Добавить в корзинуПозвонить
Найти в Дзене
Vseznayka

Решение задач №10 Вычислить определённый интеграл.

Доброго времени суток. Настала пора разбираться с определённым интегралом. Сегодня нас ждёт довольно интересный примерчик. Не будем тянуть кота за хвост, запишем. Решать данный пример будем довольно простым и хитрым образом, а именно интегрировать по частям. Самая главная задача определиться с функцией от которой придётся брать производную. Ребятки решившие не один десяток различных интегралов скорей всего уже догадались... Для тех кто не догадался, объясним. Функция от которой придётся брать производную это x^2. Осталось ответить на вопрос. Почему она, а не x^3? После того как возьмём функцию x^2 за u, у нас ещё останется x в исходном интеграле, понадобится он для подведения под знак дифференциала в интеграле функции v. Распишем подразумевавшиеся операции: Теперь должно стать всё понятно, за исключением одного, решения интеграла. Выпишем отдельно интеграл и решим: Самое главное надо было сделать подведение под знак дифференциала x, чтобы появился -x^2, а дальше проводить интегрирован

Доброго времени суток. Настала пора разбираться с определённым интегралом. Сегодня нас ждёт довольно интересный примерчик. Не будем тянуть кота за хвост, запишем.

Исходный интеграл.
Исходный интеграл.

Решать данный пример будем довольно простым и хитрым образом, а именно интегрировать по частям. Самая главная задача определиться с функцией от которой придётся брать производную. Ребятки решившие не один десяток различных интегралов скорей всего уже догадались...

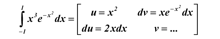
Для тех кто не догадался, объясним. Функция от которой придётся брать производную это x^2. Осталось ответить на вопрос. Почему она, а не x^3? После того как возьмём функцию x^2 за u, у нас ещё останется x в исходном интеграле, понадобится он для подведения под знак дифференциала в интеграле функции v. Распишем подразумевавшиеся операции:

Интегрирование по частям.
Интегрирование по частям.

Теперь должно стать всё понятно, за исключением одного, решения интеграла. Выпишем отдельно интеграл и решим:

Решение интеграла.
Решение интеграла.

Самое главное надо было сделать подведение под знак дифференциала x, чтобы появился -x^2, а дальше проводить интегрирование. Запишем в том виде, как оно должно выглядеть:

-4

Применим формулу интегрирования по частям:

-5

Получившийся интеграл мы решили ранее, так что проблем он не составит. Выполним интегрирование и упростим:

-6

Последним этапом сделаем подстановку пределов интегрирования и вычислим окончательный ответ.

Ответ.
Ответ.

Окончательный ответ получился равным нулю. Построим график функции чтобы убедиться в правильности решения.

График функции x^3*e^(-x^2).
График функции x^3*e^(-x^2).

Из графика можно увидеть, что на интервале от -1 до 1 функция принимает противоположные значения относительно оси ординат. Всё сходится. На этом можно закончить. Спасибо за внимание.

Другие темы: