Добавить в корзинуПозвонить
Найти в Дзене

Готовимся к ЕГЭ по математике. Как найти значения экстремумов функции на отрезке

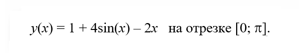
Рассмотрим задачу нахождения экстремумов функции на отрезке и ее отличия от задачи нахождения экстремумов функции на всей числовой оси или в области определения функции. В качестве примера возьмем задачу, которая в 90-х годах давалась на вступительных экзаменах на факультет почвоведения МГУ. Понятно, что это был не самый продвинутый в смысле математических требований к абитуриентам факультет. Таким образом, можно оценить, насколько упали требования к уровню подготовки поступающих в настоящее время. Причины этого явления частично рассмотрены в моем посте. Итак, нужно найти минимальное значение функции Сначала пойдем стандартным путем и найдем производную этой функции: y'(x) = 4cos(x) – 2 . Найдем значения переменной, при которых производная равна нулю. Получаем уравнение: 4cos(x) – 2 = 0, cos(x) = ½ . Решением уравнения является Но нас интересует не вся серия, а только те значения, которые находятся внутри заданного отрезка. Рассматривая значения n = 0 и 1, приходим к выводу, чт

Рассмотрим задачу нахождения экстремумов функции на отрезке и ее отличия от задачи нахождения экстремумов функции на всей числовой оси или в области определения функции.

В качестве примера возьмем задачу, которая в 90-х годах давалась на вступительных экзаменах на факультет почвоведения МГУ. Понятно, что это был не самый продвинутый в смысле математических требований к абитуриентам факультет. Таким образом, можно оценить, насколько упали требования к уровню подготовки поступающих в настоящее время. Причины этого явления частично рассмотрены в моем посте.

Итак, нужно найти минимальное значение функции

Сначала пойдем стандартным путем и найдем производную этой функции:

y'(x) = 4cos(x) – 2 .

Найдем значения переменной, при которых производная равна нулю. Получаем уравнение:

4cos(x) – 2 = 0,

cos(x) = ½ .

Решением уравнения является

-2

Но нас интересует не вся серия, а только те значения, которые находятся внутри заданного отрезка. Рассматривая значения n = 0 и 1, приходим к выводу, что внутри отрезка лежит только значение

-3

Поскольку на рассматриваемом интервале функция cos(x) убывает, производная исходной функции в точке x0 меняет знак с «+» на «-». Следовательно, в точке x0 функция y(x) имеет максимум. А нас интересует минимум!

Но полученный результат не означает, что минимум функции на рассматриваемом ОТРЕЗКЕ отсутствует! Согласно одной из теорем Вейерштрасса, любая непрерывная на отрезке функция достигает на этом отрезке максимума и минимума.

Внимание! В точках экстремума функция может не иметь производной. А точки экстремума могут находиться как внутри отрезка, так и на его концах. Пример функции, где реализованы оба случая можно посмотреть в Дзене или на моем канале в You Tube.

Вернемся к рассмотрению нашего примера. Понятно, что поскольку у функции внутри отрезка есть максимум, причем единственный, она сначала будет возрастать по мере приближения к точке максимума слева и затем убывать при дальнейшем удалении от этой точки. Схематично можно это изобразить следующим образом:

-4

Из анализа поведения функции понятно, что минимум будет обязательно в одной из точек на концах отрезка. Вычисляя значения функции в этих точках, получаем:

-5

Таким образом, приходим к следующему выводу:

-6

Давайте проверим, что график, который мы схематично нарисовали, правильно отобразил поведение функции. Понятно что на экзамене такой возможности не будет, но ради интереса посмотрим (мы ведь пока не на экзамене). Воспользуемся бесплатной программой, которая называется Mathcad Express. Построенный график имеет следующий вид:

-7

Мы видим, что действительно функция ведет себя так, как мы и предполагали.

Подробный разбор этой задачи можно посмотреть на You Tube.

Пишите в комментариях, какие темы будут вам интересны!