Добавить в корзинуПозвонить
Найти в Дзене

Антимагия. Начало. Правило «фонтанчика».

Мы рассмотрели магическое мышление на разных примерах: начиная с чёрной магии в тригонометрии заканчивая тонкостями изучения таблицы умножения. Теперь настало время поговорить про типовые ситуации в школе, которые ведут к такому восприятию математики. *** Рассмотрим стандартный урок математики, посвященный новой теме. Учитель объясняет у доски некий новый материал. Скорее всего на время объяснения теории вы просто отрубаетесь на 10-15 минут. В этот момент ваш мозг переходит в режим экономии. Это как раз объяснимо: устных экзаменов по теоретическим вопросам в школах обычно нет, поэтому нет внешнего стимула разобраться и понять. Тем более любую новую информацию довольно сложно воспринимать, особенно если у вас нет твердых знаний предыдущих тем. Вы включаетесь лишь тогда, когда учитель говорит готовое правило или разбирает какой-то пример как образец для решения задач. Скорее всего только его вы и будете стараться изучить, потому что по этому образцу придётся решать задачи. Обычно вы по

Мы рассмотрели магическое мышление на разных примерах: начиная с чёрной магии в тригонометрии заканчивая тонкостями изучения таблицы умножения. Теперь настало время поговорить про типовые ситуации в школе, которые ведут к такому восприятию математики.

***

Рассмотрим стандартный урок математики, посвященный новой теме. Учитель объясняет у доски некий новый материал. Скорее всего на время объяснения теории вы просто отрубаетесь на 10-15 минут. В этот момент ваш мозг переходит в режим экономии. Это как раз объяснимо: устных экзаменов по теоретическим вопросам в школах обычно нет, поэтому нет внешнего стимула разобраться и понять. Тем более любую новую информацию довольно сложно воспринимать, особенно если у вас нет твердых знаний предыдущих тем.

Вы включаетесь лишь тогда, когда учитель говорит готовое правило или разбирает какой-то пример как образец для решения задач. Скорее всего только его вы и будете стараться изучить, потому что по этому образцу придётся решать задачи.

Обычно вы понимаете, что это лишь образец и на контрольной будет другая задача, отличная от разобранной. А так как мозг не любит неопределённости, то он придумает какие-то свои закономерности использования этого образца. Иногда для этого достаточно просто подставить в него другие числа. Если после этого ответ не получается, то мозг придумает что-то более сложное. Ведь лучше такие свои псевдоправила, чем неизвестность.

И в конечном счёте с урока вы выносите какой-то свой алгоритм, который может быть даже поможет вам на ближайшей контрольной. Вы вроде узнали новое на занятии, но что-то своё. Так общее понимание математики становится всё более иллюзорным.

Однако, без разбора теории дальше вам будет всё сложнее и сложнее решать задачи. Ваши выдуманные правила будут всё запутаннее или наоборот упростятся до уровня “зачеркнуть одинаковое здесь и здесь”. Вы окончательно оторветесь от школьной математики в свой мирок магических заклинаний и алгоритмов.

Конечно, не у всех учеников всё происходит именно так. Есть те, кто схватывает на лету и кто может прямо на уроке полностью разобраться с новым материалом. Но таких единицы. Есть ещё ученики, которые понимают вред магического мышления и не только выполняют задачи из ДЗ, но ещё и разбирают заданную на дом теорию. Есть и совсем продвинутые ученики, которые хотят понимать теорию, но знают, что обычно плохо воспринимают новый материал на уроке. И для них хороший выход из ситуации — заранее читать учебник и стараться вникнуть в материал сначала дома. А на самом занятии просто уточнять у учителя неясные моменты.

Но эти методы избавления от магического мышления работают только тогда, когда проходится новый материал. Ведь для этого достаточно просто окунуться в текущую новую тему самостоятельно. Для старшеклассников это не подойдёт, так как они уже обычно несколько лет как перестали понимать, что происходит на занятиях.

В таких ситуациях первым шагом должно быть осознание того, что вы действительно не понимаете математики. Что заучивание алгоритмов и попытки угадать заклинание для разных типов задач наносит огромный вред вам и вашей учёбе. Пока вы будете верить в пользу волшебных заклинаний-алгоритмов, вы будете испытывать отвращение к такой математике и к учёбе в целом. Какой в ней смысл, если вы потерялись в самых основах? И даже нанятые репетиторы никак вам не смогут помочь. Если вы ожидаете, что какой-то сторонний человек придёт и за деньги расскажет вам много новых секретных алгоритмов для решения задач с экзамена, вы напрасно тратите деньги.

Вам необходимо осознать, что магические заклинания, которые вы учите без понимания — это костыли, которые мешают вам нормально учиться. Конечно, поначалу они как-то помогают передвигаться. Но вам нужно сперва научиться нормально ходить, даже если это с непривычки тяжело и больно. А научиться бегать (то есть решать задачи для поступления в вузы), оставаясь на костылях, невозможно.

После осознания вреда магического мышления, вам нужно будет разобраться с теми темами, которые вы не понимаете. Можно, конечно, читать школьные учебники, но мало у кого есть для этого упорство и силы. Тем более во многих учебниках темы объясняются довольно запутанно.

Поэтому начиная с этой записи мы будем публиковать цикл статей под общим названием “Антимагия”. В этих статьях мы подробно расскажем про самые распространённые магические темы учеников и попытаемся объяснить, откуда возникли те или иные математические правила. Мы уже писали статью “Почему минус на минус даёт плюс?”. Теперь продолжим начатое.

***

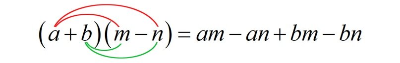
Cегодня у нас небольшая тема. Давайте вкратце разберём известное правило «фонтанчика», которым многие ученики пользуются неосознанно. Речь идёт о перемножении пары многочленов (в каждой скобке обычно сначала по два слагаемых), которое сопровождается вот таким рисунком:

-2

Вспомним откуда оно взялось.

Пусть для простоты нам нужно посчитать следующее произведение:

-3

Если мы будем рассматривать множитель (m — n) как одно число (как одночлен), то получим следующее равенство:

-4

Далее умножая одночлены на многочлены в каждой скобке получаем:

-5

Итого получилась цепочка равенств, которая без промежуточного звена выглядит так:

-6

То есть в итоге мы перемножили каждое слагаемое в первой скобке с каждым слагаемым во второй. А само правило звучит так:

Чтобы умножить многочлен на многочлен, надо умножить каждый член первого многочлена на каждый член второго многочлена и полученные произведения сложить.

Само собой, при умножении членов первого многочлена на члены второго многочлена нужно руководствоваться правилами знаков: одинаковые знаки дают «+», а разные знаки «-».

А чтобы ученики не забывали этого алгоритма, рисуют вот такую схему, которую и называют иногда «фонтанчиком»:

-7

Теоретическое обоснование этого метода небольшое и довольно простое, но если его пропустить, потом проигнорировать и словесное описание данного алгоритма, и в итоге просто запомнить картинку, то тогда может начаться магия. Не сразу, конечно. Двучлены ученик нормально перемножит, ведь картинка показывает реально работающий алгоритм. Но если нужно перемножить например три многочлена, могут возникнуть новые псевдоправила, которые по-разному используют зрительный образ фонтанчика.

Например, часто у учеников можно встретить вот такие магическое варианты развития этого правила для трёх многочленов:

Сначала первое слагаемое перемножили со всеми, потом второе
Сначала первое слагаемое перемножили со всеми, потом второе
Сначала первое слагаемое перемножили со всеми первыми по отдельности, потом второе со всеми вторыми
Сначала первое слагаемое перемножили со всеми первыми по отдельности, потом второе со всеми вторыми
Более экзотический вариант: первые члены перемножаются между собой, потом вторые
Более экзотический вариант: первые члены перемножаются между собой, потом вторые

Все подобные построения — результат непонимания того, откуда взялся это самый фонтанчик и в каких случая он применяется. Здесь видно как серая магия непонятого алгоритма становится более чёрной и школьник сам выдумывает свои дополнительные странные правила.

В конце отметим, что «фонтанчик», да и любые другие подобные методы для вычислений или алгебраических преобразований, сами по себе не являются ни плохими, ни хорошими. Все так или иначе ими пользуются, потому что они помогают решать задачи. Вред возникает тогда, когда эти алгоритмы не подкреплены осознанным знанием, когда нет понимания их происхождения. Это ведёт к бездумному их использованию: получив в руки такой молоток без понятной инструкции к применению, ученику всё вокруг начинает казаться гвоздями.