Найти в Дзене

Как извлечь квадратный корень из положительного числа, являющегося точным квадратом, без таблиц и калькулятора?

Допустим, что нам необходимо извлечь квадратный корень из некоторого натурального числа, являющегося точным квадратом.
Для решения этой задачи составим таблицу.
Последней цифрой искомого числа могут быть цифры от 1 до 9 или 0. Запишем их в левом столбце таблицы. В правом столбце, напротив каждой из этих цифр, запишем соответствующую последнюю цифру квадрата этого числа.
Заметим, что во втором
Оглавление

Допустим, что нам необходимо извлечь квадратный корень из некоторого натурального числа, являющегося точным квадратом.

Для решения этой задачи составим таблицу.

Последней цифрой искомого числа могут быть цифры от 1 до 9 или 0. Запишем их в левом столбце таблицы. В правом столбце, напротив каждой из этих цифр, запишем соответствующую последнюю цифру квадрата этого числа.

Заметим, что во втором столбце числа расположились симметрично относительно строки с цифрой 5 (отдельно стоит строка с цифрой 0). На рисунке это показано скобками.

Из таблицы понятно, что если натуральное число является полным квадратом, то оно может заканчиваться только цифрами 1; 4; 9; 6; 5 или 0.

Таким образом, очевидно, что

  • если квадрат числа оканчивается цифрой 1, то корень из этого числа может оканчивается цифрами 1 или 9;
  • если квадрат оканчивается цифрой 4, то корень - цифрами 2 или 8;
  • если квадрат оканчивается цифрой 9, то корень - цифрами 3 или 7;
  • если квадрат оканчивается цифрой 6, то корень - цифрами 4 или 6;
  • если квадрат оканчивается цифрой 5, то и корень - цифрой 5;
  • если квадрат оканчивается цифрой 0, то и корень - цифрой 0.

Рассмотрим пример.

Найдем квадратный корень из числа 8281.

Последняя цифра этого числа - 1. Следовательно, искомый корень может оканчиваться цифрами 1 или 9.

Разобьем число 8281 на группы из двух цифр справа навело:

82`81.

Если число цифр нечетное, то последняя группа будет состоять из одной цифры.

Рассмотрим число из левой группы - 82.

Самым близким числом, квадрат которого не превосходит 82, является число 9. Следовательно, первая цифра искомого корня - 9.

Итак, искомый корень - это либо число 91, либо - 99.

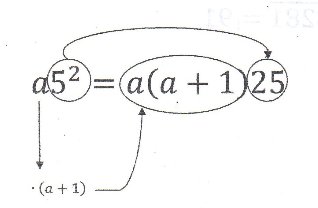
Небольшое отступление. Напомним правило возведения в квадрат числа, оканчивающегося цифрой 5 (смотри рисунок ниже):
Правило возведения в квадрат числа, оканчивающегося цифрой 5.
Правило возведения в квадрат числа, оканчивающегося цифрой 5.

Между числами 91 и 99 находится число 95, которое легко возвести в квадрат выше указанным способом. Получаем

-3

Так как полученное число 9025 больше данного числа 8281, то искомое число - 91.

-4

В тетради решение подобных примеров будут выглядеть примерно так:

-5

Желаю успехов!