Найти в Дзене

Хочешь СУПЕР гимнастику для мозга? Решай 34-ю задачу на щелочной гидролиз трихлорида азота!

Вы хотите познавать химию и профессионально, и с удовольствием? Тогда вам сюда! Автор методики системно-аналитического изучения химии Богунова В.Г. раскрывает тайны решения задач, делится секретами мастерства при подготовке к ЕГЭ, ДВИ, олимпиадам Судьба подарила нам еще пару месяцев подготовки к ЕГЭ. Хорошо это или плохо? Думаю, это просто здорово! Потому как есть возможность кому-то "подучить недоученное", другим - побольше порешать задач, учителям и ботаникам - покопаться в обобщении учебного материала. Даю совет матерого репетитора, опробовавшего все возможные формы экзаменов, все методики и технологии обучения, все виды подготовки (и самоподготовки). Читайте внимательно! Чтобы не произошло выгорание, во-первых, ни в коем случае нельзя останавливаться в процессе подготовки (вплоть до ЕГЭ)! Во-вторых, нужно использовать тактику марафона, но не спринта. Это значит, нужно работать спокойно, размеренно, без волнений и напряжений, без нервов и надрыва, разбираясь с новыми "подводными

Вы хотите познавать химию и профессионально, и с удовольствием? Тогда вам сюда! Автор методики системно-аналитического изучения химии Богунова В.Г. раскрывает тайны решения задач, делится секретами мастерства при подготовке к ЕГЭ, ДВИ, олимпиадам

Судьба подарила нам еще пару месяцев подготовки к ЕГЭ. Хорошо это или плохо? Думаю, это просто здорово! Потому как есть возможность кому-то "подучить недоученное", другим - побольше порешать задач, учителям и ботаникам - покопаться в обобщении учебного материала.

Даю совет матерого репетитора, опробовавшего все возможные формы экзаменов, все методики и технологии обучения, все виды подготовки (и самоподготовки). Читайте внимательно!

Чтобы не произошло выгорание, во-первых, ни в коем случае нельзя останавливаться в процессе подготовки (вплоть до ЕГЭ)! Во-вторых, нужно использовать тактику марафона, но не спринта. Это значит, нужно работать спокойно, размеренно, без волнений и напряжений, без нервов и надрыва, разбираясь с новыми "подводными камнями" и закрепляя уже изученные темы.

Сегодня хочу предложить вам действительно серьезный вариант 34-го задания ЕГЭ, включающий реакцию щелочного гидролиза трихлорида азота. Подобные реакции предлагались на курсах подготовки экспертов ЕГЭ. Не хочу говорить плохое (и без того на душе - сплошной карантин), но... "редкая птица долетала до середины Днепра..."

Не нужно о грустном. Лучше читайте задачу и наслаждайтесь ее решением!

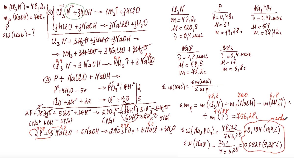
Задача 34

Трихлорид азота массой 48,2 г полностью растворили в 700 г раствора гидроксида натрия, взятого в избытке. К полученному после реакции раствору добавили навеску фосфора. Вещества прореагировали полностью. Выделение газа не наблюдалось. Определите массовые доли солей в полученном растворе.

Решение задачи проводилось онлайн с использованием графического планшета.

В представленной задаче несколько подводных камней:

1) щелочной гидролиз бинарных соединений с не совсем привычным (для учащихся средней школы, естественно) веществом
2) окислительно-восстановительная реакция, реагенты которой вытекают из анализа первого процесса
3) определение продуктов реакции по указанному критерию: "выделение газа не наблюдалось"
4) понимание наличия стехиометрических количеств веществ по фразе: "вещества прореагировали полностью"

Благодаря современным технологиям онлайн-обучения, вы можете не только увидеть решение задачи, но и услышать объяснение репетитора. Предлагаю небольшой отрывок онлайн-занятия с анализом представленной задачи.

Понравилась статья? Скоро будет продолжение. Самое интересное, как всегда, впереди! Успехов и удачи! До встречи на Яндекс Дзен! Не забывайте подписаться на мой канал и поставить лайк!

Еще больше заданий и задач вы найдете на сайте репетитора Богуновой Валентины Георгиевны

Репетитор по химии и биологии кбн В.Богунова