Добавить в корзинуПозвонить
Найти в Дзене

Досье: ТЕСТОСТЕРОН часть 1. Влияние на физиологию

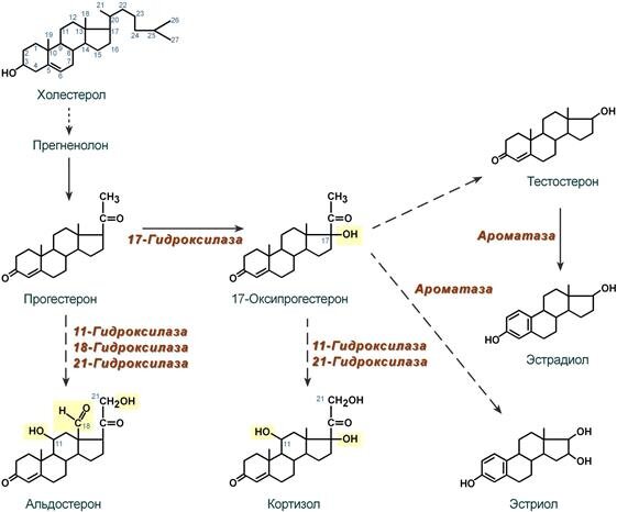
Тестостерон — гормон, секретирующийся из холестерола (холестерина), обладающий определённым спектром функций. Его влияние, в той или иной мере, распространяется на все системы человеческого организма. Под действием тестостерона, претерпевает изменения не только физиология, но и психология человека. Тестостерон — биохимическое вещество, молекула, которая делает из мужчины — мужчину. Гормон тестостерон входит в класс так называемых «андрогенов» — «мужских» половых гормонов, наряду с дигидротестостероном, ДГЭА (дигидроэпиандростероном), андростендионом, андростероном, и другими. Тестостерон является «главным» (центральным) андрогеном. Андрогены называются «мужскими» гормонами не потому, что они вырабатываются в рамках только лишь мужского тела. Это заблуждение. Андрогены вырабатываются и женским телом (яичниками и надпочечниками), однако объем выработки андрогенов, в частности, тестостерона, у средней женщины минимум в 15 раз меньше, чем у мужчины. Порой разница в объеме выработки акти
Оглавление

  • Общие положения о тестостероне

Тестостерон — гормон, секретирующийся из холестерола (холестерина), обладающий определённым спектром функций. Его влияние, в той или иной мере, распространяется на все системы человеческого организма. Под действием тестостерона, претерпевает изменения не только физиология, но и психология человека.

Так выглядит молекула тестостерона. Фото взято из открытых источников.
Так выглядит молекула тестостерона. Фото взято из открытых источников.
Тестостерон — биохимическое вещество, молекула, которая делает из мужчины — мужчину.

Гормон тестостерон входит в класс так называемых «андрогенов» — «мужских» половых гормонов, наряду с дигидротестостероном, ДГЭА (дигидроэпиандростероном), андростендионом, андростероном, и другими.

 Фото взято из открытых источников.
Фото взято из открытых источников.

Тестостерон является «главным» (центральным) андрогеном.

Андрогены называются «мужскими» гормонами не потому, что они вырабатываются в рамках только лишь мужского тела. Это заблуждение.

Андрогены вырабатываются и женским телом (яичниками и надпочечниками), однако объем выработки андрогенов, в частности, тестостерона, у средней женщины минимум в 15 раз меньше, чем у мужчины. Порой разница в объеме выработки активного (свободного, несвязанного глобулином) тестостерона между мужчиной и женщиной может достигать 100-кратного значения.

Вторая причина, почему андрогены (в т.ч. тестостерон) называются «мужскими» гормонами, так это потому, что их действие способствует развитию тех качеств и признаков, которые принято называть «мужскими».

Речь идёт не столько о первичных и вторичных половых признаках (очевидно, что наличие члена и бороды присуще только мужчине), сколько о свойствах психоэмоционального фона человека, о его характере, поведении, реакциях на те или иные раздражители, и так далее.

 Фото взято из открытых источников.
Фото взято из открытых источников.

1.1.Этимология слова:

Слово «тестостерон» происходит от лат. «Testiculus» = «мужское яичко».

1.2.Ярлыки, которыми наделяют тестостерон:

Каждому гормону люди присваивают некие «ярлыки», которыми в двух словах пытаются описать действие биохимического вещества. Скажем, серотонин и дофамин принято называть — «гормонами счастья», а кортизол — «гормоном стресса».

Разумеется, подобные ярлыки совсем не отображают сути действия гормона и более того, искажают её. У тестостерона тоже есть свой набор ярлыков, среди которых: «гормон секса», «гормон королей», «гормон агрессии», «мужской гормон», «гормон лидера» и многое другое.

Каждый из подобных стереотипов проливает свет на какую-то малую часть действия гормона, но не даёт полномерной картины.

Если уж и выбирать среди всех ярлыков, которые можно присвоить это мускулиному андрогену, то пусть это будет «гормон брутальности».

Брутальности как внешней, так и внутренней. Не показушной, а прикладной, практической.

1.3.Выработка тестостерона, локация:

Непосредственно выработка, «рождение» тестостерона (90-95%) происходит в мужских яичках. Оставшиеся 5-10% от всей массы секретируемого тестостерона вырабатывают надпочечники и предстательная железа (простата).

Именно отсюда появляется «народная» дифференциация мужчин на тех, что «со стальными яйцами», и на тех, кто их не имеет вовсе. Те, кто «имеют яйца» демонстрируют другие поведенческие алгоритмы — они более склонны к риску, преодолению страха. Эта способность обеспечивается высоким уровнем тестостерона. В свою очередь, факт прохождения сквозь страх на практике, является одним из сильнейших триггеров выработки тестостерона (преодолел страх = выработка тестостерона усилилась = внутренний ранг повысился).

1.4.Дуга «ГГЯ» (Гипоталамус-Гипофиз-Яички)

Хотя конечной локацией выработки тестостерона являются мужские яйца, всё же, полная схема выработки этого андрогена несколько иная.

Тестостерон вырабатывается в рамках, так называемой дуги «Гипоталамус-гипофиз-Яички».

Гипоталамус, вырабатывая вещество под названием «гонадотропин» (гонадолиберин) отдаёт команду гипофизу на выработку ЛГ (лютеинизирующего гормона) и ФСГ (фолликулостимулирующего гормона). Два этих гормона, после их выработки гипофизом, следуют по кровеносной системе к яичкам, а именно к клеткам Лейдига и клеткам Сертоли, которые в этих самых яичках и располагаются.

Лютеинизирующий гормон взаимодействует с клетками Лейдига, следствием этого взаимодействия является выработка тестостерона.

Фолликулостимулирующий же гормон взаимодействует с клетками Сертоли, результатом этого взаимодействия является, прежде всего, синтез новых сперматозоидов (образование спермы).

Таким образом, и ЛГ и ФСГ являются важными для секреции тестостерона, однако, именно ЛГ имеет для этого процесса наибольшее значение. ФСГ же, по большей части, завязано на обеспечении способности к оплодотворению.

Главным же органом для выработки тестостерона является МОЗГ.

Дуга «ГГЯ»  Фото взято из открытых источников.
Дуга «ГГЯ» Фото взято из открытых источников.

22. Физиологическое воздействие тестостерона

Как я уже сказал, тестостерон активно влияет на обе составляющие человека: на его физиологию и на его психологию. Начнём с того, что попроще и попонятнее — с физиологии.

2.1. Тестостерон и первичный половой признак (член и либидо + потенция).

Тестостерон отвечает за выраженность первичных и вторичных половых признаков.

Первичный мужской половой признак — это хуй половой орган. Его размер, а так же качество интенсивность функционирования, напрямую зависит от количества андрогенов в крови — тестостерона и дигидротестостерона. Размер ПЧ закладывается в пубертатном (подростковом) периоде, он во многом зависит от количества тестостерона, который юноша удерживает во время пубертатного периода.

Генетический фактор в вопросе генитальных габаритов так же играет роль, но не первичную.

Хорошая новость для тех, кто всю юность прожил в «пролактиновом» состоянии: если уже во взрослом возрасте вам удастся выйти на состояние максимального уровня тестостерона в крови (естесственным путём) и удерживать его длительное время (2 года минимум), то большую часть того, что вы «недополучили» в юношестве, вы дополучите уже будучи зрелым и сформированным мужчиной.

Тестостерон влияет не только на габариты ПЧ, но и на его функционирование.

Габариты ПЧ, во многом, закладываются во время пубертатного периода, и зависят они, по большей части, от того, насколько высокий уровень андрогенов удерживает юноша на протяжение всего пубертата.  Фото взято из открытых источников.
Габариты ПЧ, во многом, закладываются во время пубертатного периода, и зависят они, по большей части, от того, насколько высокий уровень андрогенов удерживает юноша на протяжение всего пубертата. Фото взято из открытых источников.

Тестостерон является главным либидо-формирующим гормоном у мужчины. Во многом, именно от объема выработки этого андрогена зависит амплитуда сексуального желания мужчины, мощность потенции (её «полнота» (то, как сильно член наполняется кровью при возбуждении), продолжительность), частота возникновения спонтанных, утренних и ночных эрекций, а так же, в некоторой степени, острота ощущений в сексе и яркость оргазма.

То есть, за такой базовой эмоцией как «похоть» стоит именно тестостерон. Чем более высокий уровень гормона удерживается, тем сильнее амплитуда возникающей у мужчины похоти.

Каждый из вас может вспомнить пубертатный период гиперсексуальности, когда тебе хочется тр@х@ть всё что шевелиться, и шевелить всё, что не шевелиться. Подобное состояние возможно удерживать на протяжение всей жизни, если удерживать высокий уровень андрогенов в крови. Разумеется, сексуальность будет становится менее инфантильной, но сама амплитуда будет сохраняться.

Тестостерон определяет сексуальную конституцию и кондицию мужчины.  Фото взято из открытых источников.
Тестостерон определяет сексуальную конституцию и кондицию мужчины. Фото взято из открытых источников.

Важно сказать, что количество андрогенов — далеко не единственный фактор, определяющий сексуальную конституцию и кондицию мужчины. Более того — он не главный.

Главным является образ мышления мужчины, его убеждения касаемо самого себя и женщин, убеждения касаемо секса, наличие/отсутствие ограничивающих факторов внутри психики, и многое другое.

Тестостерон же (и гормоны в целом, не только андрогены) — всего лишь «топливо» с физиологической точки зрения. Они будут оказывать сильное влияние тогда, когда ничего (например, со стороны мыслей) этому не мешает.

Тестостерон так же является основным звеном для генерирования яичками качественной спермы со здоровыми подвижными сперматозоидами. То есть, тестостерон напрямую влияет на «плодовитость» мужчины и крепкое здоровье потомков.

Так же тестостерон определяет объём (размер) и плотность яичек.

2.2 Тестостерон и вторичные половые признаки.

Далее, количество тестостерона определяет степень выраженности вторичных половых признаков мужчины. О каждом из них — по порядку.

2.3. Тестостерон и оволосение по мужскому типу.

Борода, рост волос на груди, рост волос в лобковой области по мужскому типу — все эти процессы регулируются действием андрогенов.

Не только количество тестостерона определяет то, насколько роскошной будет борода мужчины и как рано она сформируется. Имеет значение и генетический фактор, в том числе, расположение рецепторов к андрогенам по телу.

Ведь сам по себе гормон, «плавающий» по крови не оказывает никакого действия. Он начинает его оказывать тогда, когда присоединяется к рецептору в клетке-мишени.

У кого-то рецепторы сконцентрированы, по большей части, в области мышц, у кого-то в области бороды, у кого-то в области полового органа, у кого-то в мозге. Это не создаёт разительной разницы в функционировании и развитии организма, но тем не менее, она присутствует.

Тестостерон определяет интенсивность и зональность оволосения мужчины.  Фото взято из открытых источников.
Тестостерон определяет интенсивность и зональность оволосения мужчины. Фото взято из открытых источников.

2.4. Тестостерон и развитие скелета.

Тестостерон и другие андрогены оказывают непосредственное влияние на развитие скелета мужчины, вернее, на выраженность его развития по мужскому типу.

«Мужской» скелет — это широкие плечи, широкая грудная клетка, узкий таз, мощные прочные кости (т.е. тестостерон регулирует рост костей в толщину).

Тестостерон регулирует рост и развитие скелета (костей).  Фото взято из открытых источников.
Тестостерон регулирует рост и развитие скелета (костей). Фото взято из открытых источников.

2.5. Тестостерон и физическое сложение (мышцы, жир, сила, выносливость и т.д.)

О влиянии андрогенов на рост мышечной массы, кажется, известно всем.

Под воздействием тестостерона мышечная масса растёт в своём объеме, становится более «зрелой», жесткой, наполненной.

Меняется не только внешний вид, но и функциональные характеристики человека: растёт физическая сила, выносливость.

Высокий уровень тестостерона = идеальное условие для физического развития.

Максимально быстрое восстановление мышечной и нервной системы, максимальный отклик мышц на нагрузку, пик физических возможностей в плане силы и выносливости — всё это возможно только на фоне высокого уровня андрогенов, в т.ч. главного из них — тестостерона.

Именно поэтому 80% допинга на рынке спортивной фармакологии = тестостерон и его аналоги.

Андрогены регулируют физическое развитие человека  Фото взято из открытых источников.
Андрогены регулируют физическое развитие человека Фото взято из открытых источников.

Что важно, повышение и удержание уровня тестостерона, само по себе способно приводить к росту физических способностей человека, даже без сопровождения специальной физической нагрузкой.

Скажем, рост мышечной массы у подростков в пубертатный период, происходит именно по этой причине. Даже если подросток не прибегает к физическому труду вроде занятий в тренажерном зале, или спортивной борьбе, его мышечная масса всё равно растёт и становится более выраженной. До определенного уровня, разумеется. Дальнейшее развитие возможно лишь на фоне физической нагрузки.

ССуществует так же одно достаточно популярное исследование, которое было сделано за океаном. В нём участники были разделены на 4 группы:

1-ая группа: участники НЕ тренировались и НЕ употребляли тестостерон дополнительно.

2-ая группа: участники тренировались и НЕ употребляли тестостерон дополнительно.

3-ая группа: участники употребляли тестостерон дополнительно и НЕ тренировались.

4-ая группа: участники тренировались и употребляли тестостерон дополнительно.

Эксперимент длился 10 недель. По итогам:

1-ая группа никак не поменялась в параметрах мышечной массы.

2-ая группа добилась прибавки в 2 кг мышечной массы.

3-ая группа добилась прибавки в 3.2 кг мышечной массы (БЕЗ тренировок, только на фоне существенного скачка уровня Т.)

4-ая группа добилась прибавки в 6-7 кг мышечной массы.

Это поразительные результаты! Описанный пример ни в коем случае не должен стимулировать вас на приём экзогенного тестостерона! Задача — продемонстрировать силу влияния главного андрогена на физическое развитие.

Помимо всего прочего, тестостерон — самый эффективный натуральный жиросжигатель. Именно этим, к слову, обусловлена и разница в % жира между мужчиной и женщиной. Если для мужчины нормой в плане содержания подкожного жира является 10-12% жира, то для женщины 18-20%. Низкий уровень тестостерона у женщины не позволяет ей снижать жировую прослойку так же быстро, как это получается у мужчин. Оно и не нужно — это может быть деструктивно для женского здоровья.

Высокий уровень тестостерона — главное условие для эффективного липолиза (»жиросжигания»).

2.6. Тестостерон и голос.

Снижение тембра голоса мужчины и его «огрубение» так же происходит за счёт воздействия тестостерона. Под действием андрогенов голосовые связки становятся толще, это приводит к необратимым изменения в плане голоса. Так же, высокий уровень тестостерона (обеспечиваемый «правильным» образом мышления и образом жизни, наделяет человека мощный внутренним состоянием, что может изменять его уже сформированный голос до неузнаваемости.

В качестве примера второго феномена, могу привести своего подопечного, с которым мы знатно подрихтовали его гормональный фон, увеличив выработку собственного тестостерона в несколько раз, попутно снизив уровень пролактина и кортизола, также была снижена острота адреналиновых реакций в ответ на стрессовые ситуации.

Это «пролактиновый» Евгений:

https://vk.com/video384050468_456239306

А это «тестостероновый» Евгений.

https://vk.com/video384050468_456239307

Разница между ними — ровно 1 месяц, не более того.

2.7. Тестостерон и боль.

Чем выше тестостерон, тем выше болевой порог, тем легче переносить боль.

Причём, боль любую — как физическую, так и эмоциональную. Впрочем, восприятие физической боли зависит, в первую очередь, от психологии человека.

2.8. Тестостерон и интеллект, когнитивные способности.

Тестостерон имеешь широкий спектр влияния на интеллектуальные и когнитивные способности мужчины.

Задача тестостерона — наделять человека качествами, необходимыми для того, чтобы двигать цивилизацию вперёд, а одних лишь физических способностей для этого мало. Тестостерон благоприятно влияет на интеллект мужчины, ускоряя его развитие.

К слову, интеллект в данном контексте = способность решать задачи. Прежде всего, задачи жизненного плана, в которых не всегда заранее известны её условия и переменные. В том числе задачи, с типом которых ты ранее не взаимодействовал, которые для тебя в новинку.

Объём знаний не является показателем интеллекта, показателем интеллекта является способность прикладывать эти знания к актуальным задачам.

Тестостерон помогает делать это более эффективно.

Тестостерон оказывает ускорение не только в физическом развитии, но и в интеллектуальном.  Фото взято из открытых источников.
Тестостерон оказывает ускорение не только в физическом развитии, но и в интеллектуальном. Фото взято из открытых источников.

Возможно, некоторых этот факт может несколько удивлять, за счёт устоявшегося образа «тупого качка», который обладает явным дисбалансом между физической и интеллектуальной составляющей личности, однако, это всего лишь стереотип, не имеющий ничего общего с действительностью.

Тестостерон — это усилитель. Он создаёт оптимальные условия для развития либо физической, либо интеллектуальной среды, в зависимости от того, чего требуют условия окружающего мира, и от того, на что будет направлять своё внимание носитель тестостерона.

Будет напрягать мозг — тестостерон будет в бОльшей степени взаимодействовать с андрогенными рецепторами в мозге, будут улучшаться когнитивные способности. Будет напрягать мышцы — тестостерон будет в бОльшей степени взаимодействовать с андрогенными рецепторами в мышечных клетках. Будет напрягать и мозг и мышцы — тестостерон будет равномерно распределяться, обеспечивая гармоничное развитие личности.

Также весьма значимое влияние тестостерон оказывает на способность ориентироваться в окружающем пространстве.

Именно по этой причине мужчины являются более искусными водителями транспортных средств, чем женщины. Именно из-за своего мизерного тестостерона женщины (не все, лишь те, кто является носительницей невысокого уровня Т.) испытывают проблемы с паркингом автомобиля и ориентированием на дороге, в принципе.

Худшая, чем у мужчин, способность женщин водить транспортное средство и ориентироваться на дороге, объясняется низким уровнем андрогенов (в т.ч. тестостерона), одной из прямых функций которых является пространственное ориентирование.  Фото взято из открытых источников.
Худшая, чем у мужчин, способность женщин водить транспортное средство и ориентироваться на дороге, объясняется низким уровнем андрогенов (в т.ч. тестостерона), одной из прямых функций которых является пространственное ориентирование. Фото взято из открытых источников.

2.9. Тестостерон и энергия

Будет профанацией просто сказать, что «тестостерон повышает энергетику мужчины».

Это очевидный факт, более того, у этого явления есть множество механизмов для реализации. Некоторые их них я укажу в блоке «взаимодействие тестостерона с другими гормонами».

Тестостерон — некий «мужской гормон счастья». Не потому, что само по себе наличие гормона в крови и его взаимодействие с рецепторами вызывает какие-то существенные изменения в эмоциональном статусе мужчины, сколько потому, что на выработке тестостерона завязана выработка целого ряда других гормонов и нейромедиаторов, в том числе серотонина и дофамина, которые, в свою очередь, напрямую влияют на эмоциональное состояние мужчины.

Высокий уровень тестостерона дарит мужчине высокий жизненный тонус, наделяет энергией, которая способна трансформировать его мир, и мир в целом.

 Фото взято из открытых источников.
Фото взято из открытых источников.

2.10. Прочее о влиянии тестостерона на физиологию.

На этом пункте я заканчиваю повествование о влиянии тестостерона на физиологию мужчины.

Тестостерон — гормон многоспектральный, который, как уже было сказано, «приложил руки» практически ко всем основным системам мужского организма.

Тестостерон участвует в формировании мощной иммунной системы, участвует в кроветворении (синтезе красных кровяных телец), регулирует метаболизм и осуществляет целый ряд прочих физических воздействий, которые нет смысла знать обыкновенному парню, желающему скорректировать уровень тестостерона вверх, чтобы улучшить качество своей жизни.

Спасибо, тебе дорогой читатель, за то, что уделил свое драгоценное время этой статье, обязательно подписывайся на канал Института и развивайся вместе с нами

Группа Института Сильной Личности в ВКонтакте https://vk.com/institutsila