Добавить в корзинуПозвонить
Найти в Дзене
Yujiro

Сравнение затрат на атаку 51% биткоина и эфириума. И правильное понимание безопасности криптовалют

Обычно пользователи и криптоэнтузиасты понимают безопасность криптовалют на основе доказательства работы так, что они считают единственным условием безопасности просто затраты фиатных денег (или электроэнергии) на майнинг блоков и считают биткоин не просто наиболее защищённой криптовалютой, но и самой быстрой из криптовалют, обеспечивающих необратимые транзакции. Я докажу вам, что это не так.

Обычно пользователи и криптоэнтузиасты понимают безопасность криптовалют на основе доказательства работы так, что они считают единственным условием безопасности просто затраты фиатных денег (или электроэнергии) на майнинг блоков и считают биткоин не просто наиболее защищённой криптовалютой, но и самой быстрой из криптовалют, обеспечивающих необратимые транзакции. Даже создают такие глупые рейтинги. Я докажу вам, что это не так.

Криптовалюты на основе доказательства работы (PoW) используют майнинг для защиты от так называемой атаки 51%. Попросту говоря это защита от двойных трат, чтобы те майнеры, у которых есть криптовалюта не могли потратить её два раза, путёт отмены действующих блоков и замены на новые, намайненные в тирахя. На деле, если они смогут это сделать хоть один раз, то не исключено, что они смогут сделать это сколько угодно раз, если у них есть 51% и более от общей хешмощности и тогда работоспособность системы, а возможно и доверие (кстати это не факт) к ней будет подорвано.

Отсюда вы можете видеть, что главное в защите от двойной траты или атаки 51% это не просто общие экономические затраты на майнинг, а именно доля хешрейта крупнейшего майнера в сети, поэтому так важна децентрализация хешрейта сети.

Давайте сравним вероятность атаки двойной траты для Bitcoin и Ethereum как со стороны действующего крупнейшего майнера, так и со стороны неизвестного нового майнера, который попытается потратиться на покупку 51% хешмощности для атаки сети.

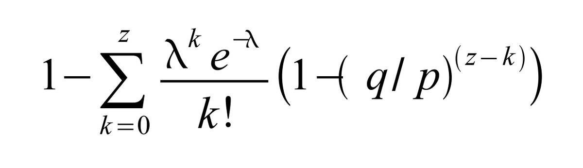
Для этого воспользуемся формулой вероятности догнать честную цепочку атакующим (для атаки двойной траты), взятую из документа Сатоши Накамото из документа по описанию работы Bitcoin (вайтпейпер Биткоина):

Вероятность того, что атакующий при определенной доле хешрейта обгонит честных участников и построит самую длинную (и самую"тяжёлую") цепь
Вероятность того, что атакующий при определенной доле хешрейта обгонит честных участников и построит самую длинную (и самую"тяжёлую") цепь

Для начала давайте рассчитаем время ожидания и количество подтверждений для защиты от отмены добавленных в блокчейн транзакций и попытке двойной траты со стороны крупнейшего действующего майнера (пока еще не имеющего долю 51% в сети):

Для Ethereum (доля хешрейта крупнейшего майнера на данный момент 32,5% )

При ожидании 15 подтверждений за 3,4 минуты ваша транзакция станет необратимой в сети Эфириума, вероятность атаки за 15 блоков 2,7%.
При ожидании 15 подтверждений за 3,4 минуты ваша транзакция станет необратимой в сети Эфириума, вероятность атаки за 15 блоков 2,7%.

Для Bitcoin (доля хешрейта крупнейшего майнера на данный момент 17%)

При ожидании 4 подтверждений через 40 минут ваша транзакция станет необратимой в сети Биткоина, вероятность атаки за 4 блока всего 2,8%.
При ожидании 4 подтверждений через 40 минут ваша транзакция станет необратимой в сети Биткоина, вероятность атаки за 4 блока всего 2,8%.

Теперь давайте посчитаем общие затраты на атаку внешним неизвестным майнером, то есть сколько потребуется денег злоумышленнику, чтобы купить оборудование и захватить 51% хешмощности и атаковать сеть:

Хешрейт криптовалют указан здесь: https://bitinfocharts.com/ru/. Хешрейт эфириума на данный момент (на алгоритме майнинга Ethash) составляет 163.3 терахеш/с, а хешрейт биткоина (алгоритм SHA-256) - 100 эксахеш/с.

Самые выгодное оборудование для майнинга Ethereum и Bitcoin есть здесь.

На данный момент для Ethereum самое выгодное оборудование для майнинга это Innosilicon A10 ETHMaster (500Mh), цена 2676 евро или 2968$

Для Bitcoin самое выгодное оборудование для майнинга это Bitmain

Antminer S17 + (73Th), цена 1819 евро или 2017$

Для Ehereum

В сети эфириума при хешрейте 163 терахеш и цене 5,93$ за мегахеш атака будет стоить 493 млн $ (затраты на оборудование)
В сети эфириума при хешрейте 163 терахеш и цене 5,93$ за мегахеш атака будет стоить 493 млн $ (затраты на оборудование)

Для Bitcoin

В сети биткоина при хешрейте 100 эксахеш и цене 27,63$ за терахеш атака будет стоить 1,409 млрд $ (затраты на оборудование)
В сети биткоина при хешрейте 100 эксахеш и цене 27,63$ за терахеш атака будет стоить 1,409 млрд $ (затраты на оборудование)

Сильно удешевить атаку 51% можно, если крупнейший майнер просто докупит недостающее оборудование.

При докупке оборудования крупнейшим майнером атака будет стоить:

  1. для эфириума нужно докупить 18.5% хешмощности, что срответствует ~179 млн долларов затрат на оборудование;
  2. для биткоина нужно докупить 34% хешмощности, что соответствует ~940 млн долларов затрат на оборудование.

Но самое выгодное это сговор с другими участниками сети для атаки. Не говоря уже о том, что например в биткоине давно ходят слухи, что некоторые пулы на самом деле принадлежат одному участнику, а именно производителю асиков Bitmain. Но в данной статье мы это не будем рассматривать. При том, что защитой от дальнейших атак может быть хардфорк для изменения алгоритма хеширования.

Выводы

  1. Etereum гарантирует полную безопасность денежных переводов при 15 подтверждениях за 3.4 минуты, а также защищает переводы на сумму до 179 млн долларов за 1 транзакцию;
  2. Bitcoin гарантирует полную безопасность денежных переводов при 4 подтверждениях за 40 минут, а также защищает переводы на сумму до 940 млн долларов за 1 транзакцию;
  3. На самом деле переводы могут быть и значительно больше, так как атака злоумышленнику должна принести прибыль и он попробует осуществить двойную трату на большую сумму, чем сумма затрат на атаку;
  4. Данная атака невозможна ни для биткоина, ни для эфириума, если главная цель - это прибыль, так как затраты в 179 млн или 940 млн долларов просто непомерны. На данный момент Bitcoin и Ethereum имеют избыточную защиту сети;
  5. Атака 51% может быть выгодна крупным государствам, желающим подорвать доверие к сети и вероятность данной атаки со стороны государств будет зависеть от числа пользователей данной сети, но это выглядит слишком расточительным для них (~500 млн $ для эфириума и 1,4 млрд $ для биткоина), так как в будущем затраты на майнинг могу вырасти еще сильнее с ростом пользователей. Более вероятно давление на майнеров с целью достижения нужного результата;
  6. При любом общем хэшрейте сети, атака для двойной траты со стороны майнеров зависит только от их доли хешрейта в сети. Гарантированной защитой своей транзакции от отмены при возможной атаке является ожидание минимального количества подтверждений транзакции, на данный момент для Bitcoin 4 подтверждения, что занимает 40 минут, для Ethereum 15 подтверждений за 3.4 минуты;
  7. Переводы в криптовалюте Ethereum являются самыми быстрыми по времени необратимого подтверждения, всего 3,4 мин, что в ~12 раз быстрее, чем переводы через Bitcoin.

Спасибо за внимание🖐, ставьте лайки, делитесь статьёй, читайте другие статьи на канале.