Найти в Дзене

Почему ученики 11 класса не могут решить текстовую задачу на движение, как научить

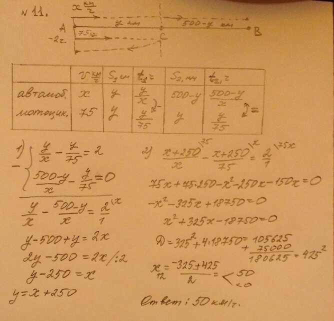
Как решить текстовую задачу, не запутаться, не впасть в ступор. У всех моих учеников были проблемы с задачами. Когда на пробном уроке спрашиваю про пожелания, на первом месте всегда задачи. Какие я сделала выводы, почему дети не могут разобраться с этой темой. Как я учу. Приведу пример задания №11 из профильного ЕГЭ, вызывавший затруднения у всех моих учеников. Несложная задача, на самом деле, ребенок, приученный думать, легко может решить. Задача: "Расстояние между городами А и В равно 500 км. Из города А в город В выехал автомобиль, а через 2 часа следом за ним со скоростью 75 км/ч выехал мотоциклист, догнал автомобиль в городе С и повернул обратно. Когда он вернулся в А, автомобиль прибыл в В. Найдите скорость автомобиля. Ответ дайте в километрах в час."

Как решить текстовую задачу, не запутаться, не впасть в ступор.

У всех моих учеников были проблемы с задачами. Когда на пробном уроке спрашиваю про пожелания, на первом месте всегда задачи.

Какие я сделала выводы, почему дети не могут разобраться с этой темой.

  • Не пишут краткую запись.
  • Иногда некоторые пишут слишком длинную краткую запись с многочисленными стрелками и знаками вопроса, как учили в начальных классах.
  • Не вникают в смысл текста. Проблема больше не математическая, а с умением читать и понимать текст.
  • Пытаются производить какие-нибудь действия с данными из текста.

Как я учу.

  • Сначала прочитать всю задачу.
  • Понять, что надо найти.
  • В 90% задач через х надо обозначить скорость.
  • Иногда удобнее вводить две неизвестные переменные х и у.
  • Прочитать первое предложение и на его основе заполнить первый столбец таблицы.
  • Из условия надо вытащить два столбца, третий столбец надо заполнить исходя из данных в двух имеющихся столбцах.
  • В тексте всегда есть сравнение, его надо использовать для составления уравнения.
  • Если ученик не знает формулы, предлагаю вспомнить, в чем измеряется скорость машины, все дети знают, в км/ч. Учу выводить формулы для расстояния и времени.

Приведу пример задания №11 из профильного ЕГЭ, вызывавший затруднения у всех моих учеников.

Несложная задача, на самом деле, ребенок, приученный думать, легко может решить.

Задача: "Расстояние между городами А и В равно 500 км. Из города А в город В выехал автомобиль, а через 2 часа следом за ним со скоростью 75 км/ч выехал мотоциклист, догнал автомобиль в городе С и повернул обратно. Когда он вернулся в А, автомобиль прибыл в В. Найдите скорость автомобиля. Ответ дайте в километрах в час."

Мое решение
Мое решение