Добавить в корзинуПозвонить
Найти в Дзене
Как ты считаешь?

Какой ещё модуль?!

Чаще всего так и начинается работа с модулем. Предлагаю вспомнить его, а может, для кого-то, и познакомится с ним.
Модуль - расстояние от положения числа на координатной прямой до нуля(начала отсчета)
Модуль числа минус три равен трем. Модуль числа два равно двум.
Если по-простому: модуль делает все числа положительными.

Чаще всего так и начинается работа с модулем. Предлагаю вспомнить его, а может, для кого-то, и познакомится с ним.

Модуль - расстояние от положения числа на координатной прямой до нуля(начала отсчета)
Модуль числа минус три равен трем. Модуль числа два равно двум.
Модуль числа минус три равен трем. Модуль числа два равно двум.

Если по-простому: модуль делает все числа положительными.

То есть, под знаком модуля могут стоять любые числа(положительные и отрицательные), а вот выходя из-под модуля всегда становятся положительными.

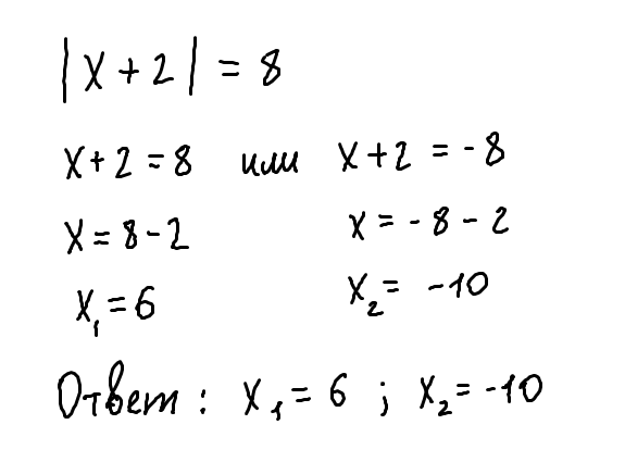
Интереснее дела обстоят с решением уравнений, содержащих знак модуля. Такие уравнения дают, как правило, два пути решения, а значит, мы получаем два ответа.

Уравнение, содержащее модуль.
Уравнение, содержащее модуль.

Зная, что под знаком модуля может стоять как положительное, так и отрицательное число, следовательно из-под знака модуля число восесь выходит двумя способами(восемь и минус восемь).

Всем успехов!