Добавить в корзину
Позвонить
Найти в Дзене
Войти
vvv.55vvv
57 подписчиков
Подписаться
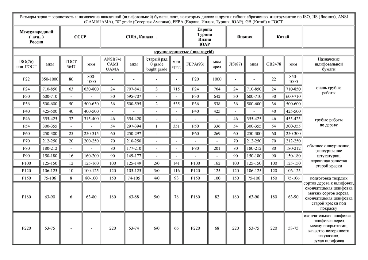
Размер и назначение абразива
30 октября 2019
30 окт 2019
15
...
Читать далее
1
614643549.797.1778134704864.92515