Добавить в корзинуПозвонить
Найти в Дзене
PROVIZOR'OK

Дженерики против дорогих лекарств: плюсы и минусы.

Уже давно известно, что болеть – крайне накладно для семейного бюджета, ведь большинство прописываемых врачами лекарств стоят очень дорого. Но практически у каждого такого препарата есть дешевый аналог, причем стоимость последнего может быть в 10 раз меньше!
Откуда берутся заменители. Такие лекарства называются «дженерики»: они являются аналогами дорогих препаратов, но имеют некоторые отличия в составе, форме выпуска и дозировке. Крупные компании тратят огромные усилия на разработку, исследования, тестирование новых продуктов, после чего сразу же приобретают патент на «изобретение», чтобы иметь единоличное право выпуска. Цена устанавливается достаточно большая, чтобы покрыть все затраты времени, людских и материальных ресурсов. Но срок патента не вечен, и когда он заканчивается, аналогичные лекарства может выпускать уже любая фармацевтическая фирма. Стоимость дженериков гораздо ниже, ведь компании не тратили собственные ресурсы на разработку, а просто взяли то, что уже было придум
Оглавление

Уже давно известно, что болеть – крайне накладно для семейного бюджета, ведь большинство прописываемых врачами лекарств стоят очень дорого. Но практически у каждого такого препарата есть дешевый аналог, причем стоимость последнего может быть в 10 раз меньше!

Откуда берутся заменители.

Такие лекарства называются «дженерики»: они являются аналогами дорогих препаратов, но имеют некоторые отличия в составе, форме выпуска и дозировке. Крупные компании тратят огромные усилия на разработку, исследования, тестирование новых продуктов, после чего сразу же приобретают патент на «изобретение», чтобы иметь единоличное право выпуска.

Цена устанавливается достаточно большая, чтобы покрыть все затраты времени, людских и материальных ресурсов. Но срок патента не вечен, и когда он заканчивается, аналогичные лекарства может выпускать уже любая фармацевтическая фирма. Стоимость дженериков гораздо ниже, ведь компании не тратили собственные ресурсы на разработку, а просто взяли то, что уже было придумано до них.

Преимущества и недостатки дженериков.

К плюсам аналогов дорогих лекарств можно отнести их невысокую стоимость, которая доступна почти всем. Кроме того, их практически не подделывают из-за низкой цены: это просто невыгодно. Дженерики имеют тот же эффект, что и оригинальные препараты, так как в них содержатся те же активные вещества.

Минусы тоже имеются, например, для производства дженериков часто используется старое оборудование и откровенно дешевые дополнительные компоненты. Технология может быть существенно нарушена, что снижает качество продукции.

Три отличия оригинальных препаратов от дженериков.

Первое отличие – это степень очистки и побочные действия. Лекарства со временем совершенствуются: улучшается рецептура, уменьшаются риски возникновения реакции. Так появляются препараты второго и последующих поколений, которые отличаются от оригинальных. Эффект от их использования такой же, но неприятных последствий гораздо меньше – они становятся безопаснее. Например, более дорогие средства от аллергии не вызывают сонливости и понижения работоспособности, как дешевые.

Второе отличие – состав. Лечебные компоненты, как правило, содержатся в той же дозировке, но в более дорогих препаратах есть витамины и дополнительные вещества, которые снимают неприятные симптомы и улучшают общее состояние.

Третье отличие – удобство в применении. Дорогие лекарства имеют несколько форм выпуска, так что покупатель может выбрать именно то, что нравится конкретно ему: таблетки, сиропы, кремы. Иногда дженерик требуется применять в несколько раз чаще, чем оригинальный препарат, что не всегда удобно. Но для многих людей такие проблемы не являются причиной для того, чтобы переплачивать за аналогичное средство в 10 раз.
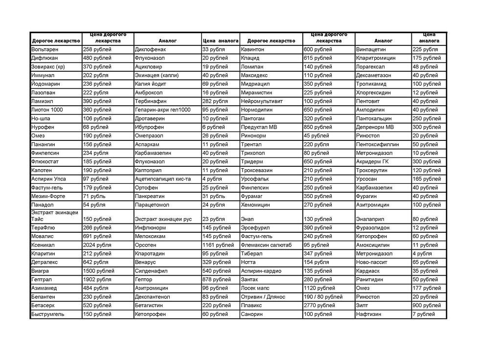
Ниже приведена таблица оригинальных препаратов и их дженериков.

-2