Найти в Дзене
Валерий Тимин

Простое и расширенное воспроизводство

(Продолжение. Начало в Экономика – это просто. Простое воспроизводство). В этой статье рассмотрен макроэкономический процесс экономического развития общества в более сложном случае – расширенное воспроизводство с примером, с показом динамики процесса на Excel. Перед прочтением этой статьи рекомендую почитать начало в Рабочую таблицу можно скачать График-расширенного-воспроизводства. В ней возможно поиграть с параметрами и увидеть мгновенно изменение графика экономического развития за несколько лет. Копию этой таблицы можно увидеть в Таблица (см. ниже). Описание таблицы расширенного воспроизводства Ниже представлен график экономического развития для одного из сочетаний экономических параметров. Предполагается, что численные финансовые параметры заданы в млн.усл.ед. Начальный уровень производства – 100 млн.усл.ед. Предполагается, что ремонт и замена изношенного оборудования производится из выручки. Также 5 % расходуется на инвестиции – производство (фактически - покупку) новых средс
Оглавление

(Продолжение. Начало в Экономика – это просто. Простое воспроизводство).

В этой статье рассмотрен макроэкономический процесс экономического развития общества в более сложном случае – расширенное воспроизводство с примером, с показом динамики процесса на Excel. Перед прочтением этой статьи рекомендую почитать начало в

Рабочую таблицу можно скачать График-расширенного-воспроизводства. В ней возможно поиграть с параметрами и увидеть мгновенно изменение графика экономического развития за несколько лет. Копию этой таблицы можно увидеть в Таблица (см. ниже).

Описание таблицы расширенного воспроизводства

Ниже представлен график экономического развития для одного из сочетаний экономических параметров. Предполагается, что численные финансовые параметры заданы в млн.усл.ед. Начальный уровень производства – 100 млн.усл.ед. Предполагается, что ремонт и замена изношенного оборудования производится из выручки. Также 5 % расходуется на инвестиции – производство (фактически - покупку) новых средств производства и оплату труда работников "инвестиционного отдела". Предполагается, что размер инвестиций равен сумме установки новых ОС и увеличению производства в следующий же экономический период (год) и далее они автоматически участвуют в производстве без повторных инвестиций (т.е. инвестиции не с долгосрочной окупаемостью). В реальности это не так – инвестиции могут окупаться за несколько лет. Предполагается, что банк не используется и вся зарплата полностью расходуется в текущий период.

Весь этот финансовый результат распределяется между участниками производства: 100% - идет на зарплату всем работникам как основного, так и управленческого звена, вспомогательного и сырьевого производств, сферы услуг и инвестиционного направлений, а также собственникам производства, которая расходуется на покупку товаров потребления и накопление (в банке). 5% инвестиций проявляют себя с запозданием на 1 период дискретизации (предположительно 1 год) производственно-экономического процесса. Зарплата расходуется в текущем периоде, что соответствует малому периоду ее выплат.

Также предполагается, что производство сбалансированное – все, что произведено, потребляется, а в не произведенном нет потребности: всего достаточно. Реально это означает очень хорошо организованное и спланированное производство, что характерно для системы с распределительным характером распределения продуктов потребления. Это может быть в социалистической и предельно – в коммунистической системе с распределением "от каждого по способностям, каждому - по потребностям" и не характерно для капиталистического чисто рыночного производства и распределения товаров по его финансовым возможностям "каждому - по доходам".

График и таблица, показывающая расширенное воспроизводство во времени.
График и таблица, показывающая расширенное воспроизводство во времени.

Для этого случая можно составить точную формулу производства во времени. При постоянных непрерывных инвестициях производственная мощность от времени вычисляется по формуле

P(t) = P₀ * eᴵ*ᵗ,

где P(t) – результат через t лет,
P₀ – начальное значение производственной мощности,
I – доля расходов на инвестиции в производственный процесс.

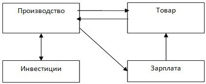
Структура такого процесса может быть следующей:

Структура взаимсвязей экономического процесса простого производства
Структура взаимсвязей экономического процесса простого производства

Как видно из формулы, каких либо причин для кризисов или колебаний в таком экономическом процессе не может быть: формула является экспоненциальной функцией. Колебания и кризисы в такой системе возможны только при вмешательстве в параметры процесса как результат управленческого решения. Но и сам реальный экономический процесс не так прост - в ней гораздо больше параметров, влияющих на результат. Например, численность населения. Жадность собственников. Сезонность потребления. Недостаточность и/или иссякание сырьевых ресурсов. Рыночность экономики - в конце концов. И много-много других факторов.

Опишем каждый столбец графика.

Годы – финансовый год.

Производство – общий объем произведенной продукции всеми участниками производства за период.

Зарплата – выплаченная участникам производства заработная плата (или доходы) на товары потребления. Это 1) основные рабочие, 2) вспомогательные рабочие по модернизации производства, 3) работники по производству сырья для основного производства, 4) управленческий персонал и много других участников производства, в т.ч. сферы услуг.

Размер зарплаты (точнее, дохода) должен соответствовать размеру производства. При меньшей чем общее производство доходе будет чувствоваться перепроизводство, при большей доле дохода будет чувствоваться недопроизводство и недовольство потребителей. И в обоих случаях получаются предпосылки для социального и экономического кризиса.

Инвестиции – объем увеличения основного производства (а не расходов на производство средств производства для расширенного воспроизводства – см. замечание ранее) минус Убытки от износа оборудования. Инвестиции не могут быть в "минусе" и не являются "минусом": для производства это "плюс". Но в зарплате основных рабочих это "минус", а в зарплате работников производства средств производства – это "плюс", и этот плюс реализуется в следующем периоде. Нормальный размер инвестиции с учетом износа до 5% и выше.

Потребление – средства, потраченные в текущем периоде на покупку товаров потребления. Состоит из части заработной платы и банковских накоплений. С учетом накоплений потребление составляет примерно 75% от годового дохода. С увеличением накоплений и их использованием в потреблении со временем потребление не превышает годового дохода.

В банк – доля заработной платы, предназначенная для будущих расходов на приобретение дорогих товаров или платежи по взятым кредитам. В данной работе вся зарплата сразу переносится в банк и суммируется с прежними накоплениями и расходуются общие накопления на потребительские товары. В настоящее время практически вся зарплата сразу перечисляется на банковский счет и все операции производятся через банковские карты.

В банке – это сумма накопленных средств от отчислений от заработной платы минус затрат на текущее приобретение товаров потребления – долгосрочная сумма накоплений. В настоящее время сумма постоянной части накоплений в банке составляет примерно 25% от годового дохода.

Формулы в таблице

Строка параметров производственной политики определяются через некоторые константы. Эти значения выделены желтым цветом.

Нулевая строка таблицы задает некоторое начальное состояние производства. Это начальная мощность, отчисления на инвестицию (в мощность войдут в следующий период), начисления зарплаты работникам, отчисления в банк и ее начальная сумма, потребление.

Годы – текущий год от некоторого начального периода.

Производство ($P) – количество произведенного товара. Инвестиции ($I – объем произведенных вложений в новое оборудование с минусом убытков от вышедшего из строя оборудования. Процент инвестиций (%I) зависит от политики руководства (и собственников) производства.

$I = $P * %I.

Инвестиции оказывают влияние на производство в следующем периоде. Признаком отложенного использования является знак –t на месте индекса при параметре производства

$I = %I * $P(-t).

Формулы в ячейках таблицы учитывают именно этот период.

Зарплата ($Z) – это доход работника за счет произведенных выплат работникам производства за текущий период. Размер зависит от текущей политики выплат руководства производства. Обычно это постоянная часть + процент от результата работы производства. Сами эти параметры могут меняться со временем.

$Z = $О + $P * %Z.

В долгосрочном периоде зарплата выдается в течение текущего периода многократно и примерно равномерно, поэтому она используется для потребления в текущем периоде. Это же относится и к использованию банковского вклада.

Банковский вклад – это отчисления из зарплаты в банк (настоящий или стеклянный - неважно). Разделяется на текущие отчисления и накопленная сумма.

$B = $B(-t) + %B * $Z .

Потребление (T) происходит за счет полученной работником заработной платы, накопленной в банке суммы и банковских кредитов.

$T = %T ( $Z + $B).

Просто хранить деньги в банке бессмысленно – это вывод денег из оборота. Они должны работать. Это возможно за счет 1) начислений процентов на банковский вклад, 2) их использование для текущего потребления, 3) для инвестиций в производство. В данном случае принимаю, что банковский вклад равноправно участвует в процессе приобретения продуктов потребления с тем же процентом, что и Z.

Предыдущая статья: Экономика – это просто. Простое воспроизводство). Продолжение следует.

Если хотите узнать, что обозначает слово или словосочетание, в ОПЕРЕ выделите это слово(сочетание), нажмите правую клавишу мыши и выберите "Искать в ...", далее - "Yandex". Все! О-ля-ля!
Если вам понравилась статья, то поставьте "лайк" и подпишитесь на канал! Этим вы поможете каналу.

Ссылка на мою статью Как написать формулы в статье на Дзен?

Мои странички на Дзен: https://zen.yandex.ru/id/5e036c95fc69ab00aecfe6e9