Добавить в корзину
Позвонить
Найти в Дзене
Войти
Молодой Гений
1 подписчик
Подписаться
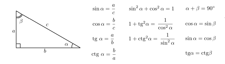
Синус, косинус, тангенс и котангенс: основные формулы!
4 января 2021
4 янв 2021
13
...
Читать далее
1
1342480941.1342.1777402125998.35579