Добавить в корзинуПозвонить
Найти в Дзене
(Не)Глупый вопрос

Можно ли спастись от выстрелов из автомата под водой, как в кино?

Казалось бы, глупый детский вопрос, но ответ на него достаточно интересный. Итак, представим ситуацию, вы улепётываете от погони, по вам стреляют с пистолетов, ружей, автоматов. Вы замечаете рядом озерцо или речушку мера три глубиной. В голове проносятся воспоминания многих сцен перестрелок из боевиков, и вы делаете предположение, что под водой будет безопаснее и ныряете... Так есть ли вероятность избежать ранений от пуль таким способом? Что интересно, все эти боевики, в которых всё гипертрофировано и вообще мало похоже на реальность, в этом плане оказались очень близки к правде. Давайте разберёмся поподробнее. Плотность Главная причина снижения поражающей способности пули с ростом расстояния до цели – снижение скорости. Даже воздух оказывает значительное сопротивление движению пули. Скорее всего, вы понимаете, что вода гораздо плотнее воздуха и будет оказывать большее сопротивление движению. Посмотрим в цифрах: в европейской части России средняя величина плотности воздуха у земной по
Оглавление

Казалось бы, глупый детский вопрос, но ответ на него достаточно интересный.

Итак, представим ситуацию, вы улепётываете от погони, по вам стреляют с пистолетов, ружей, автоматов. Вы замечаете рядом озерцо или речушку мера три глубиной. В голове проносятся воспоминания многих сцен перестрелок из боевиков, и вы делаете предположение, что под водой будет безопаснее и ныряете...

Так есть ли вероятность избежать ранений от пуль таким способом?

Что интересно, все эти боевики, в которых всё гипертрофировано и вообще мало похоже на реальность, в этом плане оказались очень близки к правде. Давайте разберёмся поподробнее.

Плотность

Главная причина снижения поражающей способности пули с ростом расстояния до цели – снижение скорости. Даже воздух оказывает значительное сопротивление движению пули.

Скорее всего, вы понимаете, что вода гораздо плотнее воздуха и будет оказывать большее сопротивление движению. Посмотрим в цифрах: в европейской части России средняя величина плотности воздуха у земной поверхности равна 1,258 кг/м³, а плотность воды в комфортных для плавания условиях колеблется от 997 до 999 кг/м³. Разница почти в 800 раз.

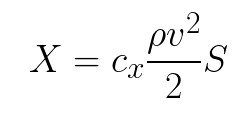
Гидродинамическое сопротивление, оказываемое на тело, описывается формулой:

-2

где ρ — плотность среды, v — скорость, S — характерная для тела площадь, а сх – безразмерный коэффициент, который зависит от формы тела и его положения относительно направления движения.

Поэтому движению пули в воде будет оказываться сопротивление в 800 раз большее, чем при полёте в воздухе. На основании этого можем сделать предположение, что и убойная дистанция сократится примерно в 800 раз.

-3

У самого популярного автомата в мире АК-47 убойная дистанция составляет 1500 метров. Получается в воде с достаточной для поражения скоростью пуля пройдёт не более пары метров.

Угол обстрела

Представить ситуацию, что вас будут обстреливать вертикально сверху довольно трудно, если вы, конечно, не обидели кого-то очень серьёзного и за вами в погоню отправили вертолёт.

Мы уже прикинули, что под водой пуля пройдёт не более пары метров, а если она вошла в воду под углом, то глубина, на которой можно спастись от ранения, будет и того меньше. Но если пуля выпущена под углом менее 30 градусов к поверхности воды, то немалую роль в обеспечении вашей безопасности начинают играть…

…Рикошеты

Когда угол между траекторией полёта снаряда и поверхностью воды будет совсем мал, то пуля легко может отскочить от воды вместо того, чтобы погружаться.

-4

Скорость пули

В уравнении гидродинамического сопротивления присутствует и скорость движения пули относительно среды. Поэтому, чем выше скорость, тем больше сопротивление. И может возникнуть ситуация, что при входе пули в воду сопротивление возрастёт настолько быстро, что возникшие силы просто разорвут пулю на мелкие осколки.

То, что осталось от пули, после выстрела из винтовки в воду
То, что осталось от пули, после выстрела из винтовки в воду

Даже вполне известная передача «Разрушители легенд» (или мифов) провели собственное исследование по этой теме, так сказать, в натуре. Они выяснили, что пули, движущиеся с высокой скоростью, при входе в воду часто просто разлетались на осколки, которые очень быстро замедлялись в воде из-за неправильной формы, что не создаёт серьёзной угрозы тому, кто находится под водой. Даже пара десятков сантиметров воды уже смогут защитить от высокоскоростных снарядов.

Тем не менее, пули, движущиеся на относительно низких скоростях, в основном выдерживали удар об воду и оставались целыми, но вот траектория движения менялась не самым предсказуемым путём.

Стоит сказать, что попасть в подводную цель весьма и весьма непросто. Во-первых, пуля меняет траекторию движения при пересечении границы воздух-вода. Это изменение будет во многом зависеть от угла, под которым пуля входит в воду. А при критически малых углах и вовсе приведёт к рикошетам. Хорошая новость для вас, но плохая для стрелка: угол изменения траектории пули не будет таким же, как угол преломления света. Так что, если стрелок целится прямо в видимое глазу изображение человека под водой, то он скорее всего промахнётся, даже если пуля не рассыплется от удара об воду.

Яркий пример различий хода света под и над водой
Яркий пример различий хода света под и над водой

Во-вторых, чаще всего поверхность воды не бывает абсолютно гладкой и по ней пробегают волны, так что угол входа пуль будет практически случайным, и, таким образом, будет почти невозможно предсказать траекторию движения пуля после входа в воду. Да и цель вряд ли будет неподвижной.

Кто-то может вспомнить про существование пуль для подводной стрельбы.

-7

Но каковы шансы того, что преследователи будут оснащены таким узкоспециализированным оружием? Ещё меньше, чем вероятность погони на вертолёте. Да и на границе воздух-вода поведение таких пуль будет совсем непредсказуемым.

Так что да, вода вполне успешно может помочь укрыться от пулемётного обстрела. Нужно только понять, где под водой брать воздух и как скрыться от злых преследователей.

А если они бросят гранату в догонку? Но об этом в другой раз…