Найти в Дзене
Дотошный Инженер

Как работает катушка индуктивности. На примере импульсной схемы с осциллограммой

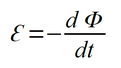
«Катушка индуктивности – это устройство, которое может воздействовать на трансцендентальную пространственно-временную субстанцию, называемую магическое магнитное поле, аккумулируя энергию в ней, а состоит всего лишь из нескольких витков блестящей проволоки.» Работа катушки индуктивности основана на явлении самоиндукции, описываемое формулой: где: Ɛ – напряжение э.д.с индукции *,
Ф — полный магнитный поток,
t – время Что такое «напряжение э.д.с.» можете прочитать в моей предыдущей статье. Формула 1 означает, что напряжение э.д.с индукции равно скорости изменения магнитного потока ко времени взятому с обратным знаком. Знак «минус» перед формулой означает, что индукционный ток (и следовательно, э.д.с.) имеет такое направление, что создаваемое им магнитное поле направлено так, чтобы препятствовать изменению магнитного потока (правило Ленца). О физике явления электромагнитной индукции, откуда берётся это соотношение, порассуждаем в следующих статьях. Полный магнитный поток обычно пропор

«Катушка индуктивности – это устройство, которое может воздействовать на трансцендентальную пространственно-временную субстанцию, называемую магическое магнитное поле, аккумулируя энергию в ней, а состоит всего лишь из нескольких витков блестящей проволоки.»

Типичная катушка индуктивности с сердечником
Типичная катушка индуктивности с сердечником

Работа катушки индуктивности основана на явлении самоиндукции, описываемое формулой:

(1)
(1)

где: Ɛ – напряжение э.д.с индукции *,
Ф — полный магнитный поток,
t – время

Что такое «напряжение э.д.с.» можете прочитать в моей предыдущей статье.

Формула 1 означает, что напряжение э.д.с индукции равно скорости изменения магнитного потока ко времени взятому с обратным знаком. Знак «минус» перед формулой означает, что индукционный ток (и следовательно, э.д.с.) имеет такое направление, что создаваемое им магнитное поле направлено так, чтобы препятствовать изменению магнитного потока (правило Ленца).

О физике явления электромагнитной индукции, откуда берётся это соотношение, порассуждаем в следующих статьях.

Полный магнитный поток обычно пропорционален силе тока, текущего по катушке индуктивности:

(2)
(2)

L – коэффициент пропорциональности, называемый для краткости «индуктивность»
I – ток, текущий через катушку.

В более общем случае L может зависеть от I. В этой статье будем считать, L – постоянная величина, которая зависит только от формы и геометрии катушки.

Таким образом можем выразить напряжение э.д.с. индукции:

(3)
(3)

Давайте теперь посмотрим, как ведёт себя катушка индуктивности при замыкании и размыкании электрической цепи (импульсный режим). Для простоты будем считать, что катушка индуктивности идеальная, её сопротивление постоянному току пренебрежимо мало (R=0). Подключим её к источнику постоянного тока на короткое время.

Схема 1
Схема 1

L – исследуемая индуктивность
Bat1 – Источник постоянного тока с напряжением Ubat1
S1 – переключатель
VD1 – стабилитрон
I – ток (синяя стрелка)
E – напряжённость электрического поля (красная стрелка)
E-ind – напряжённость поля сил индукции в катушке (зелёная стрелка)

При подключении катушки индуктивности L к источнику тока Bat1 на ней устанавливается напряжение источника, что приводит к появлению электрического поля внутри проводника катушки с напряжённостью E и возникновению тока I. Но изменение тока влечёт изменение магнитного поля, а изменение поля вызывает согласно (1) э.д.с. индукции с напряжённостью E-ind. Когда E-ind и E уравновесятся, т. е. E-ind=E по модулю, а это может быть при равенстве напряжения питания и напряжения э.д.с. индукции Ubat1=Ɛ (измеряемое напряжение), то ток в схеме будет линейно нарастать со скоростью Ubat1/L, что соответствует левой половине осциллограммы 1 (до середины).

* Эти рассуждения верны при нашем допущении, что активное сопротивление катушки R=0. Полностью измеряемое напряжение равно U=I*R+Ɛ.

Осциллограмма 1
Осциллограмма 1

красный график – напряжение
синий – ток

В данном примере: Напряжение Ubat1=12 вольт, t1=42 мкс, L=180 мкГн, t2=58 мкс, Ust=8.6 В.

Во второй части осциллограммы переключатель S1 переключается на стабилитрон VD1 с напряжением стабилизации ~8.6 вольт. (Стабилитрон – это такой полупроводниковый прибор, который начинает пропускать ток с определённого порогового напряжения на нём.) Как изображено на схеме 2:

Схема 2
Схема 2

Ust – напряжение стабилизации стабилитрона

При таком включении ток как бы «по инерции» продолжает течь через индуктивность, в результате индуктивность сама становится источником тока за счёт запасённой в магнитном поле энергии. Напряжение на катушке меняет знак и достигнув порогового напряжения стабилитрона, индуктивность «разряжается» через стабилитрон при Ɛ=Ust. Вместе с напряжением меняют знак и E-ind и E. Так как Ɛ сменила знак, то и ток теперь уменьшается со скоростью Ust/L, пока не станет равным нулю. Ток через индуктивность имеет то же направление, что на схеме 1.

При изменении порогового напряжения стабилитрона меняется и скорость уменьшения тока:

Осциллограмма 2. Работа схемы 1 и 2 при Ust=25.5 вольт.
Осциллограмма 2. Работа схемы 1 и 2 при Ust=25.5 вольт.
когда энергии становится мало, в схеме происходят затухающие колебания на колебательном контуре из индуктивности и емкости обратного перехода стабилитрона.

Выводы:

  1. На примере работы индуктивности в импульсных схемах подтверждено наличие э.д.с. индукции и её зависимость от изменения тока (3). Так явление самоиндукции используется в импульсных преобразователях напряжения – понижающих и повышающих.
  2. Во всех случаях э.д.с. индукции противоположна электрическому полю. Можно сравнить её с силами сопротивления, но в отличие сил сопротивления энергия переходит не в тепло, а в энергию магнитного поля. Можно сравнить силы индукции в катушке с сопротивлением тяжёлого маховика к которому необходимо приложить силу, чтобы его разогнать, и силу, чтобы его остановить.
  3. Ток в катушке индуктивности стремится сохранится, потому как стремится сохранится магнитное поле, с ним связанное.
  4. Напряжение э.д.с. индукции так или иначе равно напряжению на катушке индуктивности. (Пока не начнёт играть роль активное сопротивление катушки, которое пока приняли нуль R=0.)

Схема измерения:

-9

* Пороговое напряжение стабилизации VD1 выбирается Ubat+Ust.
* Полярность сигналов в осциллограммах инвертирована.

В следующей статье рассмотрим работу трансформатора, и полагаю, что данные рассуждения будут более понятны.
Статью можно читать и скачать (pdf) на моём сайте.