Найти в Дзене
ЕВРО ЗА РУБЛЬ

ЦИКЛ ТРЕТЬЕГО И ЧЕТВЕРТОГО РАНГОВ

Источник изображения: Яндекс.Картинки
Источник изображения: Яндекс.Картинки
Весь материал, который будет представлен далее, был написан в 2008-2010 годах в качестве дополнения к моей первой книге «Гармонический волновой анализ», последующее переиздание которой, по воле судьбы, не состоялось.

Мы рассмотрели с вами проблему недостающего количества волн в получаемых моделях гармонических циклов, причем, как уже говорилось, эта проблема становится актуальной, начиная с циклов 2 ранга и выше.

Тем не менее, тот подход, который мы будем в дальнейшем использовать, позволяет эту проблему игнорировать. Поэтому, оставим решение этого вопроса всем желающим, и перейдем к изучению цикла третьего ранга. Однако прежде чем мы это сделаем, рассмотрим последовательность формирования общей формулы.

Исходя из предыдущих уравнений циклов нулевого, первого и второго рангов можно определить, что амплитуды гармоник изменяются нелинейно, увеличиваясь, каждый раз в 2 раза: An = 1,2,4…

При этом периоды гармоник возрастают тоже нелинейно, но увеличиваясь при этом каждый раз уже в 4 раза: Tn = 1,4,16…

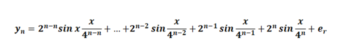
Таким образом, можно записать общую формулу, с помощью которой легко выводятся уравнения гармонического цикла любого ранга:

-2

Соответственно, для гармонического цикла третьего ранга, получаем следующее уравнение:

-3

И уже традиционно, рассмотрим получаемый график этой циклической функции (Рисунок 8.24).

Рисунок 8.24 Синтетический график циклической функции 3 ранга
Рисунок 8.24 Синтетический график циклической функции 3 ранга
Хочу обратить ваше внимание на тот факт, что этот график уже достаточно сильно напоминает реальный ценовой график. При этом во второй части выделена коррекционная волновая модель, которую мы не могли получить в случае гармонического волнового цикла второго ранга.

Тем не менее, здесь эта формация очевидна. Как вы уже догадались, речь идет о модели zXz.

Однако если внимательно проанализировать левую часть графика, то можно заметить, что импульсивная составляющая текущего цикла изменила свою структуру, в результате чего стала трудно узнаваемой.

Итак, мы с вами рассмотрели пример построения модельного графика третьего ранга, и теперь приступаем к заключительному этапу нашего моделирования гармонических волновых циклов – формированию «модельного графика».

Цикл четвертого ранга

Вот мы и подошли к завершающему этапу, который даст возможность получить нам «синтетический модельный график» четвертого ранга (Рисунок 8.25). Его формула будет выглядеть следующим образом:

-5

Если кто-то скажет, что такая степень детализации была не нужна, и вполне реально было бы использовать в качестве «модельного графика» цикл третьего ранга, наверное, я с ним отчасти соглашусь.

Рисунок 8.25 «Модельный график»
Рисунок 8.25 «Модельный график»

Тем не менее, сравнивая между собой полученные графики третьего и четвертого ранга, я, безусловно, отдаю предпочтение старшему порядку, то есть «модельному графику» четвертого ранга.

С другой стороны, если кто-то считает и этот график недостаточно детализированным, общая формула которую мы рассмотрели ранее, дает возможность выстраивать гармонические циклы такой степени детализации, которая необходима.

Итак, как мы уже выяснили, цикл четвертого ранга будет являться тем «модельным графиком», на котором мы остановимся, и который мы будем использовать для того, чтобы изучать совершенно новый раздел – «гармонические циклы».

Ранее, я уже писал о том, что этот раздел появился после того, как в течение длительного времени я не мог решить дилемму относительно того, как наиболее эффективно использовать гармоники с целью прогнозирования на финансовых рынках.

И только затем, спустя некоторое время я решил применить к синтетическому графику подход, построенный на выделении коррекционных волн кругами.

Аналогичный подход, мы осваивали в прошлой книге – «Гармонический волновой анализ», хотя модели там были совершено другие.

Как только, я применил подобный подход, а затем проанализировал полученные результаты, появились новая группа моделей, позволяющих прогнозировать движение цены. Именно эта группа моделей затем и получила название гармонические циклы.

ПРОДОЛЖЕНИЕ

ПРЕДЫДУЩАЯ ЧАСТЬ: ЦИКЛ ВТОРОГО РАНГА. ПРОБЛЕМА НЕДОСТАЮЩЕГО КОЛИЧЕСТВА ВОЛН В ТЕОРИИ ЦИКЛОВ

**************************************

Спасибо, что дочитали до конца. Ставьте лайк, и подписывайтесь на канал, если Вам понравилось! И, конечно, не забывайте оставлять свои комментарии!