Добавить в корзинуПозвонить
Найти в Дзене
Андрей Орлов

Звезда по имени KIC

Не так давно все мировые СМИ гудели от открытия звезды KIC 8462852 и её странного изменения яркости. Эти изменения настолько необычны, что даже появились предположения о проделках инопланетян и строительстве ими вокруг звезды сферы Дайсона, о чём я уже писал в статье "Инопланетяне на сфере Дайсона".
Пока никаких инопланетян не обнаружили, как и других объяснений происходящему, однако интерес к звезде не угасал и учёные решили поднять архивы наблюдений и фотографий звёздного неба за весь доступный период. "Команда исследователей из Университета штата Луизиана решила покопаться в архивах Гарвардской обсерватории. Дело в том, что в конце 19 века обсерватория начала делать фотопластинки всего звездного неба. В период с 1890 по 1989 год было сделано более полумиллиона пластинок — и на полутора тысячах из них оказался запечатлен участок неба, где находится KIC 8462852. Исследоватили исходили из того, что телескоп «Кеплер» зафиксировал изменения яркости звезды, достигавшие 20% — а этого дост

Не так давно все мировые СМИ гудели от открытия звезды KIC 8462852 и её странного изменения яркости. Эти изменения настолько необычны, что даже появились предположения о проделках инопланетян и строительстве ими вокруг звезды сферы Дайсона, о чём я уже писал в статье "Инопланетяне на сфере Дайсона".

Пока никаких инопланетян не обнаружили, как и других объяснений происходящему, однако интерес к звезде не угасал и учёные решили поднять архивы наблюдений и фотографий звёздного неба за весь доступный период.

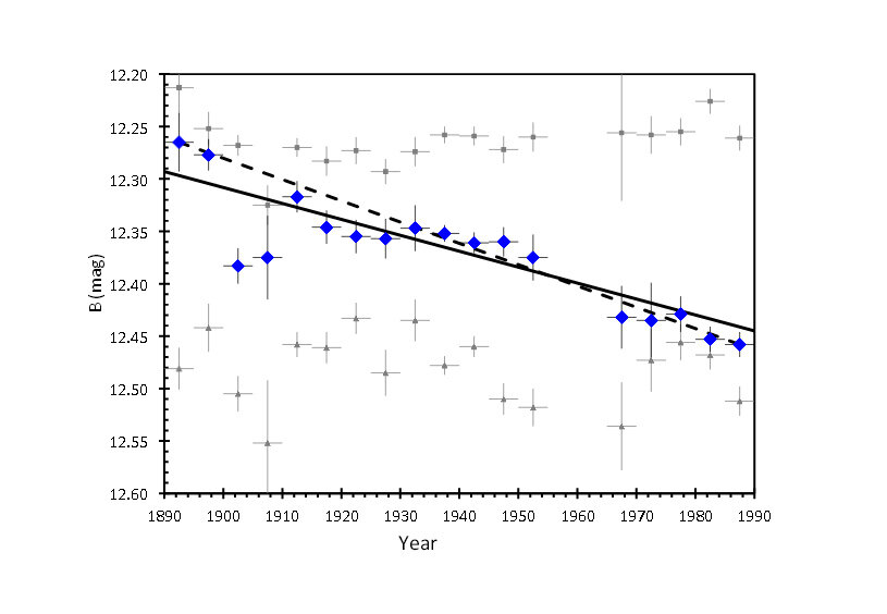
"Команда исследователей из Университета штата Луизиана решила покопаться в архивах Гарвардской обсерватории. Дело в том, что в конце 19 века обсерватория начала делать фотопластинки всего звездного неба. В период с 1890 по 1989 год было сделано более полумиллиона пластинок — и на полутора тысячах из них оказался запечатлен участок неба, где находится KIC 8462852. Исследоватили исходили из того, что телескоп «Кеплер» зафиксировал изменения яркости звезды, достигавшие 20% — а этого достаточно, чтобы обнаружить подобное на фотопластинках.

Так что исследователи погрузились в прошлое и провели анализ фотопластинок. Результат оказался неожиданным. Одномоментного 20% изменения яркости они не нашли, зато открыли другое — за период с 1890 по конец 1980-х годов светило потускнело на 0.193 звездные величины, что беспрецедентно для звезд этого спектрального класса. Изменения яркости были не настолько большими, чтобы обратить на себя внимание, но если построить график, то общая тенденция очевидна."

-2

"Судя по фотопластинкам, были как десятилетия, кода яркость KIC 8462852 не менялась, так и периоды «провалов» вроде 1900 — 1909 года. Конечно, это постепенное вековое потускнение не может сравниться с одномоментным 20% падением яркости, зафиксированным телескопом «Кеплер», но эти события должны быть связаны. Крайне маловероятно, чтобы на одной и той же звезде могли развиваться два не связанных друг с другом уникальных процесса, связанных с изменениями ее светимости."

В общем, статистики набрали, тренд увидели, а объяснений как не было так и нет. А между тем всё достаточно очевидно. Все эти падения а потом увеличения яркости могут быть вызваны остыванием звезды, образованием на её поверхности огромных пятен, вроде солнечных и накоплением в этих местах тяжёлых элементов.

Почему такая версия, мягко говоря, не популярна? Да потому, что современная теория не допускает образования тяжёлых элементов при жизни звезды. Они, якобы, образуются только при вспышке Сверхновой. А между тем, такие же процессы идут и на нашем Солнце. Вот они сидят и чешут репу в поисках других объяснений, а их просто нет. Эта звезда умирает у нас на глазах и я вижу два возможных сценария развития событий:

1. на поверхности звезды образуется корка из тяжёлых элементов, которая будет блокировать выход энергии из центра звезды, температура внутри начнёт повышаться и на каком-то пределе мы увидим взрыв Новой звезды с образованием планетарной туманности;
2. корка станет слишком толстой и внутренней энергии звезды не хватит на то, чтобы её сбросить и тогда она постепенно превратится в практически невидимый коричневый карлик.

Судя по скорости процесса, наши потомки (если мы до этого не поубиваем друг друга) смогут сами пронаблюдать, какой из этих вариантов окажется верным.