Найти в Дзене
Сергей Нечепуренко

О чем говорит гипотеза Римана.

Все слышали о великой проблеме математики «Гипотезе Римана», за доказательство которой объявлена награда миллион долларов. Но мало кто понимает суть гипотезы. Формулировка гипотезы. Все нетривиальные нули Дзета Функции имеют вещественную часть 1/2. Для понимания гипотезы Римана нам нужно понять несколько простых определений. Действительные и комплексные числа. Действительные числа - это все числа из нашего реального мира. Они отображаются на числовой прямой. Комплексные числа – это числа состоящие из двух компонент. Действительная часть и мнимая часть. Не будем углубляться в теорию комплексных чисел, лишь укажем что они отображаются на плоскости. По горизонтальной оси – действительная часть, по вертикальной – мнимая. Отобразим для примера комплексное число 2+3i Математики говорят, что не нужно пытаться придумать пример комплексного числа из реального мира. К комплексным числам нужно просто привыкнуть. В них нет ничего сложного. Просто комплексное число нужно воспринимать как числ
Оглавление

Все слышали о великой проблеме математики «Гипотезе Римана», за доказательство которой объявлена награда миллион долларов.

Но мало кто понимает суть гипотезы.

Формулировка гипотезы.

Все нетривиальные нули Дзета Функции имеют вещественную часть 1/2.

Для понимания гипотезы Римана нам нужно понять несколько простых определений.

Действительные и комплексные числа.

Действительные числа - это все числа из нашего реального мира. Они отображаются на числовой прямой.

Действительные числа на числовой прямой.
Действительные числа на числовой прямой.

Комплексные числа – это числа состоящие из двух компонент. Действительная часть и мнимая часть. Не будем углубляться в теорию комплексных чисел, лишь укажем что они отображаются на плоскости. По горизонтальной оси – действительная часть, по вертикальной – мнимая.

Отобразим для примера комплексное число 2+3i

Комплексное число 2+3i на комплексной плоскости.
Комплексное число 2+3i на комплексной плоскости.

Математики говорят, что не нужно пытаться придумать пример комплексного числа из реального мира. К комплексным числам нужно просто привыкнуть. В них нет ничего сложного. Просто комплексное число нужно воспринимать как число состоящее из двух компонент.

Что такое функция комплексной переменной?

Это правило по которому точки из одной комплексной плоскости ставятся в соответствие точкам из другой комплексной плоскости. То есть точки из области определения ставятся в соответствие точкам из области значений.

Забегая вперед укажем, что Дзета Функция это функция комплексной переменной.

Что такое ноль комплексной функции?

Это точка на плоскости аргументов функции, значение которой на плоскости значений имеет координату (0;0). То есть действительная и мнимая часть значения функции равны 0.

Что такое Дзета-Функция Римана?

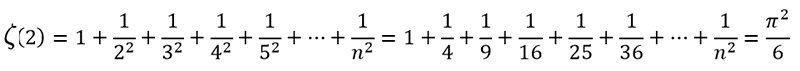
Дзета-Функция Римана это сумма бесконечного ряда. Она обозначается греческой буквой Дзета.

Дзета-функция Римана
Дзета-функция Римана

Где степень S –является аргументом комплексной функции.

Значение Дзета–функции это число, к которому стремится сумма бесконечного ряда при определенном аргументе S.

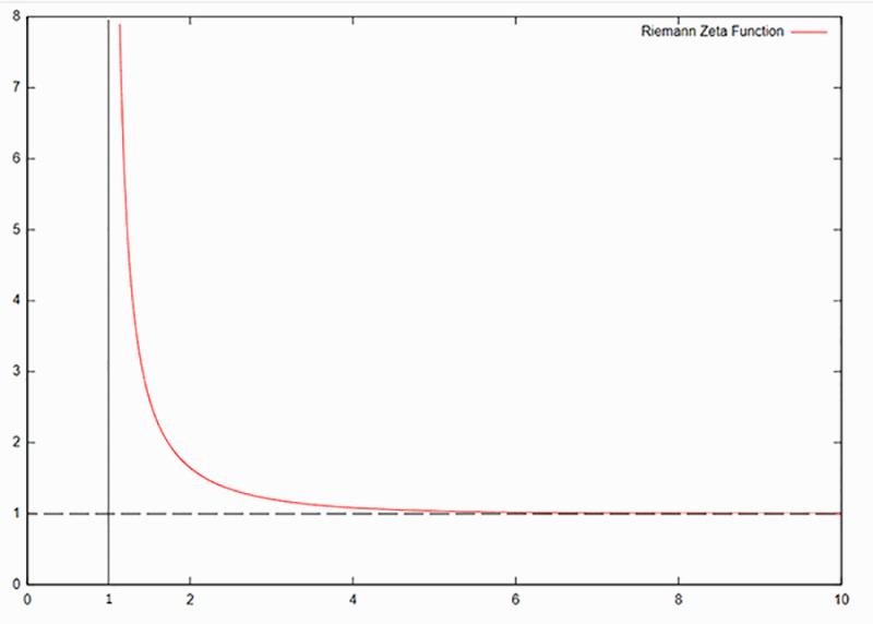
Если S обычное действительное число, то это довольно простая и предсказуемая функция.

Давайте подставим вместо S единицу.

Гармонический ряд
Гармонический ряд

Этот ряд называется гармоническим и он стремится к бесконечности.

Математики говорят, что гармонический ряд расходится. То есть сумма гармонического ряда становится больше любого числа при определенном количестве слагаемых. Это доказал Бернулли.

Давайте подставим вместо S двойку.

Дзета функция  при аргументе равным 2
Дзета функция при аргументе равным 2

Этот ряд сходится к числу Пи в квадрате делить на 6. Это доказал Эйлер.

Заметим, что в формулах связанных с Дзета-функцией часто появляются фундаментальные математические константы – число Пи и число e – основание натурального логарифма.

При любом действительном S большем 1 Дзета-функция сходится к какому-то числу.

При любом действительном S меньшем или равном 1 Дзета-функция расходится.

Мы можем нарисовать график Дзета-функции, если аргумент является действительным числом.

Дзета функция при действительном аргументе
Дзета функция при действительном аргументе

Изобразим слагаемые дзета функции, при аргументе равном двум, 1+1/4+1/9+1/16+1/25+… в виде отрезков на числовой прямой.

При бесконечном количестве слагаемых их сумма стремится к Пи в квадрате делить на 6. Или приблизительно 1,644…

Слагаемые Дзета функции при аргументе равном 2
Слагаемые Дзета функции при аргументе равном 2

А что будет если аргумент дзета-функции будет не действительным числом, а комплексным? Тогда начнется магия. Например, аргумент будет комплексным числом 2+2i.

Чем будут отличаться друг от друга слагаемые дзета функции при аргументах 2 и 2+2i ?

Будет следующее. Длина каждого из отрезков не изменятся, но каждое слагаемое повернется на определенный угол.

Вот так будут располагаться на комплексной плоскости слагаемые при аргументе дзета-функции 2+2i

Слагаемые Дзета функции при аргументе 2+2i
Слагаемые Дзета функции при аргументе 2+2i

Действительную часть аргумента дзета-функции обозначают буквой X

Мнимую часть аргумента дзета-функции обозначают буквой Y

Длина каждого слагаемого дзета-функции зависит только от номера слагаемого n и действительной части аргумента X и определяется формулой

-9

Длина каждого слагаемого не зависит от мнимой части аргумента.

Угол наклона каждого слагаемого в радианах равен F=–Y*ln(n)

Где Y мнимая часть аргумента дзета-функции.

n - номер слагаемого дзета-функции

Почему впереди стоит знак минус? Потому что при увеличении Y слагаемые вращаются по часовой стрелке.

Скоростью вращения слагаемого мы будем называть угол, на который повернется слагаемое в комплексной плоскости значений при увеличении мнимой части аргумента Дзета-функции на единицу.

Из этой формулы мы видим, что

1) Меньшие по длине слагаемые вращаются быстрее.

2) У меньших по длине слагаемых разница в скорости двух соседних слагаемых ниже.

Это очень важно.

Поведение слагаемых дзета-функции при комплексном аргументе можно сравнить со стрелочными часами. В которых есть часовая стрелка, минутная стрелка, секундная стрелка, милисекундная стрелка и так далее до бесконечности.

Но в дзета функции к концу часовой стрелки приделали начало минутной стрелки.

К концу минутной стрелки приделали начало секундной стрелки.

К концу секундной стрелки приделали начало мили секундной стрелки и так далее до бесконечности.

Каждая последующая стрелка вращается быстрее предыдущей. Скорость вращения стрелки равна ln(n)

В отличии от часов у дзета функции, каждая следующая стрелка короче предыдущей. Длина стрелки равна (1/n) в степени X

Где n - номер слагаемого. X - вещественная часть аргумента

То есть при увеличении n длина слагаемых падает, а скорость их вращения растет.

Если X (вещественная часть аргумента) больше 1 функция сходится к какой то точке.

Если X меньше или равна 1 функция ни к какой точке не сходится.

В следующей анимации показано как поворачивается каждое слагаемое Дзета-функции при изменении аргумента из точки 2 в точку 2+2i

Слагаемые дзета-функции при изменении аргумента от 2 до 2+2i
Слагаемые дзета-функции при изменении аргумента от 2 до 2+2i

Теперь давайте сделаем вещественную часть аргумента равной 1/2 и поднимемся вверх по мнимой части аргумента.

Посмотрим как меняются слагаемые Дзета функции, если аргумент меняется от точки 0.5+30*i к точке 0.5+33*i.

Когда вещественная часть аргумента Дзета-функции была равна 2 длина слагаемых была равна

Длина слагаемого дзета функции при вещественной части аргумента равной 2
Длина слагаемого дзета функции при вещественной части аргумента равной 2

В случае когда вещественная часть аргумента Дзета-функции равна 0.5 длина каждого слагаемого равна

Длина слагаемого дзета функции при вещественной части аргумента равной 1/2
Длина слагаемого дзета функции при вещественной части аргумента равной 1/2

То есть слагаемые стали длиннее. Так как знаменатель дроби уменьшился.

Угол наклона каждого слагаемого останется точно таким же.

На следующей анимации показано как меняются слагаемые Дзета-функции при изменении аргумента из точки 0.5+30i в точку 0.5+33i

Слагаемые дзета-функции при изменении аргумента от 0.5+30i до 0.5+33i
Слагаемые дзета-функции при изменении аргумента от 0.5+30i до 0.5+33i

На анимации красной линией показано движение значения Дзета функции.

Мы видим, что линия значений Дзета-функции 2 раза точно прошла через начало координат.

В точках 0.5+30.4248 * i и 0.5+32.9350 * i.

Эти точки как раз и являются нетривиальными нулями Дзета-функции.

Гипотеза Римана утверждает, что значения Дзета-функции могут проходить через начало координат только при вещественной части аргумента равной 0.5.

Существуют также тривиальные нули дзета-фукции в четных отрицательных числах. Но они не столь интересны и здесь мы их касаться не будем.

Мы видим, что если зафиксировать вещественную часть аргумента в значение 0.5 и менять мнимую часть аргумента от 0 и выше. значения дзета функции будут образовывать петли. За каждый оборот петли она ровно один раз проходит через начало координат.

Вот как меняются значения дзета-функции при изменении аргумента от 0.5 до 0.5+26*i

Прямая в области определения Дзета функции, на которой вещественная часть аргумента равна 0.5 называется критической прямой.

Изменение значения дзета-функции при изменении аргумента от 0.5 до  0.5+26*i
Изменение значения дзета-функции при изменении аргумента от 0.5 до 0.5+26*i

Мы видим, что на этом интервале дзета функция проходила через ноль 3 раза.

При аргументах функции

0.5+14.1347 i

0.5+ 21.022 i

0.5+ 25.01 i

Экспериментально установлено, что все обнаруженные нули дзета функции это иррациональные числа. То есть имеют бесконечное количество неповторяющихся десятичных знаков после запятой. Почему все нули оказываются иррациональные числа – загадка. Пока математики не могут дать этому объяснение.

Точно так же математики не могут объяснить саму гипотезу Римана.

Почему только при вещественной части аргумента дзета-функции равной 0.5, ее значения проходят через начало координат?

Вначале спираль значений дзета-функции имеет изгиб в виде наклонной буквы S. А дальше она начинает описывать петли. при каждом обороте петли она ровно один раз проходит через начало координат.

Экспериментально выявлены следующие закономерности поведения Дзета-функции.

  1. Нет ни одной петли, которая бы не прошла через ноль ровно один раз.
  2. По мере увеличения мнимой части аргумента размер петель увеличивается в размере. То есть значение дзета-функции может отходить от ноля неограниченно далеко.
  3. Зная значение некоторых нулей невозможно предсказать расположение других нулей. В этом нули дзета-функции похожи на расположение простых чисел на числовой прямой. Риман показал прямую связь между нулями дзета функции и простыми числами.

Давайте посмотрим чему будут равны значения Дзета-функции, если вещественная часть аргумента будет не 0.5. я чуть больше. например 0.6.

Нажмите на картинку ниже, что бы запустить анимацию.

Дзета функция при x=0.6
Дзета функция при x=0.6

В этом случае каждое слагаемое становится короче. И значение дзета функции проходят справа от начала координат.

Давайте посмотрим чему будут равны значения Дзета-функции, если вещественная часть аргумента будет не 0.5. я чуть меньше. например 0.4

Нажмите на картинку ниже, что бы запустить анимацию.

Дзета функция при x=0.4
Дзета функция при x=0.4

В этом случае каждое слагаемое становится длиннее. И значение дзета функции проходят слева от начала координат.

В этом и проявляется величайшая загадка математики.

Почему только при вещественной части аргумента равной 0.5 петли дзета функции проходят ровно через начало координат?

Экспериментально на компьютерах проверили триллионы нулей. Все они на критической прямой.

Объяснить этот факт никто не может.

Для упрощения материала я опустил один существенный момент.

Если вычислять значение дзета функции по обычной формуле при действительной части аргумента меньше единицы, то дзета функция расходится.

То есть при увеличении количества слагаемых их сумма не сходится ни к какой точке на комплексной плоскости.

Поэтому при вещественной части аргумента меньше единицы находят не само значение Дзета-функции, а ее аналитическое продолжение.

Найти аналитическое продолжение можно двумя способами.

1-й способ найти аналитическое продолжение дзета-функции.

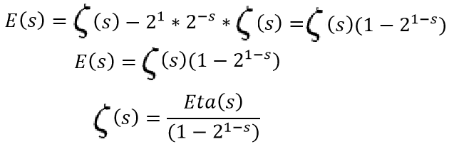
Сначала вычисляют другую функцию, похожую на Дзета-функцию. Назовем эту функцию буквой E

-17

Она отличается от Дзета-функции тем, что слагаемые с четным n берутся со знаком минус. Ее сходимость лучше. Она сходится при вещественной части аргументе больше нуля.

В отличии от дзета функции, которая сходится при вещественной части аргумента больше единицы.

Затем находят аналитическое продолжение Дзета-функции по формуле.

-18

Уточню, что S в этой формуле – комплексное число.

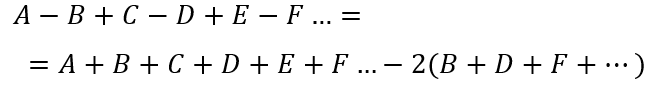
Давайте докажем эту формулу, связывающую Дзета-функцию с функцией E(s).

Доказательство:

Внимательно посмотрев, заметим, что следующее равенство является истинным

-19

Слева мы видим знакопеременный ряд. Такой же как функция E(s). Преобразуем функцию E(s) по этому равенству.

-20

В левой части мы видим дзета функцию. Подставляем ее. В правых скобках выносим за скобки

-21

Получаем

-22

В скобках слева мы также видим дзета функцию. Подставляем ее.

И выносим дзета функцию за скобки

-23

2-й способ найти аналитическое продолжение дзета-функции.

Если при вещественной части аргумента дзета-функции в интервале от 0 до 1, суммировать первые N слагаемых, где N равна мнимой части аргумента делить на Пи. То полученное комплексное число будет очень близко к аналитическому продолжению дзета-функции с небольшой погрешностью.

Если суммировать большее количество слагаемых, то результат будет расходится от аналитического продолжения по спирали.

Проиллюстрируем это на примере.

Мы хотим найти значение Дзета функции при аргументе равном 0.5+33.5*i

Так как вещественная часть аргумента 0.5 меньше 1, то по обычной формуле дзета функция будет расходится. Но сумма первых 10 слагаемых будет близка к аналитическому продолжению.

Если просуммировать, например, 1000 или 10 000 слагаемых по обычной формуле дзета-функции, то полученная сумма не будет сходится к какой либо точке. Она будет гулять по комплексной плоскости по спирали.

Если же просуммировать округление(33.5 / Пи) = 10 слагаемых. То мы получим значение -0.09+0.86*i

Что очень близко к аналитическому продолжению Дзета-функции.

На следующем рисунке изображены 10 первых слагаемых дзета функции при аргументе 0.5+33.5*i

-24

На следующем рисунке рисунки изображены 70 первых слагаемых дзета функции при таком же аргументе

-25

Мы видим, что после 10 слагаемых значение начинает уходить от аналитического продолжения по правильной спирали и гулять по всей плоскости.

Лично я убежден, что гипотеза Римана верна.

Так как не могут триллионы нулей дзета функции располагаться строго на критической прямой с просто случайно.