Добавить в корзинуПозвонить
Найти в Дзене
EducationTips

EducationTips. ЕГЭ. Математика. Задание 13. Задача 1.

Условие: А. Решите уравнение: Б. Укажите корни этого уравнение, принадлежащие отрезку Данная задача взята из открытого источника http://fipi.ru/ege-i-gve-11/demoversii-specifikacii-kodifikatory. Демоварианты ФИПИ 2018-2020. Решение: А. Отдельно рассмотрим два слагаемых из левой части уравнения. Первое слагаемое распишем по формуле синуса суммы: Второе слагаемое распишем по формуле косинуса двойного угла: Подставим это в исходное уравнение: Приведем подобные: Полученное уравнение образует следующую совокупность: Решим ее. В итоге получаем: Б. С помощью тригонометрической окружности отберем корни, которые принадлежат заданному отрезку. Ответы: А. Б. Читайте также другие статьи посвященные данной тематике. https://zen.yandex.ru/id/5e57a99a23af6e788c224cd8

Условие:

А. Решите уравнение:

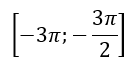
Б. Укажите корни этого уравнение, принадлежащие отрезку

-2
Данная задача взята из открытого источника http://fipi.ru/ege-i-gve-11/demoversii-specifikacii-kodifikatory. Демоварианты ФИПИ 2018-2020.

Решение:

А.

Отдельно рассмотрим два слагаемых из левой части уравнения.

Первое слагаемое распишем по формуле синуса суммы:

Синус суммы
Синус суммы
-4

Второе слагаемое распишем по формуле косинуса двойного угла:

Косинус двойного угла
Косинус двойного угла
-6

Подставим это в исходное уравнение:

-7

Приведем подобные:

-8

Полученное уравнение образует следующую совокупность:

-9

Решим ее.

-10
-11

В итоге получаем:

-12

Б.

С помощью тригонометрической окружности отберем корни, которые принадлежат заданному отрезку.

-13

Ответы:

А.

-14

Б.

-15

Читайте также другие статьи посвященные данной тематике. https://zen.yandex.ru/id/5e57a99a23af6e788c224cd8