Добавить в корзинуПозвонить
Найти в Дзене
На краю науки

Новый бензин АИ-130

К 2024 году в России планируется переход большинства транспортных средств на новое высокооктановое топливо АИ-130. Группа ученых из Московского института энергетики и углеводородов провела исследование эффективности сгорания топлива. По результатам работы выяснилось, что сейчас энергия из топлива получается не самым оптимальным образом. Все дело в том, что эффективность сгорания топлива зависит от октанового числа. Сейчас в России самый популярный 92-й бензин, в Европе и США: 98-й. Чем выше октановое число, тем эффективнее будет горение. Это прямо видно из формулы расчета КПД цикла Отто для поршневого двигателя: Ученые утверждают, что переход на более высокое октановое число необходим, так как это позволит избежать возможного топливного кризиса. План работ Была сформирована рабочая группа и разработана дорожная карта, согласно которой до 2024 года все заправочные станции России будут поставлять новый 130-й бензин. Согласно оценкам ученых, это позволит экономить до 10% всей добываемой в

К 2024 году в России планируется переход большинства транспортных средств на новое высокооктановое топливо АИ-130.

Так будет выглядеть заправочная колонка с новым топливом
Так будет выглядеть заправочная колонка с новым топливом

Группа ученых из Московского института энергетики и углеводородов провела исследование эффективности сгорания топлива. По результатам работы выяснилось, что сейчас энергия из топлива получается не самым оптимальным образом.

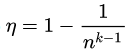
Все дело в том, что эффективность сгорания топлива зависит от октанового числа. Сейчас в России самый популярный 92-й бензин, в Европе и США: 98-й. Чем выше октановое число, тем эффективнее будет горение. Это прямо видно из формулы расчета КПД цикла Отто для поршневого двигателя:

k — показатель адиабаты, зависящий от октанового числа
k — показатель адиабаты, зависящий от октанового числа

Ученые утверждают, что переход на более высокое октановое число необходим, так как это позволит избежать возможного топливного кризиса.

Зависимость эффективности сгорания топлива от октанового числа для среднего автомобиля
Зависимость эффективности сгорания топлива от октанового числа для среднего автомобиля

План работ

Была сформирована рабочая группа и разработана дорожная карта, согласно которой до 2024 года все заправочные станции России будут поставлять новый 130-й бензин. Согласно оценкам ученых, это позволит экономить до 10% всей добываемой в России нефти.

Руководитель рабочей группы Александр Викторович Топляков
Руководитель рабочей группы Александр Викторович Топляков

Руководитель рабочей группы "Новое топливо" Александр Викторович Топляков прокомментировал ситуацию так:

Октановые числа в 92, 95 и 98 были выбраны из-за несовершенства производства, однако сейчас технологии шагнули далеко вперед. Всё вокруг развивается и растет: скорость интернета, частота процессоров, даже частота электросети! Почему тогда бензин такой же, как и 10 лет назад?

Представители рабочей группы указывают, что пока в других странах пытаются внедрять бесперспективные электромоблили, Россия полностью перейдёт на новое прорывное топливо.