Добавить в корзинуПозвонить
Найти в Дзене
Партия «Яблоко»

От чего зависит уровень заболеваемости и смертности от COVID-19 в разных странах? Отвечает врач-инфекционист

С момента предыдущей публикации: «COVID-19 – чёрный лебедь российского здравоохранения» прошло больше месяца количество инфицированных в мире COVID-19 превысило 4,7 млн, из которых 1,8 млн уже выздоровели, а почти 314 тысяч, к сожалению, умерли.  Как известно, в политике, медицине и спорте «профессионально» разбирается большинство россиян, но то, что допустимо для обычных граждан, непростительно для эпидемиологов и инфекционистов. Например, один из крупнейших современных эпидемиологов, профессор Михаил Фаворов в интервью 20 марта заявил, в Южную Корею попал из Китая штамм COVID-19, который вызывает меньшую летальность, чем злобный штамм вируса, который из Китая попал в Италию.  У меня к мастистому эпидемиологу резонный вопрос: «Что произошло с вирусом COVID-19, прибывшими в начале марта из Италии в аэропорт Шереметьева, после чего он стал себя вести в отношении россиян более лояльно, чем с итальянцами? Возможно, COVID-19 вдохнул русской водки, и она ему показалась более симпатичной, че
Оглавление

С момента предыдущей публикации: «COVID-19 – чёрный лебедь российского здравоохранения» прошло больше месяца количество инфицированных в мире COVID-19 превысило 4,7 млн, из которых 1,8 млн уже выздоровели, а почти 314 тысяч, к сожалению, умерли. 

Александр Гончаренко, врач-инфекционист, кандидат медицинских наук, председатель Алтайского "Яблока"
Александр Гончаренко, врач-инфекционист, кандидат медицинских наук, председатель Алтайского "Яблока"

Как известно, в политике, медицине и спорте «профессионально» разбирается большинство россиян, но то, что допустимо для обычных граждан, непростительно для эпидемиологов и инфекционистов.

Например, один из крупнейших современных эпидемиологов, профессор Михаил Фаворов в интервью 20 марта заявил, в Южную Корею попал из Китая штамм COVID-19, который вызывает меньшую летальность, чем злобный штамм вируса, который из Китая попал в Италию. 

У меня к мастистому эпидемиологу резонный вопрос: «Что произошло с вирусом COVID-19, прибывшими в начале марта из Италии в аэропорт Шереметьева, после чего он стал себя вести в отношении россиян более лояльно, чем с итальянцами? Возможно, COVID-19 вдохнул русской водки, и она ему показалась более симпатичной, чем итальянские вина?». 

Именно из Италии в Москву прибывали зараженные коронавирусом люди, а не из Южной Кореи и Японии. Известно, что каждый второй заболевший коронавирусной инфекцией в России проживает в Москве.

Вот еще один спорный тезис уважаемого профессора.

В программе: «Разбор полета» 11 мая он, на вопрос:

С. Крючков― Михаил Олегович, почему в Штатах эпидемия приняла столь огромные масштабы? Та же Индия с трущобами, о которых мы упоминали — тем не менее, как пишет нам пользователь чата в Youtube Олег, люди буквально спина о спину трутся, а эпидемия отнюдь не такая по масштабам, как в Америке.
М. Фаворов― Давайте спросим, сколько лет тем людям, которые трутся в Индии спина о спину. И какая процентность населения старше 70 в Италии. 30%! Каждый 3-й — старше 70 лет! Вирус убивает старых. Вы можете в Индии тереться сколько хотите — там нет таких возрастных групп, старше 70. То есть, понимаете, надо понимать популяционную разницу. Это раз.

По Индии с профессором я согласен, но как быть с Польшей, где по состоянию на 13.05.2020 г. уровень смертности на 1 млн человек составил 21,4, тогда, как в Италии – 513,1. Думаю объяснить огромную разницу в смертности лишь тем, что в Польше нет возрастной группы кому за 70, не получится! В это вряд ли поверят. 

Другой сомнительный пример объяснению разницы смертности в  странах привел профессор Университета Джорджа Вашингтона  Михаил Букринский в передаче: «Полный Альбац».

Е. Альбац― Тем не менее, мы видим, что в России, даже притом, что мы понимаем, что в России лукавая цифра во всем, что касается статистики и в том числе количества смертей. Это мы уже точно понимаем, что цифра занижена в несколько раз. Тем не менее, очевидно, что в России число смертей раз в 10 ниже, чем в США. Чем это объясняется?
М. Букринский― Я, честно говоря, не очень верю этим цифрам. Что действительно такое маленькое количество смертей. Просто, потому что во всем мире в сравнимых условиях количество смертей гораздо выше в процентном отношении... И, на мой взгляд, основная причина разницы в количестве умерших, в проценте умерших от количества заболевших – это просто та популяция, в которую попал вирус исходно. Например, в Америке и в Италии он исходно попал в популяцию пожилых людей. И людей, которые в группе повышенного риска. И поэтому количество умерших гораздо выше».

Это, как прикажите Вас профессор понимать?

COVID-19 прибыв 21 января в городок Эверетта, что в штате Вашингтон и первым делом приобрел карту всех домов для престарелых и стал туда наносить свои рабочие смертельные визиты, игнорируя такие учреждения, как воинские части, тюрьмы, школы и др. с более молодым контингентом, находящихся в них лиц. Данное заявление уважаемого профессора прозвучала 11 мая, тогда, когда в США уже было зафиксировано почти 1,4 млн зараженных и около 82 тыс. погибших от инфекции.

Настало время добавить некоторой конспирологии и с моей стороны, чтобы запутать всех окончательно.

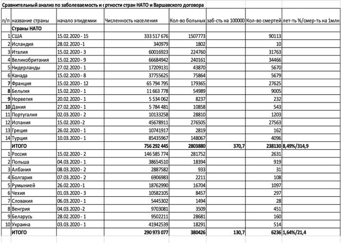
Я провел сравнительный анализ заболеваемости и смертности от COVID-19 двух противоборствующих военных блоков НАТО и в странах бывшего Варшавского договора.  Думаю, будь жив Ленин, он непременно бы воспользовался результатами этого исследования для обоснования преимущества социализма над капитализмом.

В выборку вошли все страны, входящие в НАТО на период краха СССР с одной стороны и территории бывших социалистических государств, входящих в блок Варшавского договора. Советский Союз представлен ее основателями – Россией, Украиной и Беларусью. Возмущенным гражданам из других бывших братских советских республик объясняю, что вы в исследование не вошли, так как не меняли качественные показатели.

Результаты, честно говоря, меня шокировали. Заболеваемость коронавирусной инфекцией по состоянию на 17 мая 2020 г. в НАТО была в 2,8 раза выше, чем в странах соцлагеря, а уровень смертности в пересчете на 1 млн жителей был выше почти в 15 раз. При такой разнице в показателях не требуется проведение дополнительных статистических исследований на достоверность различий между группами. Как говорится все видно и невооруженным глазом.

-2

Как это понимать господа, товарищи? Прах Леонида Ильича Брежнева и товарища Суслова воспарили над планетой? 

Брежнев с Сусловым прониклись горем Владимира Путина о том, что распад СССР есть «крупнейшая геополитическая катастрофа века» и чтобы насолить ненавистной им англичанке и дядюшке Сэму, попросили китайских товарищей коммунистов наслать порчу на НАТО в виде смертельного COVID-19, а в страны бывшего социализма, развивающие и постколониальные, командировать для конспирации COVID-19 с значительно ослабленной злобностью? 

Эта гипотеза хороша для конспиролога, но не для инфекциониста, тем более с научной степенью. 

Поэтому 13 мая 2020 г. по данным сайта было исследована заболеваемость (количество заболевших на 100 тыс. жителей), летальность (процент умерших от заболевших), с уровнем смертности (количество умерших на 1 млн. населения). 

Было интересно сравнить страны, в которых по-прежнему, всех младенцев прививают БЦЖ (прививка от туберкулеза – прим. автора), с теми, где никогда не прививали или давно уже отказались от этого. Сравнить страны, расположенные в северной части северного полушария со странами, расположенными ниже южного тропика южного полушария. Сравнить страны, с более жесткими карантинными условиями со странами, с более либеральным (свободным карантином). 

От чего зависит уровень заболеваемости COVID-19 в разных странах?

1. Есть или нет COVID-19. В конспиралогию о том, что если нет, то его надо придумать, я не верю.

2. Количество сделанных тестов на COVID-19. Например, две латинские страны Эквадор и Перу. Уровень заболеваемости в Эквадоре 175 на 100 тыс. человек, а в Перу 215,7. Кажется, что в Перу в 1,2 раза заболеваемость выше, чем в Эквадоре, но если посмотреть по количеству тестов, то в Перу их сделано 532169, а в Эквадоре всего 85233, что в 6,2 раза меньше.  

3. Нельзя использовать тесты на беременность с целью выявления COVID-19 и рассчитывать на положительные результаты на COVID-19. При качественных тестах всего 3% ложно отрицательных или положительных, а при «китайских», брака до 30 – 40%. 

4. Соблюдение карантинных мероприятий, как государством, так и гражданами. Сейчас принято сравнивать Норвегию и Финляндию со Швецией, где практически не проводили карантинных мероприятий, но, на мой взгляд, более наглядно сравнивать Украину, где в Киеве даже метро закрыли, с Беларусью, где проводят парады и футбольный чемпионат. Так уровень заболеваемости (см. таблицу выше) в Беларуси – 301,8, а в Украине – 43,6, что почти в 7 раз ниже. 

5. Охват вакцинацией БЦЖ младенцев.

В первую группу исследования вошли страны, в которых обязательная вакцинация БЦЖ  младенцев никогда не была предусмотрена или была прекращена, как например в Испании в 1981 г., в 1979 г. в Нидерландах и Канаде или в 1975 г., как в случае с Швецией.

Чуть позже от вакцинации отказались Швейцария в 1987 г., Бельгия в 1989 г., а Австрия и Дания в 1990 г.

В эту группу включена Великобритания, где младенцев не прививали (только из группы риска), а прививали детей в возрасте 12 – 13 лет, но и от этого англичане отказались в 2005 году. 

 Вторая группа – это страны, в которых давно в обязательный календарь прививок детей введена БЦЖ. Всеохватная вакцинация новорождённых в родильных домах с 1962 в России, Украине, Эстонии и Армении, с 1942 г. в Японии, с 1952 г. в Турции, с 1955 г. в Польше, с 1970 г. в Южной Корее, Португалия от нее отказались лишь в 2017 г. 

Страны в обеих группах относятся к субтропикам и расположены в Северном полушарии. 

Из таблицы видно, что уровень заболевания в группе, где всеохватывающая вакцинация младенцев БЦЖ составляет 90,7 случаев на 100 тыс. населения, а там, где этого нет – 388. Даже с учетом коррекции на разницу в количестве проведенных тестов на COVID-19 уровень заболеваемости в группе без БЦЖ остается в 2,4 раза выше.

-3

6. Географические и климатические условия.

Например, учитывая, что COVID-19 относится к коронавирусам, для которых, как для вируса гриппа и парагриппа характерна сезонность, то хотелось посмотреть поведение COVID-19 при других климатических условиях. В декабре – апреле, эти вирусы наиболее агрессивны, а в летнее время года вирусы впадают, как медведи в спячку, только медведи зимой, а вирусы летом. Как и среди медведей встречается медведь-шатун, так и встречается вирус-шатун, что объясняет факт регистрации единичных (спорадических) случаев заболевания в летнее время. 

С этой целью была изучена заболеваемость в странах, расположенных, ниже южного тропика (это параллель 23,5° ю. ш.) Южного полушария.   

Анализ показал, что уровень заболеваемости в этой группе стран, даже с учетом коррекции на число сделанных тестов в 3,8 раз ниже, чем в группе северного полушария без БЦЖ и в 1,6 раза меньше, чем у стран северного полушария с БЦЖ. 

Это подтверждает, что начало пандемии (январь - февраль) в этих странах пришлось на климатические условия, характерные для лета северного полушария. 

Тем самым напрашивается вывод, что в июне вспышка COVID-19 в странах, расположенных выше северного тропика, в том числе и в России сойдет к единичным случаям. 

От чего зависит уровень смертности при поражении COVID-19?

Ответ напрашивается сам собой - от надежности системы здравоохранения. 

Я вас разочарую, что это не совсем так. Сложно поверить, что самый высокий уровень смертности в Бельгии – 751,1 случаев на 1 млн жителей, затем в Андорре – 658,3 (карликовое государство Европы, между Францией и Испанией), далее Испания – 589,2, затем Италия – 513,1; Великобритания – 480,8; Франция – 404,9; Швеция – 325,6; Нидерланды – 320,2; США – 245,7 и Швецария - 211,7 объясняется плохим здравоохранением. 

Как видите, хуже всех с пандемией справляются в странах с высоким уровнем экономики, но где уже давно отказались от вакцинации БЦЖ. Во Франции это случилось в 2007 г. 

Наиболее низкая смертность зарегистрирована в Парагвае – 1,5 случаев на 1 млн населения, в Малайзии и Сингапуре по 3,4; в Южной Африканской республике – 3,6; затем Австралия и Индонезия по 3,8; Новая Зеландия – 4,5; Южная Корея и Япония – 5,0. Замыкает десятку наиболее успешных стран в борьбе с COVID-19 Уругвай – 5,4.  

Если оценить успехи стран по летальности – это процент умерших от числа всех зараженных, то и здесь страны, экономически развитые выглядят удручающе. В десятку с наибольшей летальностью вошло 8 стран, расположенных выше северного тропика и не имеющих связь с БЦЖ. Это Бельгия – 16,29%, Франция – 15,02%, Великобритания – 14,37%, Италия – 14,01%, Нидерланды – 12,82%, Швеция – 12,15%, Испания – 9,99%, и Канада – 7,13%.  Помимо этих стран, вошел Эквадор. Это латиноамериканское государство с тропическим климатом, но где, как и у предыдуших стран, не проводится БЦЖ вакцинация младенцам. Единственной страной с вакцинацией БЦЖ и с высоким уровнем летальности оказалась Мексика – 10,24%. 

В десятке с наименьшей летальностью вошли шесть из семи стран, расположенных в южных субтропиках, где COVID-19 в  это время года малоактивен и слабо агрессивен. Летальность в Чили составила 1,06%, в Австралии и Новой Зеландии по 1,4%, в Парагвае 1,49%, в Южной Африке – 1,81%, в Урагвае – 2,65%. Единственной страной, не пробившейся в десятку лучших, оказалась Аргентина с достойным результатом в 4,86%.  

В десятки лучших оказались два тропических государства Сингапур – 0,08% и Саудовская Аравия – 0,91%, где давно всем младенцам прививают БЦЖ. В Сингапуре с 1950 г. и в Саудовской Аравии с 1968 г. 

Три страны из четырех с постсоветского пространства, где проводился анализ также показали низкую летальность. В России она составила 0,91%, в Армении – 1,33%, в Украине –  2,65%. Чуть хуже результат оказался в Эстонии – 3,49%. 

-5

Если взять средние показатели по исследуемым группам, то наиболее низкая смертность и летальность отмечена в странах, расположенных ниже южного тропика, соответственно 6,2 и 1,19%. Страны, расположенные выше северного тропика, в которых все младенцы вакцинируются БЦЖ показатели составили, соответственно 18,5 и 2,04%. В группе тропических стран уровень смертности составил 25,6, а летальность 5,38%. Необходимо отметить, что в этой группе из 11 стран, лишь в Эквадоре не проводится вакцинация БЦЖ. Наиболее высокая смертность оказалась в странах, расположенных выше северного тропика (в настоящее время расположена на 23°26′16″ к северу от экватора), где младенцам прекращена программа вакцинации БЦЖ, соответственно 325,6 и 8,39%.

Помимо общих групповых показателей, демонстрирующих влияние вакцинации БЦЖ младенцев на заболеваемость, летальность и смертность от COVID-19, есть еще сравнение стран близких географически и климатически, но отличающихся отношением к программе вакцинации БЦЖ младенцев.

Первый пример. Испания и Португалия. Обе страны находятся на Пиренейском полуострове, близки культурно. COVID-19 в начале был зарегистрирован в Испании, а спустя две недели в Португалии. Вакцинация БЦЖ младенцев в Испании прекращена в 1981 г., а в Португалии лишь в 2017 году. По состоянию на 13 мая уровень заболеваемости в Испании составил 589,9 случаев на 100 тыс. населения, а в Португалии – 275,5. Летальность соответственно 9,99% и 4,17%, а показатель смертности 589,2 и 114,8 случая на 1 млн. жителей

Другой пример. Эквадор, Перу и Колумбия, которые находятся в Латинской Америке и граничащих друг с другом. В Перу вакцинации БЦЖ подвержены младенцы с 1945 г., в Колумбии с 1960 г., а в Эквадоре эта прививка не входит в календарь обязательных.  Летальность в этих странах от COVID-19 составляет в Перу – 2,85%, в Колумбии – 4,02%, в Эквадоре – 7,65%, и уровень смертности соответственно 61,6; 9,7 и 133,9 умерших на 1 млн населения.  

Влияет ли статистический подход к регистрации смертности от COVID-19? Бесспорно влияет, но не фатально. 

Есть две крайности. 

Первая – это когда все случаи смерти, где у умершего был положительный тест на COVID-19, даже в случае с ДТП записывают в смертность от вируса. 

Вторая, когда у умершего от двухсторонней пневмонии, с положительным тестом смерть пытаются списать на сопутствующее хронические заболевания, коих у тех, кому за 65, как правило в достатке.

Тем не менее утверждать, что только статистически можно кардинально изменить картину эпидемии COVID-19 думаю нельзя.

Хотя исходя из характера политического режима, уровня здравоохранения и экономики страны вызывают сомнения статистические данные Китая, Северной Кореи, Индии, Ирана, большинства стран Африки и некоторых других. 

Не так давно разразился скандал с тем, что, якобы, реальная смертность от COVID-2019 в Москве почти в 3 раза выше официальных показателей, но даже если это так, то смертность все равно в 9,9 раза ниже (сейчас 27,7), чем например в Нью-Йорке.

По официальной статистике в Нью-Йорке от COVID-19 умерло 28325 человек, а в Москве 1503. Люди с COVID-19 умирают не во сне, как при отрыве тромба и не забившись по московским квартирам, а на фоне септического шока и нарастающей дыхательной недостаточности. Больные и их родственники при появлении высокой температуры и удушья будут вызывать скорую помощь, а та повезет такого пациента в стационар.  Если представить, что уровень смертности в Москве, такой как в Нью-Йорке, то тогда в течение двух месяцев в Москве могло бы умереть почти 42 тыс. человек, теперь поделите эту цифру на 70, именно столько дней прошло с момента начала эпидемии в Москве, а затем поделите на количество стационаров, работающих с COVID-19 и вы поймете, что такую суточную смертность в Москве спрятать от СМИ и социальных сетей невозможно.  

Низкая смертность – это скорее не благодаря, а вопреки действиям властей и медицинских чиновников с их оптимизаций, и благодаря благоприятным стечением обстоятельств в виде всеохватывающей вакцинации БЦЖ новорожденных!

В интервью Виктор Шендерович привел следующие данные: «В Италии на 15 тысяч летальных исходов – 100 смертей врачей, медиков. В России те же 100 смертей медиков, 97 было на 1500 летальных исходов». Есть две версии этому факту. Первая, в которую я верю больше, российские врачи хуже обеспечены индивидуальными средствами защиты. Вторая, искусственно занижают в России количество умерших от Covid-19, но на эту тему я уже писал выше.

С чем связана малая эффективность ведущих систем здравоохранения? 

Во-первых, нет специфического противовирусного эффективного лечения, как например, антибиотики при бактериальных пневмониях.

Во-вторых, использование противомалярийных препаратов, это попытка, на какое-то время, «отрубить» губительное воздействие собственного иммунитета на организм, а подача кислорода и ИВЛ это лишь борьба с дыхательной недостаточностью и кислородным голоданием. Тем более, как пишут в 80% использования инвазивных ИВЛ, заканчивается смертью больного.

Поэтому результаты лечения во многом определяется индивидуальными особенностями организма (возраст до 65 – 70 лет, отсутствие хронических заболеваний), агрессивностью самого вируса, которая зависит от сезонности и климата и изменениями в клетках мишенях легких (состояние клеточной стенки и рецепторного аппарата), в которых когда-то произошли изменения после вакцинации БЦЖ в младенчестве и эти изменения многократно воспроизводятся клетками легких на протяжения всей жизни и делающие эти клетки менее восприимчивыми к  COVID-19.

Известно выражение о том, что смерть одного человека – это трагедия, а тысяч – это лишь статистика.

В статье речь шла о статистике, которая может не иметь отношение к конкретному гражданину.

Поэтому соблюдайте социальную дистанцию, масочный режим в общественных местах, мойте чаще руки и берегите себя.