Добавить в корзинуПозвонить
Найти в Дзене
Всё сдам

Правила нахождения производных

Дифференцирование - это процесс нахождения производноц. Функция дифференцируема, если она имеет производную в данной точке.
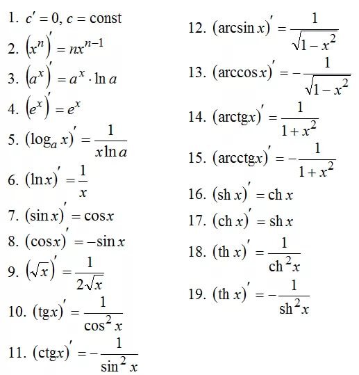
Для нахождения производноц, согласно определению, нужно составить отношение приращения функции и аргумента, а затем вычислить предел при стремящемся к нулю приращении аргумента. Конечно, можно вычислять все производные так, но на практике это слишком долгий путь. Ниже

Дифференцирование - это процесс нахождения производноц. Функция дифференцируема, если она имеет производную в данной точке.

Для нахождения производноц, согласно определению, нужно составить отношение приращения функции и аргумента, а затем вычислить предел при стремящемся к нулю приращении аргумента. Конечно, можно вычислять все производные так, но на практике это слишком долгий путь. Ниже представлена таблица с производными элементарных функций.

Рассмотрим правила вычисления производных, в том числе и производных сложных функций с подробными примерами.

  1. Выносим константу

Константу нужно выносить за знак производной.

Пример. Вычислим производную:

-2

Для начала мы вынесли константу за знак производной, а затем нашли производную косинуса по таблице с производными элементарных функций.

2. Производная суммы функций

Производная суммы двух функций равна сумме производных этих функций. То же самое справедливо и для производной разности функций.

-3

Пример. Найти производную функции

-4

Для начала запишем производную:

-5

Затем найдем поочередно производные и получим ответ:

-6

3. Производная произведения функций

Производная произведения двух дифференцируемых функций вычисляется по формуле:

-7

Пример. Найти производную функции

-8
-9

4. Производная частного двух функций

-10

Пример. Найти производную функции

-11
-12