Найти в Дзене
Ivan Gorelik

Скорости в теории относительности. Здесь что-то прячется!

- А знаете ли вы, что спидометр вашего автомобиля меряет физическую величину, пределом которой является не скорость света, а бесконечность? - Вы очередной опровержитель теории Эйнштейна? - Наоборот, я нашел красивейшие соотношения, еще раз доказывающие её справедливость. - Вы же сказали, что автомобиль может ехать с бесконечной скоростью. - Не так! Прочтите еще раз первое предложение. - Что же тогда меряет спидометр, если не скорость? - Я сейчас не буду рассказывать длинную историю о путях получения результатов, а лишь укажу на них. Поворот в пространстве может быть охарактеризован углом, его синусом, тангенсом. При очень малых значениях эти величины становятся равными, если мы пользуемся радианами, а не градусами. Можете проверить это на калькуляторе. Темп движение тела может быть охарактеризован четырьмя видами скорости и при малых значениях, они тоже оказываются равными. Но при релятивистских скоростях они отличаются тем больше, чем больше темп движения. Вот связи между этими вид

- А знаете ли вы, что спидометр вашего автомобиля меряет физическую величину, пределом которой является не скорость света, а бесконечность?

- Вы очередной опровержитель теории Эйнштейна?

- Наоборот, я нашел красивейшие соотношения, еще раз доказывающие её справедливость.

- Вы же сказали, что автомобиль может ехать с бесконечной скоростью.

- Не так! Прочтите еще раз первое предложение.

- Что же тогда меряет спидометр, если не скорость?

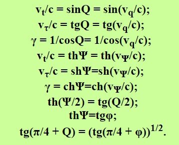
- Я сейчас не буду рассказывать длинную историю о путях получения результатов, а лишь укажу на них. Поворот в пространстве может быть охарактеризован углом, его синусом, тангенсом. При очень малых значениях эти величины становятся равными, если мы пользуемся радианами, а не градусами. Можете проверить это на калькуляторе. Темп движение тела может быть охарактеризован четырьмя видами скорости и при малых значениях, они тоже оказываются равными. Но при релятивистских скоростях они отличаются тем больше, чем больше темп движения.

Вот связи между этими видами скоростей, характеризующих одно и то же движение:

Координатная скорость, v с индексом t.
Собственная скорость, v с индексом tau. Тау - это собственное время.
Гамма - релятивистский множитель.
Быстрота, v с индексом psi. Psi это параметр быстроты.
Квантуемая скорость, v с индексом q. Q - это параметр квантуемой скорости.
Фи - это угол поворота осей подвижной системы координат, относительно неподвижной.

Координатной скорости соответствует оранжевый отрезок v/c, собственной скорости - коричневый отрезок b/c, быстроте - "комплексная длина" зеленой дуги между ними.
Координатной скорости соответствует оранжевый отрезок v/c, собственной скорости - коричневый отрезок b/c, быстроте - "комплексная длина" зеленой дуги между ними.

На следующем рисунке можно увидеть и квантуемую скорость. Это длина дуги окружности.

Движение разбито на десять возможных скоростей. Шестому значению координатной скорости соответствует зеленый отрезок с отметкой v6, квантуемому значению v_q6 соответствует длина дуги от пересечения зеленого отрезка с окружностью вверх. Собственная шестая отмечена v_p6. Быстрота шестая - комплексная длина гиперболы от пересечения вниз.
Движение разбито на десять возможных скоростей. Шестому значению координатной скорости соответствует зеленый отрезок с отметкой v6, квантуемому значению v_q6 соответствует длина дуги от пересечения зеленого отрезка с окружностью вверх. Собственная шестая отмечена v_p6. Быстрота шестая - комплексная длина гиперболы от пересечения вниз.

Я разбил рисунок на 10 возможных скоростей с равным интервалом по квантуемой скорости. Но на самом деле это число порядка корня из числа Дирака с числовым коэффициентом.

То, что меряет спидометр вашего автомобиля, есть собственная скорость. Пределом этой скорости является бесконечность.

- Но превышается ли при этом скорость света? Она ведь конечна!

Да, но часы фотона "стоят".
Его координатная скорость равна 299792458 м/с, и эту величину мы будем именовать просто скоростью света без уточнения координатная, а собственная скорость бесконечна.

Точно также для нашего релятивистского автомобиля пределом координатной скорости является координатная скорость света, то есть 299792458 м/с, а пределом собственной скорости - бесконечность.

Здесь сразу же отпадают всякие бредни со сверхсветовыми тахионами. Действительно, если координатная скорость тахиона больше координатной скорости света, то его собственная скорость будет больше бесконечности. Больше бесконечности ничего не может быть, значит и тахионов нет! НО, читай подпись под рисунком ниже и вникни в смысл рисунка!

Итак, есть четыре вида скорости и два вида времени: t и tau.

Значит возможны восемь видов ускорений!

Оказалось, что, во-первых, некоторые из них попарно равны, во-вторых, между этими ступенечками множитель гамма, и, в-третьих, самая симметричная строка, средняя, не дает мне покоя. Там что-то есть! Очень важное!!!

Набор равноускоренных движений. Третья строка - моя мечта!!!
Набор равноускоренных движений. Третья строка - моя мечта!!!

Для того, чтобы космонавта не раздавило от перегрузок, его ракета межзвездном полете должна испытывать ускорение, записанное в четвертой строке.
Если он будет двигаться согласно пятой строке, то вскоре он начнет испытывать невесомость.
Если он будет двигаться по 1, 2 или 3 строке, то он должен погибнуть от нарастающих перегрузок.

Вторая строка справедлива для электрона, падающего с классического радиуса на "дырявый" положительный заряд пригвозжённый в начале координат. Это движение смотри на рисунке ниже.

Но что это за ускорение в средней строке? Я уже несколько лет думаю над этим вопросом. У меня догадка, что космонавта все же не раздавит по третьей строке... А значит Вселенную можно облететь значительно быстрее. А что вы думаете, граждане студенты и читатели?

Синенький шарик - электрон, совершающий гармонические колебания; красненький - его поле-образ, облетающий всю Вселенную за классическое время электрона!
Синенький шарик - электрон, совершающий гармонические колебания; красненький - его поле-образ, облетающий всю Вселенную за классическое время электрона!

Детали о том, как это всё получено, смотри на моих страницах Некоторые вопросы СТО. Заранее приношу извинения за навязчивую рекламу web-хостера.

PS1:
Если по вашему носу проскользил метровый стержень за одну секунду, то его координатная скорость меньше одной секунды. А то, что вы подумали, 1м/с, есть собственная скорость стержня. Движущийся стержень сокращается. На сколько сместится сокращенный стержень? Предел собственной скорости - бесконечность. Вот иллюстрация:

Меловый нос за секунду начертил белую линию на синем сокращенном метровом стержне. А синий стержень за эту же секунду нацарапал линию на красном покоящемся метровом стержне.
Меловый нос за секунду начертил белую линию на синем сокращенном метровом стержне. А синий стержень за эту же секунду нацарапал линию на красном покоящемся метровом стержне.

Красный метровый стержень покоится. Синий движется - значит сокращен. Делите то расстояние, что проехал синий метровый стержень по красному метровому стержню на одну секунду и получите v = 0,99999999999999999443674972... м/с, что меньше собственной скорости стержня.

Мои статьи в Дзен по физике:
Вращающаяся Вселенная, Большой Взрыв и страстная любовь.
Четырехмерное вращение и кощунственные эксперименты физиков ЦЕРН.
Это лишь кроха из моих блужданий в науке. Больше смотри на сайте:
Космическая Генетика. Запретная физика.