Добавить в корзинуПозвонить
Найти в Дзене

Неправда, что белок поднимает инсулин даже больше, чем быстрые углеводы

Меня, честно говоря, достало тиражирование мифов в комментариях о том, что "белок вызывает даже ещё больший инсулиновый отклик, чем быстрые углеводы". Запомните, это чушь собачья!
Некоторые читатели приводят этот аргумент в качестве своего оправдания в поедании сладостей, сахара, фруктов и прочих быстрых углеводов.
То есть эти последователи такой аргументации находятся на том этапе, когда уже
Оглавление

Меня, честно говоря, достало тиражирование мифов в комментариях о том, что "белок вызывает даже ещё больший инсулиновый отклик, чем быстрые углеводы". Запомните, это чушь собачья!

Некоторые читатели приводят этот аргумент в качестве своего оправдания в поедании сладостей, сахара, фруктов и прочих быстрых углеводов.

То есть эти последователи такой аргументации находятся на том этапе, когда уже поняли, что всплеск инсулина вкупе с профицитом калорий приводит к ожирению, а без профицита - к инсулинорезистентности и последующему за ней ожирению и диабету. Но где-то когда-то у кого-то они вычитали, что белок тоже вызывает высокий всплекс инсулина. А значит нет никакого смысла отказываться от быстрых углеводов. Всё вызывает всплекс инсулина. Как здорово! И делать значит ничего не надо! Красота! Можно продолжать жрать тортики и пить сладкий чай с печеньками. Ведь вкусненько же!

Ну, так вот. Получите и распишитесь!

Неправда, что белок поднимает инсулин даже больше, чем быстрые углеводы

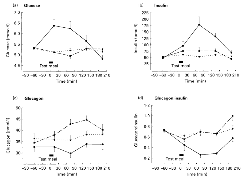
Приведённое исследование, в котором изучалось влияние макронутриентов на когнитивные способности (об этом я напишу статью позже), показало постпрандиальные (т.е. после еды) уровни глюкозы, инсулина и глюкагона на протяжении 210 минут (3,5 часа) после приёма пищи.

На рисунке ниже сплошной линией с круглыми точками обозначена кривая после употребления углеводов.

Пунктирная линия с квадратиками - это белок.

Точечная линия с треугольниками - это жиры.

Испытуемым давали утром натощак либо углеводы, либо белок, либо жиры объемом порции 400 ккал.

В качестве углеводов давали смесь глюкозы, мальтодекстрина, белого риса. То есть самые что ни на есть быстрые углеводы. Средний ГИ около 100 единиц.

В качестве белка давали куриную грудку, молочный белок и яичный белок.

В качестве жиров соевое, пальмовое масло и жирные сливки.

Результаты

По графикам видно, что быстрые углеводы поднимали глюкозу до 6,5 ммоль/литр, в то время как белки и жиры даже до 5,5 не дотягивали.

Инсулин от углеводов подскакивал выше в 2 с лишним раза, чем от белка.

А глюкагон был выше от белка потому, что это контринсулярный гормон, задача которого повышать уровень глюкозы в крови (возвращать в норму). То есть термический эффект белка, о котором я уже писал, приводил и вовсе к понижению глюкозы в крови через 60 минут после приёма пищи, что вызывало подъём глюкагона и возврат кривой глюкозы в норму (смотрите внимательнее графики 1 и 3, левая сторона).

Именно этим эффектом, в том числе, объясняются вещи, описанные вот в этой моей статье, которые говорят о том, что с белка не толстеют.

Ставьте лайк и худейте с умом!

ПОДПИСЫВАЙТЕСЬ, ЧТОБЫ ПОХУДЕТЬ