Найти в Дзене
sДаёшь ОГЭ/ЕГЭ

ЕГЭ по математике. Профильный уровень. Задание 1.

Задание №1 в ЕГЭ по математике профильного уровня – одно из самых легких. И тем не менее даже отличники часто ошибаются, решая такие задачи. А все потому, что прочитали невнимательно условие или допустили арифметическую ошибку. Внимательно читайте условие и проверяйте решение. Не спешите. В первом задании профильного уровня ЕГЭ по математике необходимо решить простую текстовую задачу. В этом задании проверяется умение применять навыки, полученные в курсе 5 — 9 классов по элементарной математике, в практической деятельности. Учащийся должен владеть вычислительными навыками, уметь работать с рациональными числами, уметь округлять десятичные дроби, уметь переводить одни единицы измерения в другие. Рассмотрим примеры: Задачи на вычисления, простейшие уравнения и пропорции Поезд отправился из Санкт-Петербурга в 23 часа 50 минут (время московское) и прибыл в Москву в 7 часов 50 минут следующих суток. Сколько часов поезд находился в пути? Решение. Сравниваем время отправления и прибыти

Задание №1 в ЕГЭ по математике профильного уровня – одно из самых легких. И тем не менее даже отличники часто ошибаются, решая такие задачи. А все потому, что прочитали невнимательно условие или допустили арифметическую ошибку. Внимательно читайте условие и проверяйте решение. Не спешите.

В первом задании профильного уровня ЕГЭ по математике необходимо решить простую текстовую задачу. В этом задании проверяется умение применять навыки, полученные в курсе 5 — 9 классов по элементарной математике, в практической деятельности.

Учащийся должен владеть вычислительными навыками, уметь работать с рациональными числами, уметь округлять десятичные дроби, уметь переводить одни единицы измерения в другие.

Рассмотрим примеры:

Задачи на вычисления, простейшие уравнения и пропорции

Поезд отправился из Санкт-Петербурга в 23 часа 50 минут (время московское) и прибыл в Москву в 7 часов 50 минут следующих суток. Сколько часов поезд находился в пути?

Решение. Сравниваем время отправления и прибытия: поезд вышел в 23 часа 50 минут. До конца суток оставалось 10 минут.

Находим, сколько времени поезд шел до окончания времени первых суток: следующие сутки поезд был в пути 7 часов 50 минут.

Определяем время движения: 7 часов 50 минут+10 минут=8 часов.

Ответ: 8 часов.

Задачи на округление (с недостатком, с избытком)

Павел Иванович купил американский автомобиль, на спидометре которого скорость измеряется в милях в час. Американская миля равна 1609 м. Какова скорость автомобиля в километрах в час, если спидометр показывает 50 миль в час? Ответ округлите до целого числа.

Решение. По условию, 1 миля = 1609 м, тогда 50 миль/ч составляют

50*1609 м/ч = 80450 м/ч = 80,45 км/ч.

Округляя найденную величину, получаем 80.

Ответ: 80.

Задачи на проценты

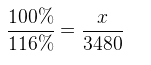
Цена на электрический чайник была повышена на 16% и составила 3480 рублей. Сколько рублей стоил чайник до повышения цены?

Решение.

Запомним важное правило: за 100% принимается та величина, с которой мы сравниваем. Цена была повышена на 16% по сравнению с чем? — с прежней ценой. Значит, прежняя цена — это 100%, новая цена — 116%.

Составляем пропорцию:

-2

Решаем пропорцию. Получаем, что

-3

Ответ: 3000 рублей.

В городе  N живет 200000 жителей. Среди них 15% детей и подростков. Среди взрослых 45% не работает (пенсионеры, студенты, домохозяйки и т.п.). Сколько взрослых жителей работает?

Решение.

Помним правило: за сто процентов принимается в каждом случае то, с чем мы сравниваем.

Получим, что дети и подростки составляют часть от всех жителей. Значит, их число — это 15% от 200000, то есть 0,15 надо умножить на 200000. Получим, что городе 30000 детей и подростков.

Следовательно, взрослых 170000.
Среди взрослых 45% не работает. Теперь за 100% принимаем число взрослых. Получается, что число работающих взрослых жителей равно 55% от 170000, то есть 93500.

Ответ: 93500.

Читайте также: Задание 2, Задание 3, Задание 4, Задание 5, Задание 6, Задание 7, Задание 8, Задание 9.

Кроме этого, можете воспользоваться услугами репетитора.