Найти в Дзене
Валерий Тимин

Прямые следствия законов Ньютона. Определения и законы сохранения

- это импульс, работа и кинетическая энергия Продолжение. Начало в О чем спорят физики? Виды механик и их пространства. Предыдущая статья: О чем говорят три Закона Ньютона. Из законов Ньютона сразу же следуют некоторые интересные выводы. Первый закон Ньютона дает прямое определение условия существования не взаимодействующей частицы. Как следствие, и взаимодействующей. Наиболее важными следствиями законов Ньютона являются законы сохранения энергии, импульса и момента импульса для консервативной системы. Законы Ньютона совместно с законами сохранения энергии, импульса и момента импульса говорят, что, как бы тела ни взаимодействовали, они не могут привести в движение свой центр масс. Они также не могут и раскрутить себя. Конечно, для формулировки этих законов необходимо сначала дать их определения. Второй закон Ньютона также фактически вместе с определениями импульса, работы и кинетической энергии формально вводит метризуемое пространство взаимодействий классической механики, причем
Оглавление

- это импульс, работа и кинетическая энергия

Продолжение. Начало в О чем спорят физики? Виды механик и их пространства. Предыдущая статья: О чем говорят три Закона Ньютона.

Из законов Ньютона сразу же следуют некоторые интересные выводы. Первый закон Ньютона дает прямое определение условия существования не взаимодействующей частицы. Как следствие, и взаимодействующей.

Наиболее важными следствиями законов Ньютона являются законы сохранения энергии, импульса и момента импульса для консервативной системы. Законы Ньютона совместно с законами сохранения энергии, импульса и момента импульса говорят, что, как бы тела ни взаимодействовали, они не могут привести в движение свой центр масс. Они также не могут и раскрутить себя.

Конечно, для формулировки этих законов необходимо сначала дать их определения.

Второй закон Ньютона также фактически вместе с определениями импульса, работы и кинетической энергии формально вводит метризуемое пространство взаимодействий классической механики, причем он получается в 4-мерном виде, вводя скалярное произведение 3-векторов, добавляя к ней в качестве 4-го измерения энергию и замыкая их на 4-мерный сохраняющийся при преобразованиях координат инвариант ∆ A – K = 0. Этим классическая механика выводит себя за пределы 3-мерного евклидова пространства в 4-мерное, где первые три измерении я – это три измерении я импульса, а 4-е измерение – это энергия, правда, в координатном представлении оставаясь формально все же в галилеевом пространстве.

Определения и законы сохранения энергии и импульса

Второй закон Ньютона записывается в виде

Fⁱ = maⁱ.(1)

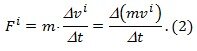
В координатном представлении эту же формулу можно записать в форме

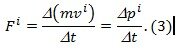
Обозначив величину mvⁱ через pⁱ и назвав ее импульсом м.т., получаем еще одну формулировку второго закона Ньютона:

-2

Для тех, кто не знаком с записями такого вида, что в математике запись с символом ∆ соответствует вычислению дифференциала от следующего за ним выражения. Такую операцию многие (и вы в том числе) выполняли в школе при вычислении средней скорости:

-3

Разница лишь в том, что в школе расстояние и время движения задавались вполне определенными числами, а здесь они стремятся к нулю, т.е.

-4

Эта форма второго закона Ньютона является более правильной в свете современных знаний. Именно в этой форме определяется сила в релятивистской механике. Из этой формулы следует, что сила воздействия на м.т. равна изменению импульса м.т. за единицу времени. Никаких последствий для классической механики это не имеет, т.к. m = const. Но такая формулировка силы применяется в СТО Эйнштейна. А также при расчете реактивного движения.

Умножив (3) на ∆ t, получаем закон изменения импульса м.т:

Fⁱ ∆t = ∆p .(5)

Как следствие, уравнение (5) выражает закон сохранения импульса м.т. Действительно, если на тело не действуют никакие силы, то ее скорость не изменяется (первый закон Ньютона), следовательно, и импульс не изменяется. В отношении к взаимодействующим телам оно верно в силу соблюдения третьего закона Ньютона.

Умножим (3) на ∆r :

Fⁱ ∆r = ∆A .(6)

Этот результат в механике называется работой силы на бесконечно малом участке ∆r. А выражения (или формулы?) такого вида в математике определяются как "скалярное произведение векторов" F и ∆r. Скалярное – это потому, что результат является не вектором, а числом. В математике есть целый раздел, изучающий объекты типа "скаляр", "вектор" (далее – "тензор") и операции сложения и умножения (а также вычитания и деления) над ними, который называется "векторной алгеброй". А произведения вида (6) определяют "геометрию" пространства объектов (т.е. векторов) векторной алгебры.

Рассмотрим (6) с другой стороны. Умножим уравнение (3) скалярно на ∆r:

-5

Из школы мы знаем, что ∆rⁱ = vⁱt. Заменим в (6) ∆ rⁱ на vⁱt:

-6

Но это выражение одновременно есть работа силы на этом маленьком расстоянии. Поэтому справедливы следующие преобразования исходной формулы:

-7

Здесь в преобразованиях применена операция высшей математики – интегрирование функции. В результате выражение {vⁱvⁱ} заменено на эквивалентное { ∆ ½(vⁱ)² }. Для тех, кто не знает, что такое интегрирование, поясню – интегрирование эквивалентно нахождению площади соответствующей функции. Величина К = mv²/2 в механике называется кинетической энергией движения материальной точки массой m. А само выражение (7) с точки зрения механики есть закон изменения кинетической энергии м.т. Можно назвать по другому - законом перехода работы внешней силы в кинетическую энергию тела. С другой стороны, он же выражает и закон сохранения энергии, т.е. изменение кинетической энергии ∆К равно работе силы ∆А вдоль траектории движения. Отсюда:

КА = const.

Все логично, и никакого мирового заговора ученых в этих выкладках, надеюсь, никто не видит.

Выводы

Законы Ньютона, строго говоря, справедливы только в инерциальных системах отсчета. Представим на секунду, что Ньютон писал бы свои законы находясь в трюме корабля в шторм. Получилось бы примерно так: любые тела могут самопроизвольно приходить в движение без какого либо внешнего воздействия. Однако, даже для трюма корабля можно пользоваться законами Ньютона, если положить в качестве системы отсчета в данной задаче дно океана.

Из законов Ньютона следует детерминированность и обратимость порядка событий в Природе. Действительно, второй закон Ньютона является дифференциальным уравнением, который имеет только одно решение для определенных начальных условий, и, следовательно, будущее и прошлое предопределены этим состоянием.

Обратимость движения в классической механике определяется конкретным видом силового взаимодействия м.о. Изначально законы классической механики, выраженные в формулах, обратимы. Силы Гука, гравитационного тяготения и кулоновского взаимодействия между м.о. обратимы.

Но существуют и необратимые процессы. Необратимость в классической механике может иметь объективную и субъективную причину. Субъективная причина может быть связана с неполным знанием. Реально, физически, необратимость существует во всех системах, в которых присутствуют диссипативные силы типа силы трения, сопротивления. И эта необратимость имеет статистическую природу, и она проявляется как в начальных данных, так и в самих законах движения, оперирующих статистическими параметрами.

Если хотите узнать, что обозначает слово или словосочетание, в ОПЕРЕ выделите это слово(сочетание), нажмите правую клавишу мыши и выберите "Искать в ...", далее - "Yandex". Если это текстовая ссылка – выделите ее, нажмите правую клавишу мыши, выберите "перейти …". Все! О-ля-ля!

Если вам понравилась статья, то поставьте "лайк" и подпишитесь на канал! Если не понравилась – все равно комментируйте и подписывайтесь. Этим вы поможете каналу.

Ссылка на мою статью Как написать формулы в статье на Дзен?

Мои странички на Дзен: https://zen.yandex.ru/id/5e036c95fc69ab00aecfe6e9