, чтобы легче стало на душе после ЕГЭ 2020

Вариант билета вступительного экзамена в РГМУ, 2006 г.
Вариант билета вступительного экзамена в РГМУ, 2006 г.

3. Средняя школа (бесплатная для родителей) дает исключительно общее развитие нашим детям, обязательное для всех. Не всем нужна профессиональная химия, поэтому в средней школе она преподается как "описательный" предмет (как история), но не как "точный" предмет (как математика). Школу ругать нечего! Учителя и так заняты больше воспитанием ребят, чем их обучением (это - беда, а не вина школы).

4. Учеба в ВУЗе - не есть витальная потребность. Как добиться этого, каждый решает для себя сам. Кто-то находит репетитора, который значительно сокращает время подготовки, направляет в нужное русло, контролирует и мотивирует. Да, это стоит дорого, но оно стоит того! Те, кто ограничен в финансах, учится сам. Много учится - по 12 часов в день, 2-3 года. Благо, сейчас есть для этого абсолютно вся информация в Интернете. БЕСПЛАТНО! Одно нужно выработать в себе - "ежедневное поднимание попы с кровати и включение головы", даже если этого очень не хочется! Иначе, ВУЗа не видать, как собственных ушей!

Кто виноват? Стань перед зеркалом - увидишь лицо виновника в твоих неудачах! Нужно было учиться, рассчитывая на собственные силы и не надеясь на помощь кого-либо со стороны!

Что делать?

Как пишет классик: "нужно учиться, учиться и еще раз учиться"! Повторюсь, можно учиться БЕСПЛАТНО! В интернете есть все!

Привожу примеры моих статей на Дзене и роликов на Ютуб-канале, в которых разбирались задачи аналогичные представленных на ЕГЭ 2020, но гораздо более сложные.

1-я тренировочная задача (перед ЕГЭ 2020)

Медный купорос массой 50 г растворили в некотором количестве воды и получили раствор, в котором соотношение атомов меди и кислорода составляет 1 : 109 соответственно. В полученный раствор поместили железную пластинку и вынули ее в тот момент, когда масса сульфата меди (II) уменьшилась на 50%. К образовавшемуся раствору прилили 200 г раствора иодида калия. После протекания реакции в растворе не осталось ионов меди. Определите массовую долю сульфата калия в образовавшемся растворе (незначительным растворением иода пренебречь)
Тренировочная задача по химии репетитора Богуновой В.Г. перед ЕГЭ 2020
Тренировочная задача по химии репетитора Богуновой В.Г. перед ЕГЭ 2020

Яндекс Дзен Кошмар ЕГЭ по химии 2020?! Ужасы атомистики, пластин и йодида меди

Ютуб-канал Ужасы атомистики, пластин и йодида меди в 34-м задании

2-я тренировочная задача (перед ЕГЭ 2020)

К 47 г насыщенного раствора сульфата меди (II) добавили порошок железа, содержащий 0,1N(A) атомов металла. После окончания реакции к раствору добавили 117 г раствора сульфида натрия, в котором соотношение ионов натрия и атомов водорода 3 : 117 соответственно. Определите массовую долю сульфида натрия в конечном растворе, если известно, что в насыщенном растворе сульфата меди (II) соотношение ионов меди и атомов кислорода 25 : 1184 соответственно. (В условиях задачи при протекании реакции замещения соли в осадок не выпадали)
Тренировочная задача по химии репетитора Богуновой В.Г. перед ЕГЭ 2020
Тренировочная задача по химии репетитора Богуновой В.Г. перед ЕГЭ 2020

Ютуб-канал Ужасы атомистики, пластин и кристаллогидратов в 34-м задании

3-я тренировочная задача (перед ЕГЭ 2020)

В 300 мл раствора азотной кислоты (р=1,35 г/мл), в котором на 2 атома азота приходится 9 атомов кислорода, внесли навеску меди, содержащую 0,2N(A) атомов. После окончания реакции к раствору добавили 100 мл раствора карбоната калия (р=1,1 г/мл), в котором на 8 ионов калия приходится 287 атомов кислорода. Определите массовую долю кислоты в полученном растворе

Тренировочная задача по химии репетитора Богуновой В.Г. перед ЕГЭ 2020
Тренировочная задача по химии репетитора Богуновой В.Г. перед ЕГЭ 2020

Яндекс Дзен Этот ужас точно будет на ЕГЭ?! Срочно читайте и решайте!!!

Ютуб-канал Атомистика и реакции в растворах в 34-м задании

Решение и анализ этих задач просмотрели тысячи выпускников и учителей. Мне до сих пор приходят благодарственные письма за помощь в подготовке к ЕГЭ.

Хороших репетиторов много. Естественно, все они работают платно (а кто из вас согласится на бесплатный адский труд?!), но практически все пишут и выкладывают БЕСПЛАТНЫЙ учебный материал в сеть. Тот выпускник, кто не ленился и трудился в поте лица, читал статьи репетиторов, смотрел ролики, писал лично преподавателям, сдал ЕГЭ по химии 2020 нормально. Ленивый начинает искать виновных в собственном провале.

Повторюсь, ВИНОВАТО ЗЕРКАЛО!!!

Понравилась статья? Скоро будет продолжение. Самое интересное, как всегда, впереди! Успехов и удачи! До встречи на Яндекс Дзен! Не забывайте подписаться на мой канал, поставить лайк и посетить сайт "Репетитор по химии и биологии"!

ВНИМАНИЕ!!!

Репетитор Богунова В.Г. с 1 сентября 2020 г. начинает онлайн-курс подготовки к ЕГЭ 2021 по химии и биологии!
Расписание занятий:
1. Пятница, 17-00 – 20-00 Мск
Профильный курс биологии (Зоология, Ботаника), 1-е полугодие.
Погружение в ЕГЭ по биологии 2021 (имитация ЕГЭ с анализом и тренингом), 2-е полугодие.
2. Суббота 10-00 – 13-00 Мск
Профильный курс биологии (Общая биология) + Курс Алгоритмики задач по генетике и молекулярной биологии (уровень «Мастер»), 1-е полугодие.
Профильный курс биологии (Человек), 2-е полугодие.
3. Суббота, 14-00 – 17-00 Мск
Профильный курс химии (Химия элементов) + Курс Алгоритмики задач по химии (уровень «Мастер»), 1-е полугодие.
Погружение в ЕГЭ по химии 2021 (имитация ЕГЭ с анализом и тренингом), 2-е полугодие.
4. Воскресенье, 10-00 – 13-00 Мск
Профильный курс химии (Общая химия) + Курс Алгоритмики задач по химии (уровень «Стартап, продолжение»), 1-е полугодие.
Профильный курс химии (Органическая химия) + Курс Алгоритмики задач по химии (уровень «Стартап, продолжение»), 2-е полугодие.
Для каждого ученика составляется индивидуальное расписание занятий (с учетом его предварительной подготовки, уровня знаний и мастерства)
О занятиях с репетитором Богуновой В.Г. вы можете познакомиться в публикациях на Яндекс Дзен:
«Загадки программы профильного курса химии для подготовки к ЕГЭ»
«Пять секретов онлайн-занятий репетитора по химии. Профильный курс»
«Загадки программы профильного курса биологии для подготовки к ЕГЭ. 1. Общая биология»
Репетитор Богунова В.Г. с учениками
Репетитор Богунова В.Г. с учениками

Еще больше заданий и задач вы найдете на сайте репетитора Богуновой Валентины Георгиевны

Репетитор по химии и биологии кбн В.Богунова