Найти в Дзене

Эллипсометрия в микроэлектронике

Сегодня наблюдаются активные тенденции в исследовании оптических и электрофизических свойств новых материалов, которые могут стать заменой традиционным материалам в производстве интегральных микросхем, оптоэлектронных устройств, органической электроники, плоских дисплеев, солнечных элементов, 3D-наноматериалов. Все эти исследования и разработки тесно связаны с эллипсометрией. В 2008 году венгерская компания Semilab, один из лидеров в области метрологических решений для полупроводниковой промышленности, фотовольтаики и научно-исследовательского сектора, приобрела французскую компанию Sopra — разработчика первых в мире спектральных эллипсометров (1985 г.) и обладателя эксклюзивных прав (патент IMEC 2004 г.) на метод порометрии (измерение пористости тонких пленок). В статье мы рассмотрим теоретические основы метода, принцип работы и особенности моделей эллипсометров Semilab. Эллипсометрия Что же такое эллипсометрия? Это понятие подразумевает быстрый, высокочувствительный и точный оптичес
Оглавление

Сегодня наблюдаются активные тенденции в исследовании оптических и электрофизических свойств новых материалов, которые могут стать заменой традиционным материалам в производстве интегральных микросхем, оптоэлектронных устройств, органической электроники, плоских дисплеев, солнечных элементов, 3D-наноматериалов. Все эти исследования и разработки тесно связаны с эллипсометрией. В 2008 году венгерская компания Semilab, один из лидеров в области метрологических решений для полупроводниковой промышленности, фотовольтаики и научно-исследовательского сектора, приобрела французскую компанию Sopra — разработчика первых в мире спектральных эллипсометров (1985 г.) и обладателя эксклюзивных прав (патент IMEC 2004 г.) на метод порометрии (измерение пористости тонких пленок). В статье мы рассмотрим теоретические основы метода, принцип работы и особенности моделей эллипсометров Semilab.

Эллипсометрия

Что же такое эллипсометрия? Это понятие подразумевает быстрый, высокочувствительный и точный оптический метод определения толщин оптически (в диапазоне DUV-MidIR) прозрачных пленок и их оптических постоянных. Метод основан на измерении изменения поляризации света при его взаимодействии с отражающей поверхностью, слоистыми структурами или при прохождении через различные среды.

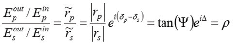
Изменение фазы поляризованного света проявляется в результате прохождения света через слой (гетеро, эпитаксиальный и т. д.) и дальнейшего отражения от лицевой поверхности, что позволяет извлекать оптические свойства материалов в этой структуре (рис. 1). Эллипсометрия измеряет отношение комплексных коэффициентов отражения Френеля. Поскольку это комплексное число, его можно разделить на амплитудную составляющую и фазовый сдвиг, которые соответствуют так называемым эллипсометрическим углам, ψ (psi) и Δ (delta). Оба параметра содержат физические свойства структуры, такие как толщина слоя и коэффициент преломления (n). Поскольку решается комплексное и нелинейное уравнение (рис. 2), вычисления производятся с помощью численных методов, основанных на определенной физической модели структуры (indirect technique).

В модели структура слоя рассматривается с заданными коэффициентами преломления и поглощения (k). Подложка часто аппроксимируется как полубесконечный толстый материал с известными оптическими свойствами. Спектральная дисперсия и поглощение (k) каждого из слоев, как правило, описываются параметрическими функциями. Могут быть использованы как простые эмпирические формулы, так и более сложные формулы (в зависимости от материала).

Далее вычисляется теоретический сдвиг фазы, который сравнивается с измеряемыми величинами по методу численной регрессии. В результате численной регрессии показатель преломления может быть вычислен как функция длины волны. Поскольку оптические параметры отражают внутренние свойства материала, эллипсометрия может применяться для исследования кислородных вакансий, плотности носителей заряда, а также поляронных и фотонных свойств материалов.

Рис. 1. Схема изменения поляризации падающего света при взаимодействии с отражающей поверхностью
Рис. 1. Схема изменения поляризации падающего света при взаимодействии с отражающей поверхностью
Рис. 2. Основное уравнение эллипсометрии
Рис. 2. Основное уравнение эллипсометрии

Конструкция и виды эллипсометров

Стандартная конструкция эллипсометра состоит из руки-поляризатора с источником света (формирует пучок падающего поляризованного света), гониометра для задания угла падения света, координатного стола X, Y, Z для размещения образца и руки-анализатора отраженного света (рис. 3). Неотъемлемой частью является вычислительный модуль на базе ПК или ноутбука со специализированным программным обеспечением для проведения измерений, сбора и анализа полученных данных.


Рис. 3. Схема конструкции эллипсометра Semilab
Рис. 3. Схема конструкции эллипсометра Semilab

Пределы чувствительности измерения оптически прозрачной пленки на непрозрачной подложке варьируются в диапазоне от единиц нанометров до нескольких десятков микрон. В случае слоев, нанесенных на стеклянную подложку, контраст показателя преломления между тонкопленочным покрытием и подложкой значительно уменьшается по отношению к структуре образца на непрозрачной подложке. Поэтому измерение структур на стекле, сапфире, требует высокой чувствительности эллипсометра, чтобы иметь возможность оптически различать два схожих слоя диэлектрика. Наличие ксеноновой (Xe) лампы c высокой интенсивностью в качестве источника света и вращающегося компенсатора (RCA) в конструкции руки-поляризатора, обеспечивающего постоянство поляризации падающего света, позволяет эллипсометрам Semilab максимально точно контролировать пленки толщиной от единиц и десятков нанометров на прозрачных подложках. Особенно это актуально, когда требуется контролировать буферные или адгезионные слои толщиной в несколько единиц или десятков нанометров.

Измерение эллипсометром верхнего предела толщины пленки зависит от прикладываемого диапазона длин волн и разрешения длины волны. Данные параметры определяются спецификацией эллипсометра, на котором выполняются измерения. Линейка эллипсометров компании Semilab состоит из спектральных, лазерных и порометрических эллипсометров. Существуют как настольные модели, так и полностью автоматические системы с загрузкой из открытой или SMIF-кассеты. Рассмотрим каждый тип эллипсометров подробнее.


Рис. 4. Основные модели спектральных эллипсометров Semilab (слева направо): SE-1000, SE-2000, uSE-2500
Рис. 4. Основные модели спектральных эллипсометров Semilab (слева направо): SE-1000, SE-2000, uSE-2500

Спектральные эллипсометры


Рис. 5. Уникальный ИК-эллипсометр Semilab c диапазоном длин волн 190 нм — 25 мкм
Рис. 5. Уникальный ИК-эллипсометр Semilab c диапазоном длин волн 190 нм — 25 мкм

Спектральные эллипсометры (рис. 4) предназначены для работы с одиночными и многослойными структурами толщиной 1 нм — 100 мкм на кремнии, стекле, пленочном носителе, в спектральном диапазоне длин волн 190 нм (DUV) — 25 мкм (Mid-IR). Работа в столь широком диапазоне длин волн возможна благодаря уникальному в своем классе ИК-эллипсометру (IRSE), изготовленному на одном гониометре (рис. 5). Данный режим работы может быть исполнен в виде отдельной измерительной установки или дополнительной опции к стандартной модели эллипсометра. ИК-эллипсометр позволяет решить следующие основные задачи:

  • определение оптических или диэлектрических констант тонких пленок и подложек;
  • информирование о физических данных о материале (толщина, пористость);
  • исследование свойств эпитаксиальных слоев SiC, Si;
  • информирование о содержании водорода в a-Si- или SiNx-слоях;
  • исследование электрических свойств металлических диффузионных барьеров (TaN, CoSi2);
  • исследование электрических свойств ITO пленок;
  • определение концентрации легирующей примеси через закон Друде.

Рис. 6. Жидкостная кювета объемом 25 мл
Рис. 6. Жидкостная кювета объемом 25 мл

Наибольший интерес у заказчиков вызывают эллипсометры SE-1000 и SE-2000, так как они могут применяться и в рамках научных исследований, и в серийном производстве. Установки способны работать с подложками диаметром до 200 мм (опция 300 мм), а также с кусочками полупроводниковых пластин. Наличие центрирующих пинов позволяет точно располагать пластины на подложкодержателе. Конкурентными преимуществами данных эллипсометров являются размер пятна измерения, скорость и точность измерений по всему спектральному диапазону, воспроизводимость результатов, а также опция «микропятна», когда требуется пучок света в несколько десятков микрон. Данная опция позволяет уменьшить размер пятна падающего света до 60×120 мкм в диапазоне длин волн 245–990 нм. Включение/выключение опции «микропятна» производится через ПО. Обе модели оснащены встроенной функцией автоматической калибровки. Основные технические характеристики моделей приведены в таблице. В зависимости от задаx доступна оснастка для работы с различными типами подложкодержателя и для следующих процедур: измерение пористых материалов, фотометрия, рефлектометрия, исследования в ИКдиапазоне, высокотемпературные (до 1000 °С) и низкотемпературные (до –196 °С) исследования, испытания в жидкости, матрица Мюллера (11, 16 элементов), вертикальная камера. На рис. 6 и 7 приведены примеры дополнительной оснастки для жидкостных и высокотемпературных исследований.


Рис. 7. Оснастка Linkam для проведения высокотемпературных исследований
Рис. 7. Оснастка Linkam для проведения высокотемпературных исследований

Порозиметры

Порозиметры (рис. 8) применяются для работы с пористыми материалами (пористые Low-k-диэлектрики, пористый Si, нанокомпозитные материалы) и позволяют получать точные измерения толщины, показателя преломления и пористости, модуля упругости пористого материала (модуль Юнга), проводить распределение пор по размерам (0,5–60 нм) тонких пористых пленок во время цикла адсорбции (поглощения) органического растворителя.


Рис. 8. Основные модели порозиметров Semilab (слева направо): PS-1000, PS-1100, PS-2000
Рис. 8. Основные модели порозиметров Semilab (слева направо): PS-1000, PS-1100, PS-2000

Это эксклюзивный метод измерения пористости одиночных и многослойных тонкопленочных структур с отличной воспроизводимостью и скоростью измерений, права на который принадлежат исключительно компании Semilab.

Лазерные эллипсометры

Лазерные эллипсометры (рис. 9) используются для работы с антиотражающими (antireflective) покрытиями, нанесенными на монокристаллический или поликристаллический кремний. В основном применяются в фотовольтаике при производстве солнечных элементов. Позволяют определить показатель преломления (n), поглощения (k) и толщину пленки на длине волны гелий-неонового (HeNe) лазера 632,8 нм. Подложкодержатель адаптирован для подложек 156×156 мм. Угол падения и отражения луча света регулируется ручным гониометр в диапазоне 55–90° с шагом 5°. Возможна интеграция в производственную линию (in-line).


Рис. 9. Лазерный эллипсометр LE-103PV
Рис. 9. Лазерный эллипсометр LE-103PV

Подводя итог нашему обзору, можно отметить, что на сегодня эллипсометры Semilab соответствуют требованиям контроля самых передовых технологий формирования тонких пленок и являются точным, надежным и универсальным инструментом для решения широкого спектра задач в различных областях промышленности и НИОКР.