Найти в Дзене
Элементарная Физика

Электростатическое поле равномерно заряженной сферической поверхности

Поле, равномерно заряженной сферической поверхности имеет радиальную симметрию относительно центра О.

Вектор напряжённости поля совпадает со своей радиальной составляющей: ׀E׀ = Eᵣ. Поэтому в качестве гауссовой поверхности удобно брать концентрическую сферу. Определим напряженность Е и потенциал φ в точках вне заряженной сферы.

Проводим соответствующую гауссову поверхность r > R, охватывающую заряженную сферу. Поток вектора напряженности сквозь эту замкнутую поверхность равен

Ф = ∮EᵣdS = ∮E dS = Е4πr²

По теореме Гаусса

Е4πr² = ∑ qᵢ /ε₀ε = σ4π R² /ε₀ε

Отсюда Е = σ R² /ε₀ε r²

Если r = R, т.е. гауссова поверхность совпадает с поверхностью заряженной сферы, то мы получим напряженность в точках на поверхности сферы:

Е = σ/ε₀ε .

Внутри заряженной сферы любая гауссова поверхность при r < R не охватывает заряды. Следовательно, по теореме Гаусса поток вектора напряженности сквозь такую гауссову поверхность равен нулю:

Ф = ∮Eᵣ dS = 0

Отсюда Eᵣ = 0, т.е. внутри заряженной сферы поля нет.

Связь между потенциалом и напряженностью электростатического поля:

Eᵣ = - dφ/dr ,

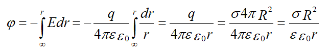
Потенциал поля вне сферы равен

-2

т.е. поле заряженной сферы такое же как поле точечного заряда q, находящегося в центре сферы. Внутри заряженной сферы поля нет, поэтому потенциал внутри сферы такой же, как и на поверхности:

-3

Графики зависимости Е и φ от r показаны выше на рисунке.

Спасибо за внимание! Ставьте лайки, подписывайтесь и комментируйте :)