Добавить в корзинуПозвонить
Найти в Дзене
Александр Шуравин.

Физика для чайников. Урок 8. Замедление времени или почему нельзя двигаться быстрее света

В статье Физика для чайников. Урок 6. Теория относительности я писал о том, что никакой объект не может двигаться быстрее света, причем, не важно относительно чего происходит движение. То есть, если два звездолета (или луча света, или элементарной частицы) летят на встречу друг другу, то их
Изображение взято из открытых источников
Изображение взято из открытых источников

Предыдущий урок: Физика для чайников. Урок 7. Законы Ньютона

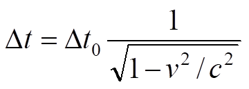
В статье Физика для чайников. Урок 6. Теория относительности я писал о том, что никакой объект не может двигаться быстрее света, причем, не важно относительно чего происходит движение. То есть, если два звездолета (или луча света, или элементарной частицы) летят на встречу друг другу, то их взаимная скорость будет … скорость света. Хотя по логике здравого смысла должна быть в два раза больше. Но экспериментальные данные как раз и доказывают, что скорость света инвариантна. Как это определили? В частности, эксперимент Майкельсона-Морли[1]. В этом эксперименте определяли скорость света в разных направлениях. И она оказалась одинаковой. Но Земля то движется! Поэтому, по логике здравого смысла, скорость должна быть разной. Но факты вещь упрямая. Пришлось искать объяснение данному феномену. Одно из объяснений – это замедление времени. Чем быстрее движется тело, тем медленнее на нём идет время. Это доказано экспериментами, см. Физика для чайников. Урок 6. Теория относительности. А теперь, сама формула:

-2

где c – это скорость света. Исходя из этой формулы, замедление времени будет существенным лишь при скоростях, близких к скорости света. Например, для самолета, который летит со скоростью 720 км/час (200 м/с) время замедлиться в 1.00000000000022 раз. Это означает, что за год «набежит» всего 7 микросекунд замедления времени. Для ракеты, летящей со скоростью 8 км/с замедление времени будет еще больше: 1.00000000035556, это значит, что в год набежит аж целых 11 миллисекунд. А теперь представим звездолет, который летит к Альфа Центавре со скорость 30000 км/с (одна десятая от скорости света). С такой скоростью он долетит до Альфа Центавры примерно за 42 года. А время на нем замедлиться примерно в 1.005. А вот если разогнать звездолёт до скорости 0.9 от скорости света, то замедление время будет уже 2.3 раза. То есть, если туда и обратно он слетает за 8.5 лет, то для космонавтов пройдет всего 3 года 8 месяцев.

Кстати, при больших скоростях замедляется не только время, но и увеличивается масса. С таким же коэффициентом, что и замедлятся время. Именно поэтому невозможно двигаться быстрее света, так как при достижение скорости время вообще остановиться, а масса будет бесконечной. Значит, нужно бесконечное количество энергии, чтобы достичь скорости света. Вы спросите: а сам то свет как скорости света тогда достигает? Очень просто. Частиц света – фотоны, не имеют массы покоя (их масса равна нулю). Подставляем эту нулевую массу в формулу и получим:

У нас получается неопределенность, по сути, масса фотона может быть любой. Так и есть. В зависимости от длины волны энергия (суть та же масса) различные. Например, у красного света энергия фотона меньше, чем у фиолетового. А вот у рентгеновских или гамма лучей энергия фотона очень большая, поэтому такое излучение вредно для человека.

Следующий урок. Физика для чайников. Урок 9. Закон сохранения количества движения (импульса)

Источники.

1. https://ru.wikipedia.org/wiki/Опыт_Майкельсона