Добавить в корзинуПозвонить
Найти в Дзене

Формула без времени

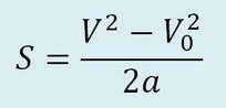
Есть ряд задач, в которых есть скорости в начале V, м/с и в конце Vo, м/с процесса, ускорения a, м/с ², пройденное расстояние S, м, а вот времени нет (секундомер забыли :) )! В этом случае потребуется так называемая "Формула без времени". Эту формулу проще выучить, чем каждый раз выводить из "базовых" формул и поэтому её мы можем найти в наших шпаргалках (статья канала "Шпаргалки по Физике"). Но физический смысл этой формулы не очень понятен, да и выглядит она как-то сложновато. Попробуем понять откуда она взялась, может быть и не такой страшной будет.
Начнём с простых формул: Выразим из 3-ой формулы время: Вспоминаем формулу пройденного расстояния и переписываем
формулу 2: В 5-ой формуле время заменяем правой частью формулы 4: Упрощаем формулу 6 И вновь мы пришли к нашей формуле, но теперь она выглядит более понятой и физически законной: Заключение Надеюсь, одной сложной формулой стало меньше и мы двигаемся дальше по пути изучения физики ( Статья канала " Работаем с Физикой на сайте

Есть ряд задач, в которых есть скорости в начале V, м/с и в конце Vo, м/с процесса, ускорения a, м/с ², пройденное расстояние S, м, а вот времени нет (секундомер забыли :) )! В этом случае потребуется так называемая "Формула без времени".

Формула 1. "Формула без времени".
Формула 1. "Формула без времени".

Эту формулу проще выучить, чем каждый раз выводить из "базовых" формул и поэтому её мы можем найти в наших шпаргалках (статья канала "Шпаргалки по Физике"). Но физический смысл этой формулы не очень понятен, да и выглядит она как-то сложновато. Попробуем понять откуда она взялась, может быть и не такой страшной будет.
Начнём с простых формул:

Формула 2. Изменение координаты тела при равноускоренном движении.
Формула 2. Изменение координаты тела при равноускоренном движении.
Формула 3. Изменение скорости тела при равноускоренном движении.
Формула 3. Изменение скорости тела при равноускоренном движении.

Выразим из 3-ой формулы время:

Формула 4. Время.
Формула 4. Время.

Вспоминаем формулу пройденного расстояния и переписываем
формулу 2:

Формула 5. Появилось пройденное расстояние.
Формула 5. Появилось пройденное расстояние.

В 5-ой формуле время заменяем правой частью формулы 4:

Формула 6. Убрали время.
Формула 6. Убрали время.

Упрощаем формулу 6

Формула 7. Выходим на 1-ю формулу.
Формула 7. Выходим на 1-ю формулу.

И вновь мы пришли к нашей формуле, но теперь она выглядит более понятой и физически законной:

Формула 1. И снова "Формула без времени"
Формула 1. И снова "Формула без времени"

Заключение

Надеюсь, одной сложной формулой стало меньше и мы двигаемся дальше по пути изучения физики ( Статья канала " Работаем с Физикой на сайте "Решу ЕГЭ").

Автор с благодарностью примет любые пожертвования на развитие канала "От сложного к простому" https://money.yandex.ru/to/4100170126360