Найти в Дзене
Melvin Инвестиции

Справедливая цена акции. Урок 5. Чистая приведенная стоимость (NPV)

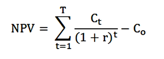
Этот урок имеет две цели обучения: И так, на этом уроке я приведу пояснения концепции чистой приведенной стоимости - ее еще просто обозначают NPV (Net Present Value). Формула выглядит так: Когда я увидел формулу в первый раз, для меня это было потрясением. Я подумал, что никогда не пойму, как найти чистую приведенную стоимость. Во всяком случае, я сначала даже не был полностью уверен, что означает чистая приведенная стоимость вообще. Давайте теперь внимательно посмотрим на формулу, основные обозначения: t - количество периодов С - денежный поток r - ставка дисконтирования Ниже более подробно рассмотрим вычисление этой формулы на примере. Сначала, разберем, что такое чистая стоимость или чистая приведенная стоимость на самом деле. Как мы уже знаем, что справедливая цена акции или внутренняя стоимость акции является дисконтированной стоимостью всех будущих денежных потоков. Другими словами, если вы оцениваете чистую приведенную стоимость акции это и будет расчет внутренней стоимости акц
Оглавление
Изображение Pexels с сайта Pixabay
Изображение Pexels с сайта Pixabay

Этот урок имеет две цели обучения:

  • 1 цель - Какова чистая приведенная стоимость?
  • 2 цель - Как использовать чистую приведенную стоимость для инвестирования в акции.

И так, на этом уроке я приведу пояснения концепции чистой приведенной стоимости - ее еще просто обозначают NPV (Net Present Value). Формула выглядит так:

-2

Когда я увидел формулу в первый раз, для меня это было потрясением. Я подумал, что никогда не пойму, как найти чистую приведенную стоимость. Во всяком случае, я сначала даже не был полностью уверен, что означает чистая приведенная стоимость вообще.

Давайте теперь внимательно посмотрим на формулу, основные обозначения:

t - количество периодов

С - денежный поток

r - ставка дисконтирования

Ниже более подробно рассмотрим вычисление этой формулы на примере.

Сначала, разберем, что такое чистая стоимость или чистая приведенная стоимость на самом деле. Как мы уже знаем, что справедливая цена акции или внутренняя стоимость акции является дисконтированной стоимостью всех будущих денежных потоков. Другими словами, если вы оцениваете чистую приведенную стоимость акции это и будет расчет внутренней стоимости акции.

Я хотел бы показать вам, как рассчитать чистую приведенную стоимость NPV. Для этого примера я сделал некоторые предположения о потоках денежных средств. И так ниже представлена разбивка денежного потока (ДП) по годам за 5 лет (значения от 1 до 5 лет), ставка дисконтирования 8% и расчет приведенной стоимости, а также расчет чистой приведенной стоимости

-3

Например, вы заплатили 50 долларов за одну акцию этой компании (0 - год). Приток денежных средств, который вы видите здесь с первого по пятый год - это свободный денежный поток компании в расчете на одну акцию. Как мы знаем, если вы являетесь акционером (держателем акции), вы будете иметь право не только на свободный денежный поток в течение следующих пяти лет, но и до тех пор, пока вы держите акцию.

Расчет денежного потока

Для того, чтобы рассчитать денежный поток нам необходимо просуммировать количество положительных денежных потоков. Итого у нас получается:

14 + 15 + 16 + 13 + 15 =73$

Дисконтирование денежного потока

Далее нам нужно будет дисконтировать денежные потоки, чтобы рассчитать, сколько они стоят сегодня. Причина, по которой я хотел бы дисконтировать их до сегодняшнего дня, заключается в том, что нам необходимо принять решение в текущий момент - инвестировать или нет в эту конкретную акцию по этой конкретной цене, а также определить является ли акция недооцененной.

В этом примере я выбрал ставку дисконтирования 8%. Выбор ставки дисконтирования 8% является не случайным показателем. Подробней о ставке дисконтирования вы можете прочитать здесь. Величина в 8% ставки дисконтирования говорит нам, что компания является стабильной и прибыльной на рынке.

Теперь нам нужно дисконтировать 73 доллара. И так нам нужно взять денежный поток по каждому году разделить на сложение единицы и процента деленного на 100, возведенного в степень (величина года).

Итого у нас получается:

14/(1+0.08)^1 + 15/(1+0.08)^2 + 16/(1+0.08)^3 + 13/(1+0.08)^4 + 15/ (1+0.08)^5 = 58.29

Для расчета приведенной стоимости в Excel можно использовать функцию ЧПС

=ЧПС(ставка; значение1; [значение2],...)

-4

Если мы дисконтируем эти 73 доллара до сегодняшнего дня, то мы получим стоимость 58 долларов и 29 центов. Другими словами, это то, что стоит сегодня 73 доллара, учитывая инфляцию и конкретный риск для отдельной компании.

Хочу обратить ваше внимание, если мы будем увеличивать ставку дисконтирования, то текущая стоимость будущих поступлений денежных средств будет снижаться. Вот почему вы должны быть готовы платить больше за качественные акции со стабильными денежными потоками. Поскольку можно ожидать, что доход будет стабильным, мы будем дисконтировать их с более низкой ставкой дисконтирования, и стоимость на сегодня будет выше.

Чистая приведенная стоимость (NPV)

Чистая приведенная стоимость (NPV) в нашем примере составляет 8 долларов и 29 центов. Это величина получилась, если приведенную стоимость отнять от отрицательного денежного потока, при покупки акции - фактически это текущая стоимость акции.

Чистая приведенная стоимость (NPV) = 58.29 - 50 = 8.29

Это означает, что если мы купим акции за 50 долларов, и у компании будет приток денежных средств, а ставка дисконтирования будет 8% - то ожидаемая стоимость этих инвестиций на сегодня положительна. Другими словами, вы можете купить эти акции, так как пример был для стабильной компании. Если компания менее стабильная, например другая картина по притоку денежных средств и ставка дисконтирования может быть не 8%, а 11% или даже 17% (учитываем дополнительный риск), то чистая приведенная стоимость могла бы выглядеть не так привлекательно.

Вывод

При положительном значении чистой приведенной стоимости (NPV) считается, что данное вложение является эффективным, при отрицательном значении NPV - вложение является убыточным, при нулевом значении указывает на возможность получения требуемой доходности.