Добавить в корзинуПозвонить
Найти в Дзене

Студентам. Как решать дифференциальные уравнения в системе WolframAlpha

Эта статья не предназначена будущим профессиональным математикам. Но будет полезна будущим экономистам или инженерам. Теория решения дифференциальных уравнений изучается на 1-2 курсах ВУЗов. А задачи, требующие применения полученных знаний, могут возникнуть гораздо позже, например, при изучении курсов, связанных с математическим моделированием, или при выполнении курсовых и дипломных работ. Возникает проблема: как быстро получить нужный результат, не проходя практически заново давно изученный и часто основательно забытый материал? Особенно, если времени для этого катастрофически не хватает. Появление и развитие современных систем вычислительной математики существенно облегчило жизнь студентам: у них появился удобный способ решить данную проблему. Рассмотрим, как решать дифференциальные уравнения с помощью WolframAlpha - облачной версии всемирно известной системы Mathematica. Прежде всего нужно зайти на сайт WolframAlpha.com. Появляется окно, в котором можно ввести любой необходимый

Эта статья не предназначена будущим профессиональным математикам. Но будет полезна будущим экономистам или инженерам.

Теория решения дифференциальных уравнений изучается на 1-2 курсах ВУЗов. А задачи, требующие применения полученных знаний, могут возникнуть гораздо позже, например, при изучении курсов, связанных с математическим моделированием, или при выполнении курсовых и дипломных работ.

Возникает проблема: как быстро получить нужный результат, не проходя практически заново давно изученный и часто основательно забытый материал? Особенно, если времени для этого катастрофически не хватает. Появление и развитие современных систем вычислительной математики существенно облегчило жизнь студентам: у них появился удобный способ решить данную проблему.

Рассмотрим, как решать дифференциальные уравнения с помощью WolframAlpha - облачной версии всемирно известной системы Mathematica.

Прежде всего нужно зайти на сайт WolframAlpha.com. Появляется окно, в котором можно ввести любой необходимый нам пример.

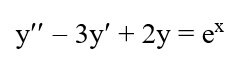
В качестве такого примера рассмотрим следующее дифференциальное уравнение:

-2

Особенность системы в том, что запись максимально приближена к естественной. Например, можно не ставить знаки умножения, если и без них понятна интерпретация выражения. Функция ex записывается, как exp(x).

После ввода уравнения нужно нажать клавишу Enter либо знак равенства, что означает переход к вычислениям. На экране появляются следующие записи.

-3

Ищем ответ в строке, где написано Equation differential solution, то есть «Решение дифференциального уравнения». Поскольку у нас нет начальных (и других) данных, решение должно содержать 2 произвольные константы. Здесь они обозначаются, как С1 и С2.

В платной версии работает кнопка Step by step solution, нажав на которую можно получить запись решения в виде, соответствующем алгоритму теории (так, как это делается на младших курсах). Это решение будет на английском языке, но, в принципе, там достаточно все понятно. В данном случае нам нужен только ответ, который имеет вид:

-4

Теперь предположим, что у нас заданы начальные условия, т.е. мы имеем задачу Коши. Тогда мы должны задать значение функции и значение производной в 0 (или другой начальной точке).

Пусть, в нашем примере

y(0) = 1, y'(1) = 0.

Добавим эти условия в запись задачи и повторим вычисления. Кроме решения уравнения, система покажет схематично, как выглядит его график.

-5

Теперь предположим, что мы хотим построить график более подробно. Тогда используем функцию Plot. Вот как выглядит график при задании конкретного интервала его построения.

-6