Добавить в корзинуПозвонить
Найти в Дзене
Vseznayka

Решение задач №9 Вычислить неопределённый интеграл.

Доброго времени суток. На сегодняшнем разборе задач будем решать не самый сложный, от этого не менее интересный пример. Находить решение неопределённого интеграла. Запишем интеграл. Сходу его не оформить, придётся что-то придумать. Ключом к решению является метод неопределённых коэффициентов. На одном из занятий мы разбирались с ним. Но мы не гордые, разберёмся по новой. Сутью метода является упрощение дробной функции, а именно представление функции как суммы элементарных дробей с неопределёнными коэффициентами в числителе, в каждой из дробей. Чтобы начать упрощение и разложение, необходимо предварительно найти количество корней знаменателя исходной функции. Количество корней в нашем случае четыре. Перепишем функцию отдельно и упростим на столько, на сколько это возможно, предварительно вынеся константу за знак интеграла. На данном этапе можно делать разложение функции. Стоит помнить, что, количество корней знаменателя равняется количеству элементарных дробей. Запишем полностью. Или

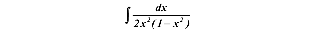
Доброго времени суток. На сегодняшнем разборе задач будем решать не самый сложный, от этого не менее интересный пример. Находить решение неопределённого интеграла. Запишем интеграл.

Неопределённый интеграл.
Неопределённый интеграл.

Сходу его не оформить, придётся что-то придумать. Ключом к решению является метод неопределённых коэффициентов. На одном из занятий мы разбирались с ним. Но мы не гордые, разберёмся по новой.

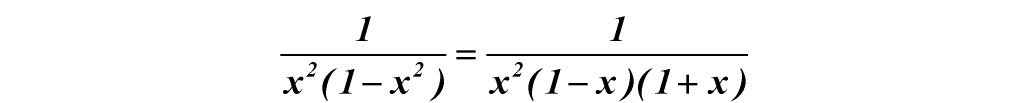
Сутью метода является упрощение дробной функции, а именно представление функции как суммы элементарных дробей с неопределёнными коэффициентами в числителе, в каждой из дробей. Чтобы начать упрощение и разложение, необходимо предварительно найти количество корней знаменателя исходной функции. Количество корней в нашем случае четыре. Перепишем функцию отдельно и упростим на столько, на сколько это возможно, предварительно вынеся константу за знак интеграла.

Упрощённая дробь.
Упрощённая дробь.

На данном этапе можно делать разложение функции. Стоит помнить, что, количество корней знаменателя равняется количеству элементарных дробей. Запишем полностью.

Разложенная на сумму дробей.
Разложенная на сумму дробей.

Или

В виде интеграла.
В виде интеграла.

Дальше будем искать все появившиеся коэффициенты. Для этого найдём наименьший общий знаменатель всех дробей и домножим коэффициенты на то что нужно и приравняем к числителю исходной дроби.

-5

Раскроем скобки и вынесем константы ещё раз.

-6

Всё что можно выполнили. Дальше из этого уравнения построим систему уравнений. Но как? - спросите вы. Вспомним простенькое правило математики. В каких случаях левая часть уравнения равняется правой? Всё верно. Левая часть уравнения равняется правой, тогда, когда коэффициенты при соответствующих полиномах равны.

Объясню совсем "на пальцах". Будем действовать от старшей степени полинома к младшей. Старшая степень у нас равняется трём x^3. Смотрим какие коэффициенты умножаются на x^3 и переписываем их в левую часть, ставим равно. Теперь нужно найти коэффициенты умноженные на x^3 в правой части. Но x^3 у нас там нет, если его нет, то коэффициент у x^3 равняется нулю, всё просто. Иначе говоря 0*x^3. Такие же действия проделываем с остальными полиномами. В конечном итоге получается система уравнений с вот такими значениями коэффициентов:

Полученная система уравнений и её решение.
Полученная система уравнений и её решение.

Осталось подставить полученные коэффициенты в исходный интеграл.

Интеграл после подстановки.
Интеграл после подстановки.

Последний шаг, это интегрирование дробей, интегрировать будем слева направо: Номджуна, Чинга... Ой, не в ту степь уехал. Интегралы табличные (почти). Мы прорешали подобных десятки, зацикливаться не будем, добавлю, что их решать нужно подведением под знак дифференциала, во втором интеграле (исключая нулевой) вносим под знак дифференциала 1-x, в третьем 1+x, подводим так сказать под формулу натурального логарифма. В общем ответ будет выглядеть следующим образом.

Решение интеграла.
Решение интеграла.
Решение интеграла получено, с одной стороны кажется долгим весь процесс решения. Но это совершенно не так, при умелом орудовании методом неопределённых коэффициентов весь процесс на подобный интеграл займёт не более 5-10 минут. Так что смело пользуйтесь им и ваши успехи заметно вырастут в решении интегралов, и не только. Спасибо за внимание.

Другие темы: