Добавить в корзинуПозвонить
Найти в Дзене
Элементарная Физика

Векторные (силовые) характеристики электрического поля

Электрическое поле – это один из видов существования материи. Оно обладает массой, энергией и заполняет собой пространство.

Электрическое поле характеризуется наличием силы, которая действует на внесенные в это поле электрические заряды.

Векторные (силовые) характеристики электрического поля

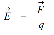
1. Напряженность электрического поля - сила, действующая на единичный положительный заряд:

Размерность: [Е] = Н/Кл.

Сила, действующая на электрический заряд q в электрическом поле напряженностью Е равна:

F = qE

2. Силовые линии электростатического поля – это линии, в каждой точке которых, вектор Е направлен по касательной:

-2

Свойства силовых линий:

1. Густота силовых линий пропорциональна величине напряженности поля Е.

2. Силовые линии не могут пересекаться, иначе в точке пересечения существовало бы два разных направления напряженности электрического поля.

3. Силовые линии электростатического поля не замкнуты. Они выходят нормально (т. е. под прямым углом) с поверхности положительно заряженных тел и входят тоже нормально в поверхность отрицательно заряженных тел, либо уходят в бесконечность.

-3

Если допустить, что силовая линия выходит с поверхности заряженного тела не под прямым углом, то тогда появилась бы тангенциальная составляющая Еτ вектора Е, которая заставила бы двигаться заряды по поверхности проводника, а это противоречит условию электростатики:

-4

Смещение или электрическая индукция

Для характеристики электрического поля удобнее ввести такую величину, значение которой для каждой точки поля определялось бы лишь величиной и расположением электрических зарядов, но не свойствами среды. Такой величиной является вектор электрического смещения или электрической индукции D:

-5

Вектор поляризации Р характеризует процесс образования объемного дипольного электрического момента.

Физический смысл вектора смещения D заключается в том, чтобы показывать, какова была бы напряженность поля при отсутствии диэлектрика (т.е. в пустоте), но при таком расположении зарядов, какое имеется при наличии диэлектрика.

Вектор смещения электростатического поля, создаваемого точечным зарядом q в точке на расстоянии r от заряда, равен

-6

Размерность [D] = Кл/м2.

Спасибо за внимание! Ставьте лайки, подписывайтесь и комментируйте :)