Добавить в корзинуПозвонить
Найти в Дзене

Новые рекорды солнечных батарей.

Новый солнечный фотогальванический элемент из органических веществ способен конвертировать в электрическую энергию 17,3% попадающего на него солнечного света. Прежний рекорд солнечных батарей составлял 14% («Science», 2018; doi: 10.1126/science.aat2612). Возможно, потенциал органических солнечных батарей недооценен, и со временем они смогут не только составить конкуренцию обычным кремниевым батареям, но и превзойти их. Правда, последнее произойдет, только если решится вопрос долгосрочной устойчивости фотогальванических элементов из органических молекул. Органические солнечные батареи отличаются целым рядом преимуществ по сравнению с кремниевыми для преобразования солнечной энергии в электрическую. Органические компоненты солнечных батарей легкие и гибкие, их можно наносить на большие поверхности с помощью методов, аналогичным методам струйной печати. Тем не менее ученые долго считали, что органические солнечные батареи a priori менее эффективны, чем кремниевые. Даже обсуждался вопрос,

Новый солнечный фотогальванический элемент из органических веществ способен конвертировать в электрическую энергию 17,3% попадающего на него солнечного света. Прежний рекорд солнечных батарей составлял 14% («Science», 2018; doi: 10.1126/science.aat2612). Возможно, потенциал органических солнечных батарей недооценен, и со временем они смогут не только составить конкуренцию обычным кремниевым батареям, но и превзойти их. Правда, последнее произойдет, только если решится вопрос долгосрочной устойчивости фотогальванических элементов из органических молекул.

Органические солнечные батареи отличаются целым рядом преимуществ по сравнению с кремниевыми для преобразования солнечной энергии в электрическую. Органические компоненты солнечных батарей легкие и гибкие, их можно наносить на большие поверхности с помощью методов, аналогичным методам струйной печати. Тем не менее ученые долго считали, что органические солнечные батареи a priori менее эффективны, чем кремниевые. Даже обсуждался вопрос, смогут ли они достичь эффективности в 15%.

Обычно перспективные органические вещества для солнечных батарей выбирают с помощью компьютерного моделирования. Оно опирается на фундаментальные физические принципы, не учитывая свойства материалов, зарекомендовавших себя ранее, либо наоборот — экстраполирует производительность органического вещества по собранным ранее экспериментальным данным, не принимая в расчет теорию. Руководитель исследования, получивший солнечную батарею-рекордсмен, — Юншен Чэнь из Нанькайского университета, говорит, что подход к моделированию, который использовали сотрудники его группы, можно назвать полуэмпирическим — они сочетали теорию и ранее полученные экспериментальные данные.

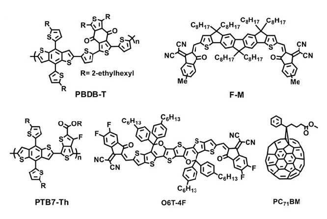
С помощью предложенной модели исследователи спроектировали фотогальванический элемент из двух слоев — такая архитектура органических солнечных батарей применяется достаточно часто для повышения их производительности. Один слой преобразует в электрическую энергию электромагнитные колебания в одной области спектра, другой слой захватывает другую область. Исследователи скомбинировали слой органического вещества, который поглощает фотоны в области видимого света, ранее разработанного в группе Чэня, с новым материалом O6T-4F (см. рисунок), преобразующим в электричество колебания в инфракрасном диапазоне спектра. Двухслойная органическая солнечная батарея конвертировала свет в электроэнергию с эффективностью 17,3%. Это уже приближается к эффективности коммерчески доступных солнечных батарей, которая лежит в пределах 18—22%.