Добавить в корзинуПозвонить
Найти в Дзене
Всё сдам

Неопределенные интегралы

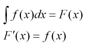
Неопределенным интегралом функции f(x) называется такая функция F(x), производная которой равна функции f(x).
Первообразная существует для всех непрерывных функций. Также к первообразной часто прибавляют знак константы, так как производные функций, различающихся на константу, совпадают. Процесс нахождения интеграла называется интегрированием.
Ниже приведена таблица интегралов
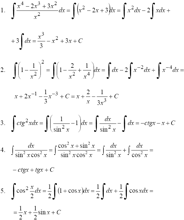
Примеры решения

Неопределенным интегралом функции f(x) называется такая функция F(x), производная которой равна функции f(x).

Первообразная существует для всех непрерывных функций. Также к первообразной часто прибавляют знак константы, так как производные функций, различающихся на константу, совпадают. Процесс нахождения интеграла называется интегрированием.

Ниже приведена таблица интегралов

-2

Свойства неопределенного интеграла

  • Производная от интеграла равна подынтегральной функции:
-3
  • Константу можно выносить из-под знака интеграла:
-4
  • Интеграл от суммы равен сумме интегралов. Верно также для разности:
-5

Примеры решения неопределенных интегралов:

-6