Найти в Дзене

Химия - с нуля! 5-й шаг. Четыре Заповеди - основа всех алгоритмов решения задач по химии

Вы хотите познавать химию и профессионально, и с удовольствием? Тогда вам сюда! Автор методики системно-аналитического изучения химии Богунова В.Г. раскрывает тайны решения задач, делится секретами мастерства при подготовке к ОГЭ, ЕГЭ, ДВИ и олимпиадам Камнем преткновения при изучении химии всегда были и остаются задачи. От своих учеников я слышала много рассказов о школьных преподавателях, которые обещали им подготовку к ЕГЭ, но "только к первой части". Грош цена таким училкам. Не подготовят они ребенка даже к первой части, поскольку именно задачи формируют системную логику предмета и развивают аналитическое мышление. Без этого химия превратится в обыкновенную описательную историю, а обучение - в зубрежку. Но даже при хорошей памяти, высокого балла на экзамене не ожидайте, потому как все задания современного ЕГЭ - аналитические. Как быть? Как подготовится к ЕГЭ и сдать его с высоким баллом? Нужно работать с правильным преподавателем, а не с имитаторами! Однако, вернемся к статье. Мен

Вы хотите познавать химию и профессионально, и с удовольствием? Тогда вам сюда! Автор методики системно-аналитического изучения химии Богунова В.Г. раскрывает тайны решения задач, делится секретами мастерства при подготовке к ОГЭ, ЕГЭ, ДВИ и олимпиадам

Камнем преткновения при изучении химии всегда были и остаются задачи. От своих учеников я слышала много рассказов о школьных преподавателях, которые обещали им подготовку к ЕГЭ, но "только к первой части". Грош цена таким училкам. Не подготовят они ребенка даже к первой части, поскольку именно задачи формируют системную логику предмета и развивают аналитическое мышление. Без этого химия превратится в обыкновенную описательную историю, а обучение - в зубрежку. Но даже при хорошей памяти, высокого балла на экзамене не ожидайте, потому как все задания современного ЕГЭ - аналитические.

Как быть? Как подготовится к ЕГЭ и сдать его с высоким баллом? Нужно работать с правильным преподавателем, а не с имитаторами!

Однако, вернемся к статье. Меня часто просят продать все шаблоны задач по химии. Смешно, но понятие "шаблон задачи" используют только составители задач. Хотите, я раскрою вам тайну составления задач?! Можете даже деньги на этом зарабатывать, предлагая свои задачи ФИПИ. Кстати, на своих занятиях я учу детей, в том числе, тому, как составлять задачи. Ребята лучше начинают понимать "внутреннюю кухню" задачи.

Как составить задачи по химии (основные действия):

1) Берете любую, понравившуюся вам задачу ЕГЭ (уровня 34, 35) и решаете ее.
2) Составляете логическую схему решенной задачи. Как вы понимаете, составить логическую схему можно только в случае формульного решения. Пропорция - это тупик!
3) Определяете реперные точки (краеугольные камни) схемы, можете их модифицировать по своему усмотрению. Шаблон готов! Такой шаблон составители задач часто на своем сленге называют "рыба".
4) По готовому шаблону-рыбе очень легко составить великое множество задач, меняя вещества и их количества.

Вы убедились, что коллекционировать шаблоны - дело неблагодарное. Каждый шаблон можно моментально модифицировать до неузнаваемости и составить по нему огромное количество задач. Не шаблоны нужно запоминать, а понимать и хорошо разбираться в основных разделах алгоритмики химии:

Основные разделы алгоритмики химии:

1) общие подходы к решению любой задачи по химии (я их называю Четыре Заповеди)
2) расчеты с количеством вещества (в таких задачах химические процессы не протекают)
3) алгоритмика для газов (и смесей газов)
4) алгоритмика для растворов (и смешанных растворов)
5) алгоритмика для твердых веществ (и смесей веществ)
6) комбинирование алгоритмов
7) вывод формулы вещества

Сегодня мы поговорим о Четырех Заповедях решения задач по химии. Согласно толковому словарю, Заповедь - это предписание, имеющее в глазах того, к кому оно обращено, большую моральную силу, авторитет. Конечно, это - шаги (четыре шага). Для придания им значимости при решении задач, я назвала эти шаги - Заповеди.

Давайте, разберем особенности Четырех Заповедей на примере конкретной (очень легкой) задачи.

Задача

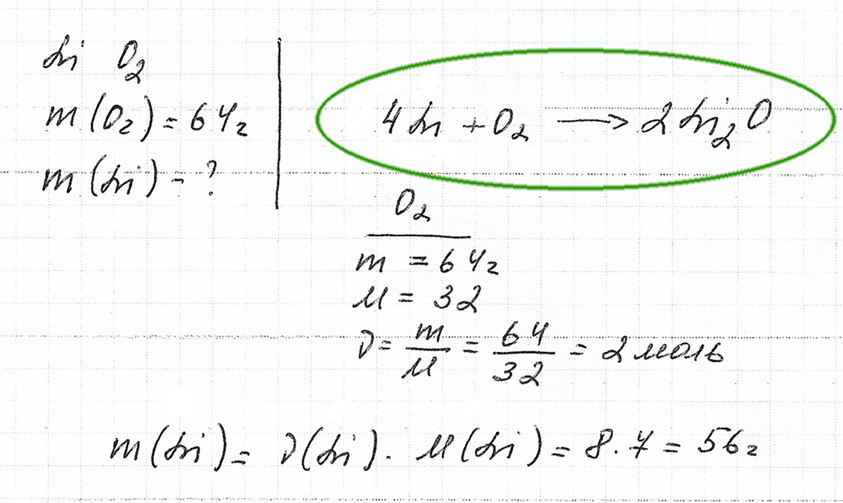
Вычислите массу лития, вступившего в реакцию с 64 г кислорода

1. Первая Заповедь. Выписать данные задачи в разделе "Дано".

Это очень важный шаг. Во-первых, пока выписываются данные, ученик мысленно уже начинает строить логическую схему алгоритма. Во-вторых, вещества-участники задачи размещаются в блок, компактно, а не размыто, как в условии.

2. Вторая заповедь. Написать уравнения реакций, если таковые протекают.

Литий - металл I(A)-группы (щелочные металлы). Все щелочные металлы реагируют с кислородом уже при комнатной температуре, поэтому их хранят под слоем керосина. С образованием оксида, с киcлородом реагирует только литий, остальные щелочные металлы при аналогичных условиях образуют пероксиды Ме2О2 и надпероксиды МеО2.

Пишем несложное уравнение реакций и расставляем коэффициенты. Если по условию задачи никакие реакции не протекают, естественно, второй шаг пропускается.

-2

3. Третья заповедь. Сделать предварительные расчеты по данным условия задачи

Для участников процесса, данные которых указаны в условии задачи, я предлагаю прописывать столбцы (досье), где обязательно должны быть представлены три величины - масса (или объем), молярная масса, количество вещества (моль). В условии задачи представлены данные только по кислороду, поэтому запишем досье для кислорода.

-3

4. Четвертая заповедь. Составить алгоритм решения задачи.

Порядок составления алгоритма:

1) формулизируется вопрос задачи, т.е. по вопросу записывается алгебраическая или логическая формула
2) анализируются все составляющие формулы, используя данные предварительных расчетов

Формулизируем вопрос задачи "Вычислите массу лития", т.е. записываем формулу расчета массы, которая для нас, как для химиков, должна быть представлена произведением количества вещества на молярную массу. Анализируем компоненты формулы: молярную массу лития определяем по таблице Менделеева, количество вещества лития рассчитываем по уравнению реакции.

Расчеты по уравнению реакции выполняем на основании закона кратных отношений по схеме: точку расчета (количество вещества кислорода) делим на коэффициент при этом веществе, умножаем на коэффициент при искомом веществе и получаем результат. Выписывать отдельно пропорцию для расчетов не обязательно. Это - Легкие Расчеты по уравнениям реакций, которые не противоречат закону кратных отношений, но значительно упрощают решение задач по химии.

-4

Задача решена! Это, действительно, очень и очень просто. Только нужно немного набить руку на разных примерах, и решение любой, даже самой сложной задачи, станет для вас приятным развлечением!

О том, как работают Четыре Заповеди на сложных комбинированных задачах, я уже писала в статье "Четыре Заповеди решения задач по химии". Скоро выйдет ремейк.

Вы хотите сдавать ЕГЭ по химии и биологии? Обязательно посетите мой сайт Репетитор по химии и биологии. Здесь вы найдете огромное количество задач, заданий, теоретического материала и познакомитесь с моими учениками.
На странице ВК я анонсирую свои публикации, вебинары, уроки, рассказываю и показываю решение задач и заданий, выкладываю новинки теоретического материала, конспекты и лекции. Добавляйтесь ко мне в друзья, и вы всегда будете в курсе всех событий, связанных с подготовкой к ЕГЭ, ДВИ, олимпиадам!
Полный каталог статей репетитора Богуновой В.Г. вы найдете на странице сайта Статьи репетитора
Подписывайтесь на YouTube-канал Репетитор по химии и биологии. Здесь ежедневно появляются новые вебинары, видео-уроки, видео-консультации, видео-решения.
Пишите мне в WhatsApp +7(903)186-74-55, я отвечу вам обязательно.
Приходите ко мне на занятия, я помогу вам фундаментально изучить химию и биологию, научу решать любые задачи, даже самые сложные.

Репетитор по химии и биологии кбн В.Богунова