Найти в Дзене
Алена К

Отказ в Шенгенской визе.

Каждый путешественник, неважно начинающий или уже опытный, рано или поздно сталкивается с вопросом получения выездной визы. И как бы часто в последнее время мы не слышали из-за каждого угла, что получить Шенген в наши дни легче легкого, к сожалению, не мало горе-туристов, которые убедились в обратном. Сегодня хочу рассказать вам именно об отказах в визах и их самых распространенных причинах, а так же о возможных способах исправить такую ситуацию. Самые распространенные причины отказов. Остановимся на наиболее известных, но трудно поддающихся расшифровке, размытых формулировках причин отказа:
Пункт 2 Цель и условия предполагаемого пребывания не подтверждены. В частности, это может быть отмена брони авиабилетов или отелей – самый распространенный вариант. Причиной может быть отсутствие доказательств деловых или родственных связей (при бизнес-поездках и частных визитах), несовпадение периода поездки со сроками отпуска, указанными в справке, и масса других причин. Но главное, повторим

Каждый путешественник, неважно начинающий или уже опытный, рано или поздно сталкивается с вопросом получения выездной визы. И как бы часто в последнее время мы не слышали из-за каждого угла, что получить Шенген в наши дни легче легкого, к сожалению, не мало горе-туристов, которые убедились в обратном.

Сегодня хочу рассказать вам именно об отказах в визах и их самых распространенных причинах, а так же о возможных способах исправить такую ситуацию.

Самые распространенные причины отказов.

Остановимся на наиболее известных, но трудно поддающихся расшифровке, размытых формулировках причин отказа:
Пункт 2 Цель и условия предполагаемого пребывания не подтверждены. В частности, это может быть отмена брони авиабилетов или отелей – самый распространенный вариант. Причиной может быть отсутствие доказательств деловых или родственных связей (при бизнес-поездках и частных визитах), несовпадение периода поездки со сроками отпуска, указанными в справке, и масса других причин. Но главное, повторимся, отсутствие или снятие брони.
Пункт 8 Предоставленная информация о цели и условиях предполагаемого пребывания не была достоверной. Данный пункт перекликается с вышеупомянутым. Например, вы заявили, что намереваетесь пробыть в захолустном городишке целый месяц, причем никаких важных дел у вас там не намечается. Или прилетаете в аэропорт, расположенный в полутысяче километров от забронированного отеля – согласитесь, это наводит на неприятные мысли.
Пункт 9 Не представилось возможным подтвердить Ваше намерение покинуть территорию государств-участников до истечения срока действия визы. Связь с родиной подтверждает наличие семьи (не сопровождающей вас в поездке), ценной недвижимости или высокооплачиваемой работы. Обычно прямых доказательств горячей любви к родине от аппликанта не требуется, но в сомнительных случаях их попросят представить. Лучшим доказательством отсутствия иммиграционных намерений является хорошая визовая история: вы часто путешествовали и всегда возвращались домой вовремя и по собственной воле.

Что делать, если в визе отказали?

-3

В данном случае стоит разобраться с причинами негативного решения консульства, ведь отказ отказу рознь. Если заявитель совершил небольшие огрехи по неопытности, нужно их исправить и обратиться в консульство повторно. Подавать исправленные документы можно хоть на следующий день, но консульский сбор придется уплатить повторно. При устранении ошибок можно предсказать благоприятное развитие событий.
Большинство отказов не предполагают бана: аппликанту предоставляют возможность исправиться. Другое дело, что формулировки отказов настолько размыты, что порой туристу своими силами в них и не разобраться. Но поймите, каждая ситуация индивидуальна, и чтобы точно определить причину отказа и найти выход из неприятного положения, нужно рассматривать документы очно. И анализ этот порой занимает ни один час.
Апелляция – это уже шаг посерьезнее. Подача ее возможна при любом отказе, но обычно к этому варианту прибегают в случае отказов, сопровождающихся банами. В этом случае аппликант доказывает либо неправоту консульства, либо поясняет причины, приведшие к этому самому бану. Например, в прошлый раз вы просрочили визу по уважительной причине, например, из-за задержки вылета. Вы это поясняете и прилагаете соответствующую справку, этот факт подтверждающую. Есть шансы, что после рассмотрения апелляции запрет на въезд снимут. Правда, займет это не менее месяца.

А был ли отказ?

И напоследок, поведаю вам удивительную историю о неведомом ранее виде мошенничества.

-4

Не так давно обратился ко мне за советом один из таких пострадавших.
История такова: Пришел Иван Иванович за помощью в оформлении немецкой визы в непроверенное агентство прошлым летом, отдал им паспорт и справки, которые попросили, а через неделю вернулся за визой, но получил только чистый паспорт и невнятные объяснения работника турфирмы, мол, вам отказано.
Удивился Иван Иванович, ведь виза не первая, турист он бывалый, но делать нечего, забрал паспорт и отправился домой.
К концу года запланировал новую поездку, теперь уже в Испанию, собрал все документы и сдал их в визовый отдел на этот раз сам, чтоб уж наверняка.
Вызывают нашего Ивана на собеседование суровые работники Консульства и сообщают, что он вообще-то сейчас находится в Германии по своей немецкой визе, полученной летом. Вот так раз! Неожиданно, правда?
После долгих разбирательств выяснилось, что обратился наш Иван к визовым аферистам, которые оформив для него визу, затем умело отклеили ее и перенесли в паспорт другого человека. Как уж тот пересек границу по чужой визе история умалчивает, да и мы в недоумении, но речь сейчас не о нем.
В итоге мы имеем пострадавшего Ивана, который не может оформить шенген и поехать в столь любимую ему Европу, и его бесчисленные посещения консульских служб, паспортных столов и полицейских участков в надежде найти решение.
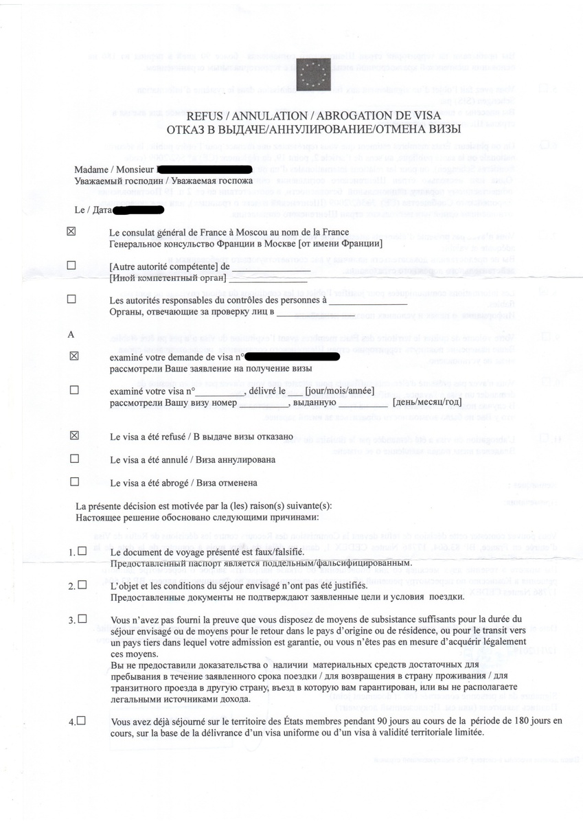
А всему виной желание сэкономить лишнюю «тыщу» и незнание порядка выдачи виз и отказов в них. Ведь если вам отказали по какой-либо причине в "шенгене", то вместе с паспортом из Консульства обязательно отдадут письмо с обоснованием принятого решения. Нет письма и нет визы в паспорте? Требуйте доказательство того, что ваши документы были переданы в Консульскую службу и вернулись обратно без визы, выясняйте причину отказа.

Остались вопросы или у вас есть не менее интересные случаи? Не стесняйтесь, оставляйте комментарии, отвечу всем!

А так же не забывайте подписываться, дальше Вас ждет много полезной информации о визах.