Добавить в корзинуПозвонить
Найти в Дзене

Расчет 1/12 по отоплению. Правила и формула.

В статье «Почему мы платим за отопление круглый год?» мы с вами разобрали, что в соответствии с п. 42(1) Постановления Правительства РФ от 06.05.2011 N 354 (ред. от 13.07.2019) "О предоставлении коммунальных услуг собственникам и пользователям помещений в многоквартирных домах и жилых домов" , потребитель платит за отопление одним из двух способов: Первый метод расчета понятен и легко контролируется. Сняли показания за расчетный период, передали их в РСО и в следующем месяце получили платежку за переданные показания. В Нижегородской области приняли решение считать тепло по второму методу расчета – равномерно в течение календарного года. Самое частое объяснение, почему этот метод удобнее, это то, что если всю сумму за отопление поделить на 12, то в месяц сумма за отопление будет меньше. Ведь если платить по факту, то зимой мы будем отдавать большие деньги за тепловую энергию. Конечно, таким образом очень хорошо планировать свой бюджет, вы на год вперед знаете, ск

В статье «Почему мы платим за отопление круглый год?» мы с вами разобрали, что в соответствии с п. 42(1) Постановления Правительства РФ от 06.05.2011 N 354 (ред. от 13.07.2019) "О предоставлении коммунальных услуг собственникам и пользователям помещений в многоквартирных домах и жилых домов" , потребитель платит за отопление одним из двух способов:

  • в течение отопительного периода;
  • равномерно в течение календарного года.

Первый метод расчета понятен и легко контролируется. Сняли показания за расчетный период, передали их в РСО и в следующем месяце получили платежку за переданные показания.

В Нижегородской области приняли решение считать тепло по второму методу расчета – равномерно в течение календарного года. Самое частое объяснение, почему этот метод удобнее, это то, что если всю сумму за отопление поделить на 12, то в месяц сумма за отопление будет меньше. Ведь если платить по факту, то зимой мы будем отдавать большие деньги за тепловую энергию. Конечно, таким образом очень хорошо планировать свой бюджет, вы на год вперед знаете, сколько будете отдавать ежемесячно за коммунальные услуги. Но минус в том, что тяжело провести анализ потребления тепловой энергии. Часто для жилого дома становится сюрпризом сумма перерасчета за прошлый год по теплу (формула корректировка по отоплению тут). Про перерасчет расскажу в следующей статье подробнее.

Перед прочтением советуем ознакомиться со словарем, там мы собрали часто используемые термины в сфере теплоснабжения.

Подробнее про метод расчета – равномерно в течение календарного года.

В соответствии с пунктом 42(1) формула расчета платы за отопление определяется исходя из того на сколько оборудован многоквартирный дом приборами учета. Рассмотрим самые распространенные случаи:

  1. Если многоквартирный дом не оборудован приборами учета, то размер платы за коммунальную услугу по отоплению определяется исходя из норматива потребления. Разбирать формулу для этого варианта не буду, но если интересно, то пишите в комментариях.
  2. Если в многоквартирном доме установлен только общедомовый прибор учета тепловой энергии, то плата за коммунальную услугу рассчитывается на основании показаний этого прибора учета.
"коллективный (общедомовый) прибор учета" - средство измерения (совокупность средств измерения и дополнительного оборудования), устанавливаемое в многоквартирном доме при наличии технической возможности и используемое для определения объемов (количества) коммунального ресурса, поданного в многоквартирный дом;

Для расчета используется формула № 3 Приложения 2 к Постановлению № 354

формула 3(6)

-2

где:

Vi - объем (количество) потребленной за расчетный период тепловой энергии, приходящийся на i-е помещение (жилое или нежилое) в многоквартирном доме и определенный по формуле 3(6) Приложения 2 к Постановлению № 354;

Расчетный период для оплаты коммунальных услуг устанавливается равным календарному месяцу. (п. 37)

Si - общая площадь i-го помещения (жилого или нежилого) в многоквартирном доме;

Vд - объем (количество) потребленной за расчетный период в многоквартирном доме тепловой энергии, определенный исходя из среднемесячного объема потребления тепловой энергии на отопление в многоквартирном доме по показаниям коллективного (общедомового) прибора учета тепловой энергии за предыдущий год;

Sоб - общая площадь всех жилых и нежилых помещений в многоквартирном доме;

Tт - тариф (цена) на тепловую энергию.

Sои - общая площадь помещений, входящих в состав общего имущества в многоквартирном доме.

Sинд - общая площадь жилых и нежилых помещений, в которых технической документацией на многоквартирный дом не предусмотрено наличие приборов отопления (или жилых и нежилых помещений, переустройство которых, предусматривающее установку индивидуальных источников тепловой энергии, осуществлено в соответствии с требованиями к переустройству, установленными действующим на момент проведения такого переустройства законодательством РФ);

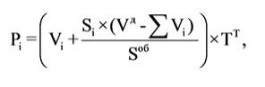
3. Если в многоквартирном доме установлен общедомовый прибор и хотя бы одно, но не все жилые или нежилые помещения оборудованы индивидуальными и (или) общими (квартирными) приборами учета тепловой энергии. В таком случае размер платы будет определяться на основании показаний индивидуального и (или) общего (квартирного) и коллективного (общедомового) приборов учета тепловой энергии.

Для расчета используется формула № 3(1) Приложения 2 к Постановлению № 354

-3

и формула 3(7)

-4

где:

Vi - объем (количество) потребленной за расчетный период тепловой энергии при оплате равномерно в течение календарного года - исходя из среднемесячного объема потребления тепловой энергии на отопление, полученного на основании показаний индивидуального и (или) общего (квартирного) прибора учета за предыдущий год, а в i-м помещении (жилом или нежилом) в многоквартирном доме, не оборудованном индивидуальным и (или) общим (квартирным) приборами учета, - исходя из площади такого помещения по формуле 3(7) );

Si - общая площадь i-го помещения (жилого или нежилого) в многоквартирном доме;

Vд - объем (количество) потребленной за расчетный период в многоквартирном доме тепловой энергии, определенный исходя из среднемесячного объема потребления тепловой энергии на отопление в многоквартирном доме на основании показаний коллективного (общедомового) прибора учета тепловой энергии за предыдущий год;

Sоб - общая площадь всех жилых и нежилых помещений в многоквартирном доме;

Tт - тариф (цена) на тепловую энергию.

Si - общая площадь не оборудованного индивидуальным и (или) общим (квартирным) прибором учета i-го помещения (жилого или нежилого) в многоквартирном доме;

переменные для формулы 3(7)
переменные для формулы 3(7)

Итак, вот 3 самые распространенные ситуации с отоплением в многоквартирном доме.

Особенность расчета в течение календарного года в том, что ты платишь за потребленное количество тепловой энергии в прошлом году. Поэтому, когда наступает следующий год, теплоснабжающая организация проводит корректировку. Т.е. они считают, сколько вы потребили тепловой энергии за прошлый год и сравнивают с тем количеством, за которое вы платили. Полученную разницу вы и получаете в счете корректировки по теплу (подробнее тут).

Эта процедура проводится в I квартале года, следующего за расчетным годом.

Как видите, метод расчета очень запутанный. Но разобраться можно. Главное вести подробный учет показаний тепловой энергии. Это, кстати, один из плюсов иметь обслуживающую организацию. Например мы используем для сбора показаний специальное программное обеспечение, которое позволяет хранить все данные с узла учета на протяжении не то что дней, а лет. Для сравнения прибор (вычислитель) в среднем хранит суточный архив только год (а часовой 2 месяца). А это значит, что если вы ни где не сохраняете отчеты по теплу, то провести расчет по представленным выше формулам у вас не получится.

Если Вам понравилась статья, то поставьте лайк, пожалуйста)

Если Вам интересно разобрать какой-то из представленных материалов более подробно, то пишите в комментариях. И обязательно разберем этот момент более детально.

Спасибо за внимание!