Добавить в корзинуПозвонить
Найти в Дзене

Информация с точки зрения науки и физики

Научная статья к.т.н. А.В. Важкий Москва, 2025 «Информация - это фундаментальный генерализационно-​единый безначально-​бесконечный законопроцесс резонансно-​сотового, частотно-​квантового и нульсингулярного самоотношения, самоотражения, отношения взаимодействия, взаимопревращения и взаимосохранения (в пространстве и времени) энергии и движения на основе материзации и дематеризации в вакуумосферах и материо-​сферах Вселенной» Юзвишин И.И. Основы информациологии.- 2-е издание,- М., 2000.-216 с. «Механический мозг не выделяет мысль, «как печень выделяет желчь», что утверждали прежние материалисты, и не выделяет ее в виде энергии, подобно мышцам. Информация есть информация, а не материя и не энергия. Тот материализм, который не признает этого, не может быть жизнеспособным в настоящее время.» Н. Винер «Кибернетика» «Все недовольны тем, что информационная наука не хочет потрудиться над определением информации … На самом деле ни одна современная наука не имеет определений своих основных феном

Научная статья

к.т.н. А.В. Важкий

Москва, 2025

«Информация - это фундаментальный генерализационно-​единый безначально-​бесконечный законопроцесс резонансно-​сотового, частотно-​квантового и нульсингулярного самоотношения, самоотражения, отношения взаимодействия, взаимопревращения и взаимосохранения (в пространстве и времени) энергии и движения на основе материзации и дематеризации в вакуумосферах и материо-​сферах Вселенной»

Юзвишин И.И. Основы информациологии.- 2-е издание,- М., 2000.-216 с.

«Механический мозг не выделяет мысль, «как печень выделяет желчь», что утверждали прежние материалисты, и не выделяет ее в виде энергии, подобно мышцам. Информация есть информация, а не материя и не энергия. Тот материализм, который не признает этого, не может быть жизнеспособным в настоящее время.»

Н. Винер «Кибернетика»

«Все недовольны тем, что информационная наука не хочет потрудиться над определением информации … На самом деле ни одна современная наука не имеет определений своих основных феноменов. В биологических науках нет определения жизни, в медицинских – здоровья, в физике – энергии, в электротехнике – электричества, в ньютоновских законах – противодействия. Это просто основные явления, и эта их первичность и служит им определением».

Т. Сарацевич [1979]

Историческая справка

Informatio (от лат. informātiō «представление, понятие о чём-либо» ← informare «придавать вид, формировать, изображать») — понималось как процесс, в результате которого идея получает воплощение: при наблюдении за лошадью в сознании образуется идея о ней; процесс обучения создаёт ученика; художник изготавливает скульптуру, придавая желаемую форму куску мрамора. Слово informatio использовалось Цицероном и Августином при переводе на латынь таких понятий греческой философии, как эйдос, идея, форма, пролепсис. Фома Аквинский использует для описания гилеморфизма словосочетание informatio materiae («формирование материи»)

Исчезновение концепции морфогенезиса из философского дискурса связано с развитием эмпиризма, не допускающего существования форм за пределами чувственного восприятия. Фрэнсис Бэкон критикует диалектиков, которые «успокаиваются на непосредственных данных (informationibus) хорошо расположенного чувства»

В русском языке слово «информация» известно с петровской эпохи. Оно было заимствовано из польского языка и использовалось в значении «донесение, извещение». До середины 1960-х годов оно фиксируется в русских словарях и энциклопедиях как однозначное слово, употребляемое по отношению к сообщениям.

В явлениях природы есть закономерность. Это люди знали давно, и пытались понять законы природы (и до сих пор пытаются). Законы природы - это и есть порядок. С другой стороны, уже понятые и сформулированные законы природы часто нарушаются. Многие явления происходят "случайно", то есть так, что предвидеть их невозможно. Это и есть нарушение порядка, то есть беспорядок, хаос. Такие явления играют большую роль в жизни, а в физике молекулярный хаос даже служит основой второго начала термодинамики.

В каких случаях и по каким причинам порядок уступает место хаосу? Каким образом из хаоса снова может возникнуть порядок?

Эти вопросы касаются не только бездушной природы. То же самое происходит и в живых системах (организмах, популяциях) и в человеческом обществе. Более того, в обществе проблемы порядка и хаоса даже более актуальны и стоят более остро, чем в естественных науках.

Как человечество пыталось ответить на эти вопросы?

Этому посвящены тома литературы, как научной, так и художественной. Провести обзор всего сказанного в ней невозможно. Однако, для дальнейшего необходимо напомнить основные этапы развития мысли. При этом не удастся избежать упрощения и даже вульгаризации истории.

В религии ответ на вопрос был прост: порядок создал Бог, а беспорядок - Диавол. Этот ответ в свое время удовлетворял человечество. Действительно: посмотрите на небо: стройной чередой движутся по нему планеты и этот порядок вечен, поскольку на небе властвует Бог. На земле другое дело. Здесь "враг человеческий" силен, отсюда и беспорядок. Однако, с развитием астрономии, физики и математики, небесный порядок был облечен в формулы и создана наука - классическая механика. Эта наука и до сих пор является образцом порядка. Предсказания в механике однозначны. Если известны начальные условия, и силы, действующие на тело, то траектория вычисляется однозначно. Успехи механики произвели большое впечатление на общество. Оказалось, что на основе законов механики можно вычислить не только движение светил на небе, но и траекторию снаряда, выпущенного из пушки и многое другое. Широко распространилась иллюзия о том, что по аналогичным законам (столь же четким и однозначным) можно вычислить вообще все на свете. Создатели современной механики и математики: Декарт, Ньютон, Лейбниц, Эйлер - были люди религиозные и не отказывались от роли Бога. Однако, их последователи, в частности, французские просветители, уже попытались заменить культ Бога культом Разума. Под разумом понималась способность на основании законов природы рассчитать (или предвидеть) последующие события, как в науке, так и в обществе. Это было торжество порядка над хаосом, но временное.

"Критика чистого разума" Канта снова вернула общество к извечной проблеме. Под "чистым разумом" Кант опять же понимал возможность однозначно предсказывать (вычислять, рассчитывать) явления природы. По существу, Кант обратил внимание на то, что однозначно предсказывать можно отнюдь не все явления природы, более того часто результат оказывается противоположным предсказаниям "чистого разума".

Впоследствии, уже в двадцатом веке выяснилось, что ни один однозначный алгоритм (подобный механике) не может дать однозначный ответ на вопрос, поставленный в рамках того же алгоритма. Сейчас это утверждение известно как теорема Гейделя. Кант указал на ограниченность “чистого разума”, но предложить ему логическую альтернативу в рамках естественных наук того времени не мог, хотя современной ему математикой владел профессионально. Будучи человеком религиозным (как и его современники), Кант, предложил естественный для того времени выход: управляет миром Бог, а “чистый разум”, хотя и силен, но не всесилен.

Оппонентом Канта выступил Гегель. Он предложил заменить формальную логику диалектической. Диалектика, как особый вид логики, возникла ещё в античные времена и тогда существенно отличалась от формальной логики даже по названию. Под логикой понималось искусство убеждать словом (от греческого логос - слово). Под диалектикой понималось искусство побеждать в споре (в более общем случае - вести беседу). Убеждать и побеждать - цели разные и методы их достижения тоже различны (хотя для достижения первого часто используется второе). Поэтому совместить логику и диалектику очень не просто. В рамках изложенного можно интерпретировать диалектику Гегеля следующим образом. Гегель обобщил опыт натуралистов, наблюдавших развивающиеся системы (в первую очередь живые) и сформулировал его в виде ряда правил. Которым был придан статус законов природы. Так появился тезис о борьбе противоположностей и тезис об их смене в известной триаде: “тезис - антитезис - синтез”. Гегель, в отличие от Канта, не владел математикой профессионально и поэтому сформулировал эти правила в вербальной, но не математической форме. Справедливости ради отметим, что если бы Гегель и попытался это сделать, то всё равно не смог бы, поскольку необходимый для этого математический аппарат тогда ещё не был создан, да и сейчас он ещё только строится. В результате область применимости диалектической логики не была четко очерчена. Вопрос о том, где и какую логику следует применять оставался не решенным. Гегель понимал это и будучи, как и Кант, человеком религиозным, предоставил решение этого вопроса на усмотрение Божие. В результате диалектика Гегеля была отнесена к разряду идеалистических философий. Научная общественность восприняла диалектику не однозначно.

По существу, и сейчас отношение к ней двояко. Многие представители точных наук (физики и математики) отнеслись к ней негативно, полагая, что это не более чем слова. Тому есть причины. С точки зрения представителя точных наук слова “закон природы” подразумевают, что имеется математический аппарат, позволяющий делать однозначные предсказания. В диалектике Гегеля такого аппарата не было. Поэтому на вопрос: можно ли рассчитать и предсказать, когда именно одна "противоположность" сменит другую и когда возникает "синтез", ответ был расплывчатый: "синтез" обязательно будет, но когда - не знаем. Разумеется, такой ответ представителей точных наук не удовлетворял. Представители описательных (естественных и гуманитарных) наук встретили диалектику с энтузиазмом. Тому тоже есть причина. Гегелю удалось сформулировать основные и действительные достаточно общие свойства, характерные для открытых, развивающихся систем. Здесь мы используем современный язык, поскольку во времена Гегеля понятия "открытая" и "развивающаяся" система были еще не сформулированы.

Сейчас можно сказать, что триада Гегеля – образное описание процесса генерации ценной информации. Действительно, как было показано выше, при этом прежний динамический режим (“порядок”) становится неустойчивым, и система входит в перемешивающий слой. Возникает “хаос” - антитеза “порядка”. Затем система выходит из перемешивающего слоя и входит в новый динамический режим. Возникает новый “порядок” - синтез, в котором система уже обладает новой ценной информацией. В новом режиме система развивается динамично, вплоть до следующей точки бифуркации. Живые и социальные системы относятся именно к таковым, что и обеспечило популярность диалектики в среде биологов и гуманитариев.

Сейчас, опираясь на синергетику, можно сказать, что областью применимости диалектической логики являются все развивающиеся системы, в том числе и в особенности живые. Как видим, область применимости диалектики очень широка, но не безгранична. В неживой природе устойчивые процессы подчиняются формальной логике. Неустойчивые процессы в неживой природе тоже бывают и играют большую роль. Именно для их описания была создана теория динамического хаоса. Фактически эта теория играет роль звена, соединяющего формальную логику с диалектической. Таким образом, области применимости формальной и диалектической логики сейчас уже определены. Сейчас сторонник диалектического мышления может ответить любому математику на его каверзный вопрос о том, когда наступит “синтез”. Ответ прост: постройте математическую модель процесса, и сами увидите, когда именно тезис перейдет в антитезис, и когда наступит синтез. В развивающейся живой системе это обязательно произойдет и это качественное утверждение диалектики остается в силе. Отметим, что ссылка на Бога при этом вовсе не обязательна (и не желательна). Приведенные выше соображения выглядят вполне материалистическими. Поэтому, можно сказать, что современная синергетика является математической основой диалектического материализма.

В дискуссиях между сторонниками формальной логики и диалектики играло роль и другое обстоятельство, тоже не маловажное. Основы диалектики были сформулированы на вербальном (словесном) уровне, для их восприятия не нужно было знать математику. До Гегеля известные философы (включая Канта) знали математику, более того, считать себя философом, не будучи знакомым с математикой, было просто неприлично. После Гегеля в философии появилось много представителей описательных наук, не знакомых с математикой, а в последнее время можно стать философом, вообще не будучи специалистом ни в каких других науках. Для людей достаточно ленивых, но склонных пофилософствовать (а таковы почти все люди), освобождение от необходимости учить математику было благом.

Сейчас ситуация меняется, интеграция наук становится насущной потребностью. И здесь знание смежных дисциплин (включая математику) необходимо.

Подведем итог: диалектика в лице синергетики обрела, наконец, математическую опору, что позволило очертить область её применимости. Отпала необходимость привлекать Бога для решения научных проблем (т.е. поминать Имя Его всуе). Диалектический материализм стал действительно научной системой, в том смысле, в каком это принято понимать в естественных и точных науках. Сопоставляя диалектический материализм с разными вариантами логических схем, можно сказать, что он ближе всего к целесообразной логике, именно в той её части, где последняя становится не тривиальной. Можно сказать также, что синергетика, как математический аппарат, охватывает не только формальную логику, но и диалектику.

Мнение ученых

· ШЕННОН К. Работы по теории информации и кибернетике. М., 1963.

«Значение теории информации было, возможно, преувеличено и раздуто до пределов, превышающих ее реальные достижения ... Сейчас теория информации, как модный опьяняющий напиток, кружит голову всем вокруг.

Сознавая, что теория информации является сильным средством решения проблем теории связи, нельзя забывать, что она не является панацеей для инженера-связиста и тем более для представителей всех других специальностей.

Представителям различных наук следует ясно понимать, что основные положения теории информации касаются очень специфического направления исследования, направления, которое совершенно не обязательно должно оказаться плодотворным в психологии, экономике и в других социальных науках.

Здание нашего несколько искусственно созданного благополучия слишком легко может рухнуть, как только в один прекрасный день окажется, что при помощи нескольких магических слов, таких как информация, энтропия, избыточность..., нельзя решить всех нерешенных проблем»

· БЕРГ А.И., СПИРКИН А.Г. Кибернетика и диалектико-материалистическая философия // Проблемы философии и методологии современного естествознания. М., 1973

«Для характеристики реального мира ныне недостаточны фундаментальные понятия классической физики - материя, вещество, движение, энергия, пространство, время. Для полноты этой характеристики необходимо столь же фундаментальное и столь же всеобщее понятие информации. Нет материи без информации, нет и информации без ее материального носителя - вещества и энергии.

Информация представляет собой качественную и количественную характеристику организованности отражения. Вообще информация - это как бы некоторая " сила ", направленная против дезорганизации и хаоса; в этом смысле информация неотделима от структурности, организованности материальных систем»

· БЕРЛЯНТ А. М. Образ пространства: карта и информация. М., 1986.

«Вероятностно-статистический подход к картографической информации встретил многочисленные возражения. В ряде критических высказываний подчеркивалось, что шенноновская формула энтропии не содержит самого понятия "информация" и не позволяет определить "количество информации" или "информативность" карты ... Карта, где знаки располагаются в пространстве, принципиально отличается от других языковых сообщений, использующих последовательности знаков или сигналов»

· БИРЮКОВ Б.В. Кибернетика и методология науки. М., 1974.

«Бесспорна возможность теоретико-информационного изложения ряда физических теорий - изложения, исходящего, конечно, из представления о том, что информация и ее меры суть объективные характеристики физических явлений.

В самом деле, если понятия термодинамической энтропии и энтропии информационной столь тесно связаны, то почему не попытаться развить на информационной основе самою термодинамику? Если понятие количества информации столь уверенно интерпретируется в вероятностных терминах, то почему бы не попытаться заложить теорию информации в фундамент статистической физики и квантовой механики?

Имеется определенное несоответствие между сильно развитым формальным аппаратом оценки количественной формы информации и еще недостаточно осмысленной ее "содержательной" стороной, что сказывается на приложениях теории (в ряде случаев бывало, что представления и методы шенноновской теории пытались "механически" применить в новых областях, что приводило к дискретизации самих методов).

Информация "многолика", включает в себя синтаксический, семантический и прагматический аспекты. ... Разные стороны понятия информации отображаются в целом спектре теорий. Эти теории, как правило, не противоречат, а дополняют друг друга, развивая разные количественные меры, связанные с той или иной стороной феномена информации. При этом всегда имеется в виду задача - если не полного, то частичного - синтеза этих теорий»

· БРИЛЛЮЭН Л. Наука и теория информации. М., 1960.

«Новая территория была завоевана для науки с появлением в недавнее время теории информации. Это открытие создало новую область, немедленно привлекшую разведчиков и исследователей. Как это случилось? Как далеко это идет? И где оно может продолжать распространяться? Означает ли это вторжение науки на территорию, принадлежащую по традиции философии, или это есть открытие новой страны, своего рода "ничейной земли", которая ускользала от прежних исследований?»

· ВИНЕР Н. Кибернетика, или управление и связь в животном и машине; или Кибернетика и общество/ 2-е издание. — М.: Наука; Главная редакция изданий для зарубежных стран, 1983. — 344 с.

«Понятие количества информации совершенно естественно связывается с классическим понятием статистической механики - понятием энтропии. Как количество информации в системе есть мера организованности системы, точно также энтропия системы есть мера дезорганизованности системы.

Информация есть информация, а не материя и не энергия. Тот материализм, который не признает этого, не может быть жизнеспособным в настоящее время»

· ДОБРУШИН Р. Л. Теория информации (комментарии). В кн.: Колмогоров А. Н. Теория информации и теория алгоритмов. М., 1987.

«Столь общий многообразный объект как информация, не может допускать единого метода численного измерения, а идеи Шеннона обоснованы лишь в применении к той важной, но все же ограниченной ситуации, когда рассматриваются оптимальные методы кодирования и декодирования информации в целях ее передачи по каналам связи или ее хранения»

· КОЛИН К. К. Природа информации и философские основы информатики // Открытое образование. 2005, № 2.

«Информация – это не плод нашего воображения, не продукт деятельности сознания, а реальный физический феномен, характеризующий состояние и движение материи или энергии»

· КОЛИН К. К. Эволюция информатики // Информационные технологии. 2005, № 1.

«Понятие информации является настолько сложным и многоаспектным, что до сих пор в науке не найдено его достаточно общего определения. И это несмотря на то, что, начиная со второй половины XX века, понятие информации стало общенаучной категорией и широко используется практически во всех современных научных дисциплинах.

Сегодня уже опубликовано достаточно большое число научных работ, где справедливо отмечается, что осмысление определяющей роли информации во всех без исключения эволюционных процессах природы и общества открывает совершенно новую, информационную Картину Мира, которая существенным образом отличается от традиционной вещественно-энергетической Картины мироздания, доминировавшей в науке еще со времен Декарта и Ньютона практически до конца XX века»

· КОЛМОГОРОВ А. Н. Комбинаторные основания теории информации и исчисления вероятностей // УМН, 1983, т. 38, вып. 4.

«Не видно, почему теория информации должна столь существенно основываться на теории вероятностей, как это представляется по большинству руководств ... эта зависимость от заранее созданной теории вероятностей в действительности не является неизбежной.

Теория информации должна предшествовать теории вероятностей, а не опираться на нее. Основы теории информации имеют по самому существу этой дисциплины финитный комбинаторный характер»

· КОЛМОГОРОВ А. Н. Проблемы теории вероятностей и математической статистики // Вестник Академии наук СССР, 1965, №5.

«Информация по своей природе — не специально вероятностное понятие. Исходное представление об информации как числе двоичных знаков, необходимых для того, чтобы выделить определенный объект из конечного множества объектов, ничего общего с теорией вероятностей не содержит. Лишь в более высоких разделах теории информации сейчас доминируют вероятностные методы. Возможно, однако, что соотношения между теорией информации и теорией вероятностей радикально изменятся. < ... > Отношения эти могут быть обратными современным, и не теория вероятностей будет основой высших разделов теории информации, а в основе теории вероятностей будут лежать понятия теории информации»

· МАЗУР М. Качественная теория информации. М., 1974.

«А как применить понятие "количество информации", например к географической карте? Ведь карта содержит самую различную информацию. ... О каких вероятностях здесь может идти речь? Ведь каждый элемент карты, как и каждый элемент территории, существует, а не "происходит" с какой-то вероятностью. На заданные вопросы можно ответить, что теория информации создана не для этих потребностей. Однако такой ответ означает признание того факта, что созданная теория до сих пор дает меньше, чем обещает ее название»

· НАЛИМОВ В.В. Вероятностная модель языка. М., 1979.

«Мы не умеем определить, что есть "информация", и будем считать, что это такое сложное понятие, смысл которого раскрывается при чтении тех фраз, в которых оно употребляется. Такой подход не должен вызывать удивления. Даже при попытке строгой формализации математики приходится вводить понятия, смысл которых раскрывается из аксиом, формулируемых с помощью этих же понятий»

· НОВИК И. Б. Негэнтропия и количество информации // Вопросы философии, 1962, № 6.

«Отсутствие в современной теории информации законов сохранения можно рассматривать как свидетельство незавершенности этой теории. ... Решение вопроса относительно обобщения законов сохранения на область информации, на наш взгляд, существенно продвинет разработку содержательной теории информации, даст опорный стержень для, так сказать, "физики отражения".

Нам представляется, что информацию можно трактовать как форму отражения. ... По нашему мнению, в информации выражается упорядоченность отражения. ... Если для материи справедливы законы сохранения, то можно полагать, что некоторые аналоги этих законов применимы и к атрибуту отражения. ... При рассмотрении только одной формы отражения (информации) без учета ее перехода в другую форму закон сохранения в данной области не удается установить»

· НОВИК И. Б. Кибернетика. Философские и социологические проблемы. М., 1963.

"По-видимому, и в области теории информации мы столкнемся со специфическими статистическими законами, характеризующими "дуализм" отражения (информация и шум), подобно тому, как специфичность статистики в квантовой механике связана с "дуализмом" микрообъектов (обладание свойствами частицы и волны)"

· ПЕТРУШЕНКО Л. А. Самодвижение материи в свете кибернетики. М., 1971.

«Теория информации в кибернетике напоминает болото, поверх которого заботливыми руками математиков и техников настланы достаточно твердые доски. Ниже, Шенноном и Винером, насыпан плотный слой теорий и постулатов. Еще ниже находится мох догадок. И, наконец, там, совсем глубоко, - трясина гипотез, где все абсолютно шатко и сверкает ледяная вода таких широких обобщений и глубоких абстракций, которые еще не известны современной науке.

Если вы заинтересуетесь вопросом, что такое информация, и найдете соответствующее определение информации в какой-либо из книг (что, вообще говоря, трудно сделать, так как авторы их избегают давать такое определение), то можно с большой уверенностью утверждать, что другие авторы будут с ним не согласны.

Так же, как на смену механической пришла энергетическая картина мира, так и последняя постепенно уступит место кибернетической, информационной картине мира»

· СЕДОВ Е. Одна формула и весь мир (книга об энтропии). М., 1982.

«Теория информации в том виде, в каком она существует сегодня, - это лишь первый шаг к решению многих научных задач. С ее помощью пока не открыты законы такого масштаба, как например, закон всемирного тяготения. Но тут приходится делать скидку на возраст - нельзя же требовать от ребенка, пусть даже весьма и одаренного, великих свершений с самых первых шагов.

Современная наука изучает различные уровни материального мира ... И на всех уровнях она обнаруживает нескончаемую диалектическую борьбу энтропии и информации - двух противоположных начал, отражающих вечное стремление к увеличению хаоса и противодействующую ему тенденцию к образованию упорядоченных структур»

· УРСУЛ А. Д. Природа информации. М., 1968.

«Доведенная до крайности концепция выбора, неопределенности может привести к тому, что объективный характер самой информации окажется под сомнением, и будет признаваться "творение" информации субъектом или вообще воспринимающей системой. В силу этих соображений наше общее понимание информации должно быть освобождено от ее зависимости от воспринимающей системы (хотя в ряде случаев эта зависимость действительно существует) в такой же степени, как и от трактовки информации в духе чисто вероятностных представлений»

· УРСУЛ А. Д. Проблема информации в современной науке. М., 1975.

«Понятия информации, которые изолируются от связи с категорией отражения, на наш взгляд, не будут далее развиваться, они образуют тупиковые линии развития. ... Категория отражения выступает в качестве важнейшего методологического ориентира, помогающего обнаружить верные пути в "хаосе" омонимии понятия информации»

Что такое информация:

· Любые сведения о каких-либо ранее неизвестных событиях

· Содержательное описание объекта или явления

· Результат выбора

· Содержание сигнала

· Мера разнообразия

· Отраженное разнообразие

· Сущность, сохраняющаяся при вычислимом изоморфизме

· Уменьшаемая неопределенность

· Мера сложности структур, мера организации

· Результат отражения реальности в сознании человека, представленный на его внутреннем языке

· Семантика или прагматика синтаксиса языка представления данных

· Продукт научного познания, средство изучения реальной действительности

· Основное содержание отображения

· Бесконечный законо-процесс триединства энергии, движения и массы с различными плотностями кодовых структур бесконечно-беспредельной Вселенной

· Непременная субстанция живой материи, психики, сознания

· Вечная категория, содержится во всех без исключения элементах и системах материального мира, проникает во все “поры” жизни людей и общества

· Свойства материи, ее атрибут

· Некая реалия, существующая на ряду с материальными вещами или в самих себя

· Язык мира как живого целого

3 сущности информации

· антропоцентрическая (то, что может быть преобразовано в знания; имеет смысл, значение для отдельного человека и общества)

· техноцентрическая (отождествление информации с данными; теория связи (коммуникации), кодирование и обработка сигналов; кибернетические системы и устройства)

· недетерминированная (принятие понятия как фундаментального с отказом от определения. Информация ставится в один ряд с такими понятиями, как материя, энергия, пространство, время)

Классификация информации

Информацию можно разделить на виды по различным критериям:

По способу восприятия:

· Визуальная — воспринимаемая органами зрения.

· Звуковая — воспринимаемая органами слуха.

· Тактильная — воспринимаемая тактильными рецепторами.

· Обонятельная — воспринимаемая обонятельными рецепторами.

· Вкусовая — воспринимаемая вкусовыми рецепторами.

По форме представления:

· Текстовая — передаваемая в виде символов, предназначенных обозначать лексемы языка.

· Числовая — в виде цифр и знаков (символов), обозначающих математические действия.

· Графическая — в виде изображений, предметов, графиков.

· Звуковая — устная или в виде записи и передачи лексем языка аудиальным путём.

· Видеоинформация — передаваемая в виде видеозаписи.

По назначению:

· Массовая — содержит тривиальные сведения и оперирует набором понятий, понятным большей части социума.

· Специальная — содержит специфический набор понятий, при использовании происходит передача сведений, которые могут быть не понятны основной массе социума, но необходимы и понятны в рамках узкой социальной группы, где используется данная информация.

· Секретная — передаваемая узкому кругу лиц и по закрытым (защищённым и адаптивным) каналам.

· Личная (приватная) — набор сведений о какой-либо личности, определяющий социальное положение и типы социальных взаимодействий внутри популяции.

По значению:

· Актуальная — информация, ценная в данный момент времени.

· Достоверная — информация, полученная без искажений с надежных источников.

· Понятная — информация, выраженная на языке, понятном тому, кому она предназначена.

· Полная — информация, достаточная для принятия правильного решения или понимания.

· Ценная — полезность информации определяется субъектом, получившим информацию в зависимости от объёма возможностей её использования.

По истинности:

· Истинная.

· Ложная.

В основу классификации положено пять общих признаков:

· Место возникновения.

· Стадия обработки.

· Способ отображения.

· Стабильность.

· Функция управления.

3 подхода к изучению информации

· Атрибутивный подход – информация является неотъемлемым свойством (атрибутом) материи, может проявлять себя во всех объектах, процессах и явлениях как живой, так и неживой природы (А.Д. Урсул, К.К. Колин и др.). Информация — атрибут материи, одна из объективных сторон явлений природы, существующая везде — во всем мире, во всей Вселенной. Она не может существовать вне материи, а значит она существовала и будет существовать вечно, ее можно хранить, накапливать и перерабатывать. Однако возникло методологическое затруднение, которое стало камнем преткновения для наших философов. Дело в том, что в диалектическом материализме незыблемо утвердилась теория отражения, восходящая к тезису В. И. Ленина, сформулированному в книге "Материализм и эмпириокритицизм": "вся материя обладает свойством, по существу родственным с ощущением, — свойством отражения". Отражение понималось как воспроизведение отличительных особенностей одного объекта (отражаемого) другим объектом (отражающим). Отражательными явлениями считались не только следы на камне, но и раздражимость (чувствительность) живого организма, восприятие внешнего мира органами чувств и процесс человеческого познания. Знание трактовалось как адекватное отражение (образ) реального мира. Информация в качестве атрибута материи нуждалась в соотношении с "ленинским" атрибутом — отражением. Атрибутивистам потребовалось немало изобретательности, чтобы выработать идеологически и научно приемлемые формулировки. Были предложены следующие варианты определения информации через категорию отражения: информация — сущность (содержание, инвариант, основная сторона) отражения; информация — отраженное разнообразие. Однако при ближайшем рассмотрении оказывается, что если признать информацию как сущность (содержание) отражения, то следовательно отражение не имеет другой сущности или другого содержания, кроме информации. Это означает отождествление отражения и информации по существу. Далее: отраженное разнообразие не что иное, как образ, возникающий в процессе отражения. Если назвать формирование этого образа "информационным процессом", то смешение информации и отражения столь же неизбежно, как и в случае признания информации "сущностью отражения". Таким образом, атрибутивная концепция, утверждая всеобщее распространение информации в материальном мире, так и не смогла раскрыть ее собственную, не совпадающую с отражением, сущность.

· Функционально-кибернетический (логико-семантический) подход – информация присуща только объектам живой природы, для которых характерны целенаправленные действия (принятие решений) (Н. Винер, Н.Н. Моисеев и др.). Информация трактуется как знание, причем не любое знание, а та его часть , которая используется для ориентировки, для активного действия, для управления и самоуправления. Иными словами, информация – это действующая, полезная часть знаний. Информация — это не всеобщий атрибут материи, не объективный материальный феномен, существующий независимо от каких-либо субъектов, а функция самоуправляемых кибернетических систем, имеющих техническую, биологическую, социальную природу. 2 вида информации: 1. Информация свободная, представляющая собой содержание сигналов или сообщений, полученных кибернетической системой из внешнего мира. 2. Информация связанная (внутренняя, структурная, потенциальная), носителями которой служат целесообразно упорядоченные структуры кибернетических систем (конструкция технического устройства, генетические коды, условные и безусловные связи в мозгу животного и т. п.) кибернетики, лингвистики, семиотики, философии, информатики, библиотечно-библиографических наук и др.

· Естественно-научный (количественно-информационный) подход (концепция К. Шеннона - статья «Теория коммуникации» - математическая теория) - информация — снятая неопределенность (энтропия), результат выбора из возможных альтернатив, абстрактная мера упорядоченности. Количество информации в том или ином случае зависит от вероятности его получения: чем более вероятным является сообщение, тем меньше информации содержится в нем. Этот подход не учитывает смысловую сторону (семантику) информации, но оказался весьма полезным в технике связи и вычислительной технике. Главное достижение концепции К. Шеннона заключалось в том, что был предложен способ измерения информации в коммуникационных сообщениях, основанный на вероятностно-статистических представлениях: степень неопределенности ситуации, неожиданность появления сигнала или ансамбля сигналов. Были выведены формулы для подсчетов, единицей измерения стал бит — количество информации, получаемое при известии о свершении одного из двух равновероятных событий. Ограниченность математической теории информации состоит в том, что она полностью абстрагируется от осмысленности и ценности сообщения для потребителя. Подсчитанная по формулам информация есть абстрактная величина, умственный конструкт, порожденный научным сознанием; она не существует в физической реальности, как не существуют логарифмы, интегралы, мнимые числа и т. п. научные фикции. Согласно естественнонаучной концепции информации (Е), развиваемой академиками-кибернетиками (А. И. Берг, В. М. Глушков, А. П. Ершов, В. И. Сифоров и др.), информация — "один из важнейших атрибутов материи, отражающий ее структуру. Понимание единой природы информации вслед за установлением единой природы вещества и энергии стало важным шагом к осознанию материального единства мира" (А. П. Ершов). Информация выглядит уже "естественнонаучным подтверждением" не столько присущего материи свойства отражения, сколько свойства организации. Ранее бытовавшая формула - материя = вещество + энергия + организация заменяется формулой материя = вещество + энергия + информация. В результате информация отождествляется с организацией. Характерно разъяснение академика В. М. Глушкова: "Совершенно неправильно связывать с понятием информации требование ее осмысленности, как это имеет место при обычном, житейском понимании этого термина. Информацию несут не только испещренные буквами листы книги или человеческая речь, но и солнечный свет, складки горного хребта, шум водопада, шелест листвы и т. д."

Проблема

Информация одновременно оказывается умственной абстракцией, физическим феноменом, кибернетической функцией; вещью, свойством (атрибутом), отношением; существующей повсюду и нигде не обнаруживаемой; материальной и в то же время идеальной; сущностью (содержанием) и формой.

«Никто еще не видел ни как субстанцию, ни как свойство эту загадочную информацию... Везде мы обнаруживаем лишь взаимодействие материальных веществ, наделенных энергией, и нигде не обнаруживаем того, что обычно называем информацией. Почему? Да потому, что ее не существует в природе, как не существует флюидов, флогистона, эфира и т. д.» (М. И. Сетров)

Информационное взаимодействие
Взаимодействие – фундаментальная категория, отражающая процессы воздействия различных объектов друг на друга, их взаимную обусловленность, изменение состояния, взаимопереход, а также порождение одних объектов другими.

Физика – силовое (энергетическое), например, гравитационное взаимодействие тел.

Информационное взаимодействие – взаимодействие объектов, при котором осуществляется передача (генерация и освоение) идеальных категорий (смыслов, значений, образов, эмоций). Информационное взаимодействие – взаимодействие объектов, приводящее к изменению знаний хотя бы одного из них (Кузнецов Н.А.)

Структура информационного взаимодействия

· Рождение сообщения, наделенного смыслом

· Формирование сообщения на каком-либо языке

· Закладка сообщения в сигнал (кодирование, модуляция)

· Преодоление пространства (передача сигнала)

· Прием сигнала (выделение из помех, демодуляция, декодирование)

· Интерпретация сообщения, постижение его смысла

· Адекватная реакция на сообщение

Особенности информационного взаимодействия (гипотезы):

· ведущая роль принадлежит не энергии или веществу, а информации в различных формах ее проявления;

· реализуется коммуникативная функция и происходит как закладка смысла в сообщение, так и его постижение при приеме сообщения, т.е. при информационном взаимодействии главными операциями являются операции со смыслами, образами, эмоциями, а это значит, что передается идеальное;

· информационное взаимодействие не может осуществляться при отсутствии памяти у взаимодействующих объектов или более расширительно при отсутствии того, что принято называть элементами сознания.

Информационное управление

Под информационным управлением понимается процесс выработки и реализации управленческих решений в ситуации, когда управляющее воздействие носит неявный, косвенный характер, и объекту управления представляется определяемая субъектом управления информация о ситуации (информационная картина), ориентируясь на которую этот объект как бы самостоятельно выбирает линию своего поведения.

Информационное общество

Такое общество, в котором производство и потребление информации являются важнейшим видом деятельности, информация признается наиболее значимым стратегическим ресурсом, новые информационно-коммуникационные технологии (ИКТ) становятся базовыми технологиями, а основу инфраструктуры общества формирует информационно-коммуникационная инфраструктура.

Основные достоинства информации как стратегического ресурса

· Информация представляет собой практически неисчерпаемый ресурс, в процессе использования она, по крайней мере, не убывает, легко тиражируется и распространяется.

· Информация обладает ресурсосберегающими свойствами. Применение информации позволяет сократить потребности других ресурсов и создать ресурсосберегающие и экологически чистые технологии и производства.

· Информация является экологически чистым ресурсом, информационное загрязнение в мире в настоящее время достаточно далеко от опасного уровня («пределов роста»).

· Для работы с информацией созданы универсальные, практически неограниченные по производительности средства – электронные вычислительные машины.

Информация в различных областях деятельности

· Информатика

Предметом изучения информатики являются именно данные: методы их создания, хранения, обработки и передачи. Данные представляют собой информацию в формализованном виде (в цифровой форме), позволяющем автоматизировать её сбор, хранение и дальнейшую обработку в ЭВМ. С этой точки зрения информация является абстрактным понятием, рассматриваемым безотносительно к её семантическому аспекту, а под количеством информации обычно понимается соответствующий объём данных. Однако одни и те же данные могут быть закодированы различным образом и иметь при этом различный объём, поэтому иногда рассматривается также понятие «ценность информации», которое связано с понятием информационной энтропии и является предметом изучения теории информации.

· Теория информации

(математическая теория связи) — изучает процессы хранения, преобразования и передачи информации. Она основана на научных методах измерения количества информации. Теория информации развилась из потребностей теории связи. Основополагающими считаются «Передача информации» Ральфа Хартли опубликованные в 1928 году и «Работы по теории информации и кибернетике» Клода Шеннона, опубликованные в 1948 году. Теория информации изучает пределы возможностей систем передачи данных, а также основные принципы их проектирования и технической реализации.

С теорией информации связаны радиотехника (теория обработки сигналов) и информатика, относящиеся к измерению количества передаваемой информации, её свойства и устанавливающие предельные соотношения для систем. Основные разделы теории информации — кодирование источника (сжимающее кодирование) и канальное (помехоустойчивое) кодирование. Информация не входит в число предметов исследования математики. Тем не менее, слово «информация» употребляется в математических терминах — собственная информация и взаимная информация, относящихся к абстрактной (математической) части теории информации. Однако, в математической теории понятие «информация» связано с исключительно абстрактными объектами — случайными величинами, в то время как в современной теории информации это понятие рассматривается значительно шире — как свойство материальных объектов.

Связь между этими двумя одинаковыми терминами несомненна. Именно математический аппарат случайных чисел использовал автор теории информации Клод Шеннон. Сам он подразумевает под термином «информация» нечто фундаментальное (нередуцируемое). В теории Шеннона интуитивно полагается, что информация имеет содержание. Информация уменьшает общую неопределённость и информационную энтропию. Количество информации доступно измерению. Однако он предостерегает исследователей от механического переноса понятий из его теории в другие области науки

· Кибернетика (Теория управления)

Основоположник кибернетики Норберт Винер дал следующее определение информации: «Информация — это обозначение содержания, полученное нами из внешнего мира в процессе приспосабливания к нему нас и наших чувств».

Кибернетика рассматривает машины и живые организмы как системы, воспринимающие, накапливающие и передающие информацию, а также перерабатывающие её в сигналы, определяющие их собственную деятельность.

Материальная система в кибернетике рассматривается как множество объектов, которые сами по себе могут находиться в различных состояниях, но состояние каждого из них определяется состояниями других объектов системы. В природе множество состояний системы представляет собой информацию, сами состояния представляют собой первичный код или код источника. Таким образом, каждая материальная система является источником информации.

Субъективную (семантическую) информацию кибернетика определяет как смысл или содержание сообщения. Информация — это характеристика объекта.

· Алгоритмическая теория информации

Как область математики — алгоритмическая теория информации была создана А. Н. Колмогоровым. Две основополагающие статьи по ней были опубликованы в журнале «Проблемы передачи информации» в 1965 и 1969 годах. Центральным в этой теории является понятие алгоритмической (также называемой колмогоровской) сложности информационного объекта, то есть алгоритмического способа его описания (формирования); эта сложность определяется как минимальная длина алгоритма, формирующего такой объект. Теорема Колмогорова устанавливает, что среди алгоритмов, формирующих информационный объект существуют оптимальные, хотя такие алгоритмы не единственные и отличаются для разных способов представления алгоритмов, тем не менее для заданных двух оптимальных способов их длина (сложность) отличается не более чем на аддитивную константу. Задача вычисления алгоритмической сложности объекта является алгоритмически неразрешимой.

· Семиотика

комплекс научных теорий, изучающих свойства знаковых систем. Наиболее существенные результаты достигнуты в разделе семиотики — семантике. Предметом исследований семантики является значение единиц языка, то есть информация, передаваемая посредством языка.

Знаковой системой считается система конкретных или абстрактных объектов (знаков, слов), с каждым из которых определённым образом сопоставлено некоторое значение. В теории доказано, что таких сопоставлений может быть два. Первый вид соответствия определяет непосредственно материальный объект, который обозначает это слово и называется денотат (или, в некоторых работах, — номинат). Второй вид соответствия определяет смысл знака (слова) и называется концепт. При этом исследуются такие свойства сопоставлений как «смысл», «истинность», «определимость», «следование», «интерпретация» и др. Для исследований используется аппарат математической логики и математической лингвистики.

Идеи семантики, намеченные ещё Г. В. Лейбницем и Ф. де Соссюром в XIX веке, сформулировали и развили Ч. Пирс (1839—1914), Ч. Моррис (1901—1979), Р. Карнап (1891—1970) и др.

Основным достижением теории является создание аппарата семантического анализа, позволяющего представить смысл текста на естественном языке в виде записи на некотором формализованном семантическом (смысловом) языке.

Семантический анализ является основой для создания устройств (программ) машинного перевода с одного естественного языка на другой.

· Юриспруденция

Любые сведения, сообщения, данные, независимо от их оформления, являются информацией — материальным или нематериальным объектом, участвующим в любых отношениях. Развитие технологических возможностей переработки и передачи информации выделило её в самостоятельный предмет производственных, управленческих, идеологических и личных отношений. Информация стала товаром, продукцией, предметом труда и объектом услуг. В системе правовых отношений её рассматривает информационное право. Некоторые международные правовые акты и законодательства ряда стран (в том числе России) провозглашают право человека на свободный поиск, получение, передачу, производство и распространение информации любым способом, не нарушающим законы

· Квантовая теория информации

научная дисциплина на стыке математики, информатики, квантовой физики, в которой изучаются общие закономерности передачи, хранения и преобразования информации в системах, подчиняющихся законам квантовой механики. Квантовая теория информации использует математические модели для исследования потенциальных возможностей таких систем, а также разрабатывает принципы их рационального и помехоустойчивого построения. Квантовая теория информации приводит к новому пониманию фундаментальных закономерностей квантовой теории, её оснований и соотношений с реальностью, а также стимулирует развитие экспериментальной физики.

B квантовой теории информации носителем информации является состояние квантовой системы, которое представляет собой информационный ресурс постольку, поскольку имеет статистическую неопределённость. При математическом рассмотрении чистому состоянию соответствует проектор ​ на вектор ψ из гильбертова пространства системы H. В квантовой статистике рассматриваются также смешанные состояния, представляющие собой статистический ансамбль чистых состояний Pψi​​ с вероятностями pi​. Такое состояние описывается оператором плотности

ρ=∑ipiPψi​​, (1.1)

который характеризуется свойствами:
1)
ρ – положительный оператор; 2) ρ имеет единичный след, Trρ=1. Т. о., собственные числа λj​ оператора плотности образуют распределение вероятностей. Энтропия этого распределения

H(ρ)=−j∑​λj​log2​λj​=−Trρlog2​ρ, (1.2)

называемая энтропией фон Неймана, является мерой неопределённости, т. е. информационного содержания состояния ρ, подобно энтропии Шеннона классического источника сообщений.

При передаче классической информации (т. е. произвольного сообщения) по квантовому каналу связи она записывается в квантовом состоянии посредством задания значений параметров прибора, приготавливающего состояние. Однако вся полнота информационного содержания квантового состояния не может быть сведена к классическому сообщению и поэтому заслуживает специального термина «квантовая информация». Это связано с тем, что квантовое состояние содержит в себе статистику всевозможных, в том числе и взаимоисключающих (дополнительных) измерений над системой. Наиболее ярким отличием квантовой информации является невозможность копирования (англ. no-cloning). Простое рассуждение, основанное на линейности уравнений квантовой эволюции, доказывает невозможность «квантового ксерокса», т. е. физического устройства, позволяющего копировать произвольную квантовую информацию.

· Политика

Можно выделить следующие модели информационной политики в организациях:

· Анархия: отсутствие общей политики управления информацией.

· Феодализм: подразделения организации самостоятельно принимают решения по управлению информацией, предоставляя её руководству в ограниченном виде.

· Федерализм: поиск консенсуса по управлению информацией между структурами организации.

· Монархизм: руководство организации контролирует потоки информации и может ограничивать доступ к ней.

· Техноутопизм: поиск технологического решения для категоризации и моделирования информации.

Измерение информации

· Количество информации

Пионером в области информационной теории был Ральф Хартли. Он ввёл понятие «информации» (энтропии) как случайной переменной и был первым, кто попытался определить «меру информации». Простейшей единицей измерения информации является бит — единица измерения количества информации, принимающая 2 логических значения: да или нет, истина или ложь, включено или выключено; 1 или 0 в двоичной системе счисления. В современных вычислительных системах одномоментно обрабатываются 8 бит информации, называемые байтом. Байт может принимать одно из 256 (2 в 8 степени) различных значений (состояний, кодов).

· Ценность информации

1) Мерой ценности, предложенной М.М. Бонгартом и А.А. Харкевичем, является:

V = log2 (P/p), (1.3)

где p - вероятность достижения цели до получения информации, а P - после.

Априорная вероятность p зависит от информационной тары или. что тоже, полного количества информации I: p = 2-I . Так, если до получения информации все варианты равновероятны, то p = 1/n (где: n -число вариантов, а I = log2 n).

Апостериорная вероятность Р может быть как больше, так и меньше р. В последнем случае ценность отрицательна, и такая информация называется дезинформацией. Примером последней может служить указатель на разветвлении дорог, который по каким-то причинам повернут в другую сторону. Таким образом вероятность Р находится в пределах 0 < Р <1, и, соответственно, - <V< Vmax

2) Мерой ценности, предложенной В.И. Корогодиным, является величина

V = (P-p) / (1-p) (1.4)

Она обладает теми же свойствами, что ценность (1,3), но изменяется от 0 до 1

Символ информации

Информацию обозначают маленькой буквой i в кружочке

Символ - ⓘ

Юникод - U+24D8

Название - circled latin small letter i

Дезинформация

Дезинформацией (также дезинформированием) называется один из способов манипулирования информацией, как то - введение кого-либо в заблуждение путём предоставления неполной информации или полной, но уже не нужной информации, или полной, но не в нужной области, искажения контекста, искажения части информации.

Цель такого воздействия всегда одна — оппонент должен поступить так, как это необходимо манипулятору. Поступок объекта, против которого направлена дезинформация, может заключаться в принятии нужного манипулятору решения или в отказе от принятия невыгодного для манипулятора решения. Но в любом случае конечная цель — это действие, которое будет предпринято.

Актуальные теории информации

Итак, на основе вышесказанного, можно выделить 2 перспективных направления изучения информации, как научного явления: 1. Квантовая теория информации (для систем, подчиняющихся законам квантовой механики) 2. Синергетическая теория информации (основанная на понятии синтропия – негэнтропия отражения)

На сегодняшний день известны 2 теории информации, построенные в соответствии с методологией интеграции наук – «Всеединством», «Универсальным эволюционизмом» и «Физическим редукционизмом».

Всеединство - стремление понять и представить в рамках единого подхода все явления природы. Речь идет об объединении наук точных (физика, химия), естественных (биология) и гуманитарных. В этом смысле “всеединство - синоним “интеграции”. На языке теории распознавания для интеграции нужно составить множество решающих правил и построить в нем решающее супер-правило. Для этого необходимо использовать код (т.е. язык), на котором, формулируются решающие правила.

В точных науках такой язык уже существует, это современная математика. Этот язык сейчас в человеческом обществе уже универсален (т.е. общепринят). Разумеется. он является условной информацией, хотя часто воспринимается как объективная реальность, что иногда приводит к недоразумениям (примеры обсудим ниже). Вопрос: достаточен ли язык современной математики для описания всех явлений природы, является спорным и подлежит обсуждению.

В естественных и гуманитарных науках используется язык слов (вербальный код). В точных науках этот язык тоже, конечно, используется наряду с математическим. Вербальный язык более адекватен интуитивному мышлению, но для точных наук явно недостаточен.

Универсальный эволюционизм преследует туже цель - познать мир, как целое. При этом внимание акцентируется на том, что мир в целом, равно, как и наука о нем, не статичен, но развивается. В биологии и социальных науках это осознано давно. В физике - сравнительно недавно, в связи с исследованиями эволюции Вселенной. В синергетике развитие лежит в основе науки и потому её иногда отождествляют с теорией развивающихся систем.

Законы развития организма и общества) имеют много общего Эта общность связана с тем, что во всех случаях речь идет о возникновении информации и эволюции её ценности. Поэтому формулировка общих законов развития (т.е. универсальный эволюционизм) становится актуальным направлением.

В среде физиков стремление описать все на свете в рамках единой теории (т.е. из “первых принципов”) получило название “физический редукционизм” Оно появилось сравнительно давно. В основе его лежит уверенность в том, что сложные явления природы можно свести к совокупности простых, подчиняющихся фундаментальным законам физики. Подчеркнем, речь идет именно о физике, а не о какой либо другой науке. В этом проявляется известный “физический снобизм”. Уравнения Ньютона, Максвелла, Шредингера действительно фундаментальны - в этом уверены все. Достаточны ли они для описания всех явлений природы, начиная от сотворения нашего мира и до появления живых и мыслящих существ - в этом уверены не все. Именно в этом и состоит проблема физического редукционизма.

По этому поводу существуют следующие мнения:

Первая точка зрения состоит в том, что фундаментальные законы физики необходимы и достаточны для описания любого явления природы. Другие естественные науки ( химия, биология) основываются на законах физики и используют их в специальных для данной науки условиях. Такой банальный редукционизм действительно не состоятелен. Более того, даже для “вывода” законов термодинамики уже необходима ревизия ряда понятий физики. На эту тему недавно высказались два весьма авторитетных в физике ученых: З.Б. Лафлин и Д. Пайнс. Они опубликовали статью под названием “Теория всего на свете” (“Theory of Everythink”). В ней показано, что ряд важных явлений (даже в неживой природе) невозможно описать исходя из “первых принципов”. Предложен ряд рецептов того, как обходить трудности. Предложено и новое название этих рецептов - “квантовый протекторат”. На мой взгляд авторам тоже следовало бы “спешиться” и ознакомиться с тем, что уже известно в синергетике и философии. Поэтому, конструктивность рецептов работы может быть подвергнута критике, но критическая часть работы сомнений не вызывает.

Вторая точка зрения в том, что фундаментальные законы физики действительно необходимы, но недостаточны для описания, например, живой природы и их необходимо дополнить. На первый взгляд это мнение противоречиво. Действительно, законы физики формулируются как полная (в математическом смысле) система аксиом. Дополнительные аксиомы приводят к переполнению системы и вступают в противоречие с основными постулатами. Именно этот вариант редукционизма может претендовать на описание явлений природы, включая живую. При этом приходится вводить новые понятия, которые в исходной аксиоматике не содержатся. Такое понимание редукционизма далее будем называть “правильным” (термин, разумеется, условен)

Существует мнение, согласно которому сложные явления (например, в живой природе и обществе) вообще не подвластны точным наукам. Это мнение противоречит стремлению познать мир в целом и на мой взгляд оно не верно по существу. Тем не менее, это мнение На первый взгляд кажется правдоподобным.. Действительно, для живых существ такие понятия как: желание, удовольствие, цель (в том числе цель жизни) естественны и осмысленны. С другой стороны точные науки (в том числе физика) до недавнего времени с этими понятиями вообще не имели дела. Однако, и эти понятия можно сформулировать на языке физики и химии. При этом особенно важную роль начинает играть понятие ценная информация.

Упомянутые три подхода: “всеединство”, “универсальный эволюционизм” и “редукционизм” составляют основу научного мировоззрения.

Кому нужно научное мировоззрение?

Большинство ученых тратят основную часть времени и сил на решение практических задач. Для этой деятельности никакое мировоззрение не нужно. Однако, часто встают проблемы, которые на первый взгляд кажутся неразрешимыми, обычно они называются парадоксами. Для их решения уверенность в правильности фундаментальных законов физики необходима. Отсутствие её порождает либо гиперскептицизм и робость, либо отсутствие само критицизма. Последнее ведет к фантазиям, не имеющим отношения к науке. Во избежание этого необходимо понимание фундаментальных законов физики и области их применимости, т.е. физический редукционизм в его правильном понимании. Оно же необходим для преподавателей физики. Задача педагога не только в обучении физическим методам, но и в формировании научного мировоззрения. В последнем редукционизм играет одну из главных ролей. Наконец, научное мировоззрение нужно для всех людей (не только физиков), которые хотят видеть мир как целое, а не как набор отдельных (и часто противоречивых) явлений.

Синергетическая (динамическая) теория информации

1) Универсальное информационное уравнение

Предметом познания данной теории являются информационно-количественные аспекты отражения дискретных систем через свои части (подсистемы). Ключевое положение при этом занимает универсальное информационное уравнение, первоначально полученное как соотношение между отражаемой ( I0 ), отраженной ( I∑ ) и неотраженной ( S ) информациями:

I0 = I∑ + S ( 1 )

Отраженная I∑ и неотраженная S информации именуются как аддитивная синтропия и энтропия отражения и характеризуют структуру отражаемой дискретной системы со стороны упорядоченности и хаотичности, соответственно.

Универсальность уравнения (1) заключается в многозначности его интерпретации, которая зависит от того, с какой стороны это уравнение рассматривается. В настоящее время можно указать пять таких интерпретаций:

1) Информационный закон отражения, согласно которому информация, отражаемая системой через совокупность своих частей, разделяется на отраженную и неотраженную части, равные, соответственно, аддитивной синтропии и энтропии отражения.

2) Закон сохранения суммы хаоса и порядка, в соответствии с которым, чтобы мы ни делали с системой без изменения общего количества элементов, на сколько бы частей не разбивали её по значениям какого-либо признака и в каком бы соотношении по числу элементов не находились между собой части, сумма хаоса и порядка в структуре системы всегда будет оставаться неизменной.

3) Закон сохранения информации на межвидовом информационном уровне, говорящий о том, что при любых структурных преобразованиях системы суммарное количество ее синергетической и вероятностной информации сохраняет свою постоянную величину.

4) Уравнение (1) выражает непосредственную взаимосвязь комбинаторного ( I0 ), синергетического ( I∑ ) и вероятностного ( S ) подходов к определению количества информации, в своей совокупности образующих единую количественную основу общей теории информации.

5) В термодинамическом отношении уравнение (1) асимптотически эквивалентно уравнению перехода системы идеальных газов из структурно-упорядоченного состояния в состояние термодинамического равновесия, составленному с помощью энтропии Больцмана.

В целом, универсальное информационное уравнение (1) свидетельствует о том, что в лице синергетической теории информации мы имеем новую научную теорию. Дальнейшее развитие этой теории и внедрение её в практику научных и прикладных исследований будет иметь значение не только для общей теории информации, но и для тех предметных областей, где объекты познания представимы в виде дискретных систем с конечным множеством элементов. В пользу этого говорит тот факт, что на синергетическую теорию информации уже делаются ссылки в публикациях различных авторов по тематике таких предметных областей, как поисковая геология, нефтегазовый промысел, физика атома, экономика, философия, структурная лингвистика, социальная политика, военное дело. Также уже есть прецеденты ее включения в образовательный процесс. Причем, как на уровне средней школы (открытые уроки), так и на уровне престижных вузов (отдельные лекции и рекомендации в качестве учебного материала).

2) Увидеть общую картину информационного процесса и понять суть феномена информации позволяет теория динамических систем, или, что то же, синергетика.

Это не случайно, развивающиеся сложные системы имеют много аспектов. В гуманитарных науках это свойство предстоит как многоликий образ - термин яркий эмоциональный, метафорический, но не четкий. В синергетике то же предстоит вполне конкретно, как мультистационарность или, что то же, многовариантность, многомодальность,

В синергетике эти понятия формулируются четко и конструктивно, так, что с ними можно работать.

Начиная с работ по классической теории информации, установилась традиция связывать информацию с термодинамической величиной - энтропией. Начало этой традиции было положено Н. Винером, увидевшем действительно бросающееся в глаза сходство формул Шеннона для количества информации I и формулы Больцмана для энтропии S. Различие в размерности устранялось выбором единиц измерения I, которое можно измерять и в энтропийных единицах.

В дальнейшем появилось слово "негоэнтропия" и утверждение: "информация есть негоэнтропия" Эти слова многократно повторялись в научных статьях, книгах и даже в учебниках. У людей, занимающихся конкретными проблемами информатики эти слова вызывали (и продолжают вызывать) недоумение и раздражение (внутренний дискомфорт), потому, что "что-то в здесь не так".

Согласно определению информация есть запомненный выбор (т.е. макроинформация).

На физическом языке "запомнить", то есть зафиксировать информацию, означает привести систему в определенное устойчивое состояние. Ясно, что таких состояний должно быть не меньше двух. Каждое из них должно быть достаточно устойчивым, в противном случае система может самопроизвольно выйти из того или иного состояния, что равносильно исчезновению информации.

Простейшая запоминающая система содержит всего два устойчивых состояния и называется триггер (переключатель). Этот элемент играет важную роль во всех информационных системах.

В электронике в качестве запоминающего триггера используют магнитные домены (размеры порядка микрон), а также электрические и светочувствительные ячейки (тоже микронных размеров).

Свойством запоминания могут обладать только макроскопические системы, состоящие из многих атомов. Запомнить что-либо, располагая одним атомом, невозможно, поскольку атом может находиться лишь в одном устойчивом (основном) состоянии. То же относится и к простейшим молекулам. Наименьшая по своим размерам самая простая система, которая может запомнить один вариант из двух возможных, это молекула, способная находиться в двух различных изомерных состояниях при условии, что спонтанный переход из одной формы в другую может происходить так редко, что его вероятностью практически можно пренебречь. Примером таких молекул могут служить оптические изомеры, обладающие "левой" или "правой" киральностью, различающейся по способности содержащих их растворов вращать вправо или влево плоскость поляризации света, пропускаемого через растворы. К таким оптическим изомерам относятся сахара и аминокислоты, содержащие десять-двадцать атомов.

Молекулярными триггерами могут служить макромолекулы (в частности, белковые молекулы), способные существовать в нескольких (по крайней мере двух) конформационных состояниях.

Системы более высокого иерархического уровня, такие как клетка, популяция, организм, мозг, разумеется, тоже могут быть запоминающими. Механизм запоминания при этом не всегда сводится к генетическому (то есть макромолекулярному). Например, клетка (в частности, нервная), способная функционировать в двух и более устойчивых состояниях, уже является запоминающим устройством.

Тоже можно сказать о популяции и организме. Механизм запоминания в нервных сетях (в частности, в мозге) имеет свои особенности.

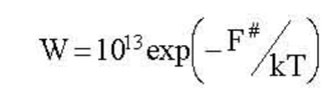
Важную роль играет время запоминания. В устойчивых динамических системах оно формально бесконечно. Переключить триггер из одного состояния в другое можно лишь за счет стороннего сигнала, что равносильно рецепции (см. выше). В реальности возможно спонтанное переключение (т.е. забывание исходного состояния) за счет случайных флюктуаций. Вероятность спонтанного переключения в единицу времени зависит от величины флюктуаций и высоты барьера F# между состояниями. В термодинамически равновесных (по микроскопическим степеням свободы) условиях эта вероятность равна:

Где: 1013 сек-1 - частота тепловых флюктуаций. Время запоминания Т= 1/W. При F# порядка 1.5 эВ время Т= 3·105 лет, что практически можно считать бесконечным.

Мы остановились на этом столь подробно, чтобы продемонстрировать:

Во-первых, макроинформация может содержаться только в макрообъектах.

Во-вторых, граница между макро и микро объектами проходит на уровне макомолекул, размеры которых порядка нанометров (10-9 метра или 10-7 сантиметра). Современная наноэлектроника подбирается к этой границе.

Наряду с макроинформацией выше упоминалось о микроинформации, которой соответствует выбор принципиально не запоминаемой. Примером последнего может служить выбор одного микросостояния идеального газа в состоянии термодинамического равновесия. Выбор микросостояния означает, что нам удалось в определенный момент времени t изменить координаты и скорости всех молекул с определенной точностью. Разумеется, это возможно лишь умозрительно, но и в этом случае выбранное состояние тут же (за время t~10-13 сек) , будет забыто, то есть сменится другим микросостоянием, выбранным по закону случая. Это свойство - забывать предыдущее микросостояние - является фундаментальным для эргодических систем. в которых средние по времени совпадают со средними по ансамблю. Именно оно понимается под словами "молекулярный хаос" и именно оно лежит в основе термодинамики.

Количество микроинформации в данном примере велико, согласно (1.3) оно равно:

Imicro=log2n=-log2W, (1.5)

где, nmicro число микросостояний , W=1/nmicro - вероятность случайно выбрать какое-либо одно из них. Количество макроинформации в том же примере, напротив мало; именно Imаcro= log2 nmаcro = 0, поскольку макросостояние равновесного газа единственно, то есть nmаcro = 1

Разумеется, макроинформация не может быть ни ценной ни смысловой и вообще не может использоваться, как информация в реальной жизни.

Тем не менее она широко обсуждается и является источником многих недоразумений.

Причину тому следующий:

Во-первых, формула (1.5) следующая из формулы Шеннона, очень похожа на формулу Больцмана для энтропии

-2

Где k=1,38 10-23 Дж/град. - постоянная Больцмана.

Поэтому микроинформация и энтропия пропорциональны друг другу:

-3

В действительности формула (1.7) представляет собой связь между энтропией и микроинформационной емкостью (или "тарой"), поскольку сравниваются энтропия до измерения (S(t)) и количество микроинформации после измерения I(t+t).

Можно , (только умозрительно) оценить энтропию сразу после измерения, то есть до того как наблюденное состояние разрушится (т.е. в течение t @ 10-13 сек). С точки зрения термодинамики нахождение макросистемы в одном микросостоянии - колоссальная флюктуация.

Энтропия ее много меньше равновесной энтропии S (до измерения).

Именно:

-4

где W(t1t+t) - условная вероятность того, что в момент t+t будет наблюдено то же макросостояние, которое реализовалась в момент t.

Ясно, что W(t1t+t)=1 и S(t+t)=0.

Отсюда следует, что в результате измерения энергия уменьшалась на величину

DS=S(t+t)-S(t)=-S(t)

Количество информации до измерения, когда выбор еще не сделан Imicro(t)=0 , поэтому прирост количества макроинформации D Imicro=+Imicro

Отсюда делается вывод:

-5

Интерпретация выражения (1.9) такова: при увеличении информации о системе ее энтропия уменьшается. Отсюда же происходит крылатое выражение "информация есть негоэнтропия".

Во-вторых, микроинформацию и энтропию связывает еще "демон" Максвелла.

Демон впервые появился более ста лет тому назад (в 1871 г.) в книге К. Максвелла "Теория теплоты", как парадокс, демонстрирующий возможность нарушения второго начала термодинамики.

Напомним суть дела. Имеются два сосуда с газом при исходно одинаковой абсолютной температуре Т. Они разделены перегородкой, в которой имеется отверстие с заслонкой. Заслонкой управляет "демон", он фиксирует скорости и в одну сторону пропускает только быстрые молекулы, а в другую - только медленные. В результате через некоторое время в одном сосуде температура повышается, а в другом - понижается.

Таким образом, тепло переходит от холодного тела к более теплому без совершения работы (на первый взгляд) - второе начало нарушается и энтропия уменьшается.

Разрешение парадокса было предложено известным физиком, много сделавшем дл развития теории конденсированных сред, Леоном Бриллюеном . Он показал, что даже демон бесплатно ничего не делает (так уж устроен наш мир). Для фиксации скорости молекулы, т.е. получению информации, демону нужно заплатить энергией, не меньшей, чем энергия теплового кванта kT (при комнатной температуре Т=300оК, kT= 0,025 эВ). Энергия kT/1,44 - минимальная цена одного бита микроинформации (1,44 - коэффициент перехода от натуральных логарифмов к двоичным). После этого стало ясно, что демон совершает работу и как раз такую, которая необходима для охлаждения одного тела и нагревания другого. По существу любой домашний холодильник работает как демон и за это тоже нужно платить.

При этом демон получает информацию равную уменьшению энтропии.

Так возникло утверждение: "информация есть негоэнтропия". Приставку "микро" при этом по недосмотру опустили, а зря, поскольку именно это привело к серьезным недоразумениям.

Разрешение парадокса всегда вдохновляет. Поэтому среди физиков -последователей Бриллюэна - демон и слово "негоэнтропия", как синоним информации, стали часто употребляться - возник миф о негоэнтропии.

Справедливости ради, следует заметить, что Бриллюэн различал свободную информацию (не давая ей, к сожалению, четкого определения) и связанную информацию, возникающую, когда возможные случаи "могут быть представлены как микросостояния физической системы". И далее: "Только связанная информация будет представляться связанной с энтропией". Отсюда ясно, что, во-первых, на деле Бриллюэн не приписывал любой информации свойства негэнтропии, а во-вторых, ограничивал свое рассмотрение только той частью информации, которая связана с микросостояниями. Так что к недоразумению привели не сам Бриллюэн, а его эпигоны.

После этих разъяснений формализм Бриллюэна выглядит очень просто и результаты расчетов соответствуют (1,9). Реально ни физического, ни информационного содержания термин "негэнтропия" не имеет (он от "демона"). Что же касается той информации, которой занимался Бриллюэн, то сам он называл ее "связанной"; в отечественной литературе принят термин "микроинформация".

Микроинформация существенно отличается от макроинформации, поскольку она не имеет важного для информации свойства фиксируемости, ибо незапоминаема.

Макроинформация существенно отличается от микроинформации не только качественно, но и количественно. Это ясно, если вернуться от энтропийных к обычным единицам измерения информации - битам.

-6

Iмикро - огромное число, ибо k = 1,38 Ч10-23 Дж/К (DS < 0) , Iмaкро << - (DS/k)log2e

Причина этого неравенства в том, что запоминание – процесс макроскопический и диссипативный, он сопровождается большим изменением энтропии.

Количественное различие ясно из следующих соображений.

Формула (1.3) справедлива как для микро-, так и для макроинформации, но существенно различны числа возможных вариантов n . В случае макроинформации n - число устойчивых состояний системы, оно, как правило, невелико. В случае микроинформации n - полное число микросостояний, (неустойчивых, то есть микроскопических) – оно огромно.

Яркий пример тому приведен в книге Блюменфельда "проблемы Биофизики" . Показано, что вся информация, заключенная в человеке (включая ДНК, белки, а также мысли, как тайные, так и явные), будучи выраженной в энтропийных единицах, соответствует энтропии испарения одного пол-литра кипяченой воды (на самом деле, не так уж важно, чего именно)

Всякий раз, когда в акте творчества создается новая ценная информация, мы имеем дело с макроинформацией. Из книг, лекций, природы мы рецептируем макроинформацию. Вообще в реальной жизни, в частности, в биологии всегда используется макроинформация, которую мы в предыдущих и в последующих разделах называем просто информацией.

Любое изменение макроинформации, увеличение или уменьшение, сопровождается ростом энтропии, что естественно, поскольку эти процессы необратимы. Количественной связи между изменениями макроинформации и физической энтропии не существует.

Энергетическая цена макроинформации, конечно, существует, она определяется энергией, диссипирующей в процессе запоминания и зависит от конкретных условий, в частности от времени на которое информацию нужно запомнить, то есть от свойств ячейки памяти. Эта энергия, приходящаяся на один бит информации, заведомо (и много) больше кТ/1,44 - энергии одного бита микроинформации.

Таким образом, слово негоэнтропия - появилось в результате непониманя роли условия запоминания информации. Слово негоэнтропия - пример условной информации, которая в действительности не ускорила, а, напротив, затруднило исследование информационных процессов, то есть оказалась на деле дезинформацией.

Именно от этого предостерегал Шеннон, слова которого приводились выше.

В заключение обсудим ещё одно недоразумение, связанное с понятием "порядок". Часто можно встретить утверждение о том. Что информация - мера упорядоченности, оно фигурирует даже в коллекции определений.

Это утверждение воспринимается как объективное (безусловное). На самом деле требуется уточнить. какая именно информация (ценная или нет, условная или безусловная) имеется в виду. Надо уточнить также, что понимается под словом "порядок". Без этих уточнений утверждение теряет смысл.

В действительности в приведенном утверждении неявно предполагается, что информация ценная, но в этом случае она наверняка условная, ибо зависит от цели.

Понятие "порядок" тоже целесообразно. Так, если цель - прогноз, то упорядоченными следует считать системы, развивающиеся устойчиво и допускающие предсказание результатов. Именно в этом смысле в физике хаотические системы считаются беспорядочными и энтропия здесь выступает как мера беспорядка.

В более общем случае, когда преследуются иные цели, меняется и смысл слова "порядок".

Для иллюстрации приведем пример из жизни.

Пусть некто (писатель или ученый) пишет книгу. Для этой цели он расположил материалы в определенном порядке: рукопись - на столе, черновики - под столом, статьи и книги - на стуле и диване. В кабинет входит жена и приходит в ужас, поскольку у неё другие цели и другое представление о порядке. Представьте, что ученый отлучился на время, а когда вернулся жена встретила его радостными словами: "я, наконец- то навела порядок в твоем кабинете". Представить состояние ученого в этот момент уже не трудно.

Из этого примера следует, что порядок - понятие условное в той же мере, как и ценная информация.

Утверждение: "Ценная информация есть мера условного порядка" имеет четкий смысл, оно правильно и, более того, банально. Отсюда ясно, что искать объективную меру объективного порядка бессмысленно, ни того, ни другого просто не существует.

Выводы

В методологическом плане главный вывод в следующем.

Интеграция наук на основе научного мировоззрения возможна.

Можно построить единую и непротиворечивую картину мира. Однако, для этого необходимо подвергнуть ревизии ряд фундаментальных понятий современной физики и математики и ввести относительно новое и не менее фундаментальное понятие – информация (точнее. Ценная информация).

Можно задать вопрос: какое явление природы лежит в основе возникновения информации, что заставило ученых взволноваться? Ответ тоже прост: это явление - неустойчивость. Понятно, сколь прочно информация связана с явлением неустойчивости. На интуитивном и вербальном уровне значение неустойчивости понималось уже давно. В качестве примера часто приводят “Буриданова осла” (его приписывают средневековому философу Жану Буридану (XIV век), хотя в дошедших до нас сочинениях Буридана этот пример отсутствует). Не менее яркие примеры приводились и позже. Однако, теория устойчивости была заложена лишь в конце прошлого века в работах А.М. Ляпунова, который ввел меру устойчивости - “число Ляпунова” Сперва это теория воспринималась как прикладная инженерная дисциплина. Её фундаментальное (методологическое) значение было осознано значительно позже и, возможно еще не полностью, поскольку дискуссии по этому поводу продолжаются.

Наиболее важные следствия этого явления:

i) Ревизия понятия причины. Именно благодаря неустойчивости “причиной” может стать Его Величество Случай. Тому пример – история о том, как муха разбила хрустальную вазу. Случай выступает здесь не как результат незнания предыстории процесса, а как символ истинного незнания, то есть принципиальной невозможности учесть исчезающе малые влияния.

Ревизии подлежит и понятие “абсолютно замкнутой системы”. Оно понималось как предел незамкнутой системы, когда внешние воздействия исчезающе малы. В устойчивых системах такое понимание оправдано. В неустойчивых системах оно теряет смысл, поскольку возмущения нарастают со временем. При этом сама неустойчивость является внутренним свойством системы, но не внешних возмущений. Напомним, что он же - случай - лежит в основе генерации новой ценной информации.

ii) Необратимость процессов во времени, или, иными словами, направление “стрелы времени”. В современной физике фундаментальные законы сохранения связаны с симметрией. Так, сохранение импульса - следствие симметрии пространства, сохранение энергии - симметрии обращения времени. Именно поэтому фундаментальные законы физики формулируются в виде гамильтоновых систем, где обратимость времени гарантирована. Необратимость времени влечет за собой не сохранение энергии. Последнее противоречит всему тому, что мы знаем о нашем мире. С другой стороны, необратимость процессов во времени тоже явление фундаментальное и от него тоже нельзя отказаться. Неустойчивость позволяет разрешить это противоречие, поскольку именно она является “причиной” такого нарушения симметрии времени, которое не нарушает закона сохранения энергии и, вместе с тем позволяет описать диссипативные процессы. При этом энергия разделяется на две части: свободную и связанную. Первая может переходить во вторую и при этом рассеивается (диссипирует), но не исчезает. Связанная энергия может переходить в свободную лишь частично, что и составляет суть второго начала термодинамики.

iii) Ревизия понятия бесконечно большого (и бесконечно малого) и введение понятия “гугол”. (числа порядка 10 в степени 100 и большие). Последнее тоже чисто практическое утверждение о том, что физически реализуемые (наблюдаемые) величины такими числами выражаться не могут. Это утверждение, как практическое, сомнений не вызывало. Фундаментальное значение его было осознано позже, и опять же оказалось, что оно связано с неустойчивостью. Именно, в неустойчивых процессах малые начальные отклонения (меньшие, чем “обратный гугол”) приводят к большим последствиям. Пренебрежение этим фактам ведет к тому, что ряд математически строгих теорем оказывается в противоречии с не менее фундаментальными законами физики (в частности, с вторым началом термодинамики).

iv) Неустойчивость является непременным условием генерации новой ценной информации.

Воспринимать, хранить и передавать информацию можно в устойчивых процессах. Неустойчивость в этих процессах является только помехой. Однако, создавать ценную информацию можно только в условиях неустойчивости. Представьте теперь, чего бы стоила теория информации и само понятие “информация”, если бы природа (живая или не живая) не могла создавать новую ценную информацию. Из изложенного следует, что неустойчивость расширяет наши представления о мире и должно играть фундаментальную роль в том, что мы называем миропониманием, мировоззрением. В науке 21-ого века неустойчивость будет играть роль одного из краеугольных камней. Сейчас такая наука зарождается. Название её ещё не устоялось, поэтому используют: “нелинейная динамика”, “нелинейная термодинамика” и “синергетика”.

Список литературы

Бауместер Д., Экерт А., Цайлингер А. Физика квантовой информации. — М.: Постмаркет, 2002. — 376 с.

Берг А.И., Спиркин А.Г. Кибернетика и диалектико-материалистическая философия // Проблемы философии и методологии современного естествознания. М., 1973

Берлянт А. М. Образ пространства: карта и информация. М., 1986.

Блюменфельд, Л.А., 1996. Информация, термодинамика и конструкция биологических систем. Соросовский образовательный журнал 7, 88–92.

Боголюбов Н. Н., Гнеденко Б. В., Соболев С. Л. Андрей Николаевич Колмогоров (К восьмидесятилетию со дня рождения) /Пред. к книге: Колмогоров А. Н. Теория информации и теория алгоритмов. — М.: Наука, 1987. — Стр. 16. — 304 с.

Бриллюэн Л. Наука и теория информации. М., 1960.

Винер Н. Кибернетика. М., Советское радио, 1968 г.

Винер Н. Кибернетика, или управление и связь в животном и машине; или Кибернетика и общество/ 2-е издание. — М.: Наука; Главная редакция изданий для зарубежных стран, 1983. — 344 с.

Волькенштейн, М.В., 1986. Энтропия и информация. Наука, Москва.

Вяткин В.Б. К вопросу взаимосвязи комбинаторного, вероятностного и синергетического подходов к определению количества информации - Научный журнал КубГАУ, №108(04), 2015 года – 35с.

Вяткин В.Б. Теория информации и проблема негэнтропийной оценки признаков //Техногенез и экология: Информационно-тематический сборник – Екатеринбург: УГГГА, 1998 – С. 26 – 36.

Вяткин В.Б. Синергетическая теория информации: общая характеристика и примеры использования. // Наука и оборонный комплекс – основные ресурсы российской модернизации. Материалы межрегиональной научно-практической конференции. – Екатеринбург: УрО РАН, 2002. – С. 361-390.

Вяткин В.Б. Синергетическая теория информации. Часть 1. Синергетический подход к определению количества информации // Политематический сетевой электронный научный журнал Кубанского государственного аграрного университета (Научный журнал КубГАУ) [Электронный ресурс]. – Краснодар: КубГАУ, 2008. – №44(10). С. 166-189.

Вяткин В.Б. Синергетический подход к определению количества информации //Информационные технологии. – 2009, № 12. – С. 68-73.

Вяткин В.Б. Введение в синергетическую теорию информации // Информационные технологии. – 2010, № 12. – С. 67-73.

Вяткин В.Б. Синергетическая теория информации. Часть 2. Отражение дискретных систем в плоскости признаков их описания // Политематический сетевой электронный научный журнал Кубанского государственного аграрного университета (Научный журнал КубГАУ) [Электронный ресурс]. – Краснодар: КубГАУ, 2009. – №45(1). С. 154-183

Вяткин В.Б. Информационно-квантовые характеристики и отраженные образы конечных множеств // Информационные технологии. – № 7, 2012. – С. 50-56.

Вяткин В.Б. Хаос и порядок дискретных систем в свете синергетической теории информации // Политематический сетевой электронный научный журнал Кубанского государственного аграрного университета (Научный журнал КубГАУ) [Электронный ресурс]. – Краснодар: КубГАУ, 2009. – №03(47). С. 96 – 129.

Вяткин В.Б. Основное уравнение синергетической теории информации и его интерпретация // Вычислительный интеллект (результаты, проблемы, перспективы): Материалы 2-й Международной научно-технической конференции. – Черкассы: Маклаут, 2013. – С. 345-346.

Глик Д. Информация. История. Теория. Поток. — М.: Corpus. — 576 с. — ISBN 978-5-17-080465-8.

Глушков В.М. Мышление и кибернетика // Вопросы философии. – № 1, 1963. – С. 36-48.

Гуревич И.М. Информация как универсальная неоднородность // Информационные технологии. – № 4, 2010. – С. 66-74.

Денисов, А.А., 1998. Информационное поле. Омега, С.-​Петербург

Дубровский, Д.И., 2013. Проблема “сознание и мозг”: информационный подход. ЗНАНИЕ.ПОНИМАНИЕ.УМЕНИЕ 92–98.

Кадомцев, Б.Б., 1999. Динамика и информация. Ред. журнала `Успехи физических наук, Москва.

Килин, С.Я., 1999. Квантовая информация. УФН 169, 508–526.

Колмогоров А. Н. Теория информации и теория алгоритмов. М., Наука, 1987 – 304 с.

Колмогоров А.Н. Три подхода к определению понятия «количество информации» //Проблемы передачи информации. – 1965, т.1, №1 – С. 3-11.

Колмогоров А.Н. К логическим основам теории информации и теории вероятностей // Проблемы передачи информации. – 1969, т. 5, № 3. – С. 3-7.

Колмогоров А. Н. Комбинаторные основания теории информации и исчисления вероятностей // УМН

Колмогоров А. Н. Проблемы теории вероятностей и математической статистики //Вестник Академии наук СССР, 1965, №5., 1983, т. 38, вып. 4.

Колин К. К. Природа информации и философские основы информатики // Открытое образование. 2005, № 2.

Колин К. К. Эволюция информатики // Информационные технологии. 2005, № 1.

Крюкова О. О семантической истории слова "информация" // Социальные и гуманитарные науки. Отечественная и зарубежная литература. Сер. 6, Языкознание: Реферативный журнал. — 2019. — Вып. 3. — С. 143–148.

Куприянов, А.О., 2017. Информационые поля в накуах о земле. Геоинформатика 79–89.

Луценко Е.В. Автоматизированный системно-когнитивный анализ в управлении активными объектами (системная теория информации и ее применение в исследовании экономических, социально-психологических, технологических и организационно-технических систем). Монография (научное издание). – Краснодар: КубГАУ. 2002. – 605с.

Мазур М. Качественная теория информации. М., 1974.

Мелик-Гайказян И. В. Информационные процессы и реальность. — М.: Наука, Физматлит, 1997. — 192 с. — ISBN 5-02-015086-X.

Налимов В.В. Вероятностная модель языка. М., 1979.

Нильсен М., Чанг И. Квантовые вычисления и квантовая информация. — М.: Мир, 2006. — 824 с.

Новик И. Б. Негэнтропия и количество информации // Вопросы философии, 1962, № 6.

Новик И. Б. Кибернетика. Философские и социологические проблемы. М., 1963.

Петрушенко Л. А. Самодвижение материи в свете кибернетики. М., 1971.

Поплавский, Р.П., 1979. Демон Максвелла и соотношение между информацией и энтропией. УФН 128, 166–176.

Седов Е. Одна формула и весь мир (книга об энтропии). М., 1982.

Сетров М.И. Информационные процессы в биологических системах. Л., 1974.

Силин, А.А., 1998. Тайна информации. – «Сознание и физич. реальность», т. 4, № 1, с. 14

Соколов А.В. Информация как метафора // Труды Санкт-Петербургского государственного университета культуры и искусств. – Том 200, 2013. – с.416-424

Сонин А.С. Постижение совершенства. М., 1987

Стратонович Р. Л. Теория информации М.: Сов. радио, 1975. — 424 с.

Урсул А. Д. Природа информации. — М.: Политиздат, 1968. — 288 с.

Урсул А. Д. Проблема информации в современной науке. — М.: Наука, 1975.

Урсул А.Д. Отражение и информация. М., 1973 г.

Харкевич, А.А., 1960. О ценности информации, in: Проблемы Кибернетики. Физматгиз, Москва, pp. 53–57.

Хартли Р.В.Л. Передача информации // Сб.: Теория информации и ее приложения. – М.:Физматгиз, 1959. – С. 5-35.

Холево А. С. Введение в квантовую теорию информации. — М.: МЦНМО, 2002. — 128 с. — ISBN 5-94057-017-8.

Хренников А. Ю. Введение в квантовую теорию информации. — М.: Физматлит, 2008. — 284 с. — ISBN 978-5-9221-0951-2.

Хургин В. Об определении понятия «информация» // Информационные Ресурсы России. — 2007. — № 3.

Чалмерс, Д., 2013. Сознающий ум. В поисках фундаментальной теории. Книжный дом «ЛИБРОКОМ».

Чернавский Д.С. Синергетика и информация: Динамическая теория информации. – М.: Либриком, 2013. – 304с.

Чернавский, Д.С., 2000. Проблема происхождения жизни и мышления с точки зрения современной физики. УФН 170, 157–183.

Шеннон К. Работы по теории информации и кибернетике. – М.: Изд. иностр. лит., 1963. –830 с.

Юзвишин И.И. Основы информациологии.- 2-е издание,- М., 2000.-216 с.

Юсупов Р.М., Кузнецов Н.А., Полонников Р.И. Состояние, перспективы и проблемы развития информатики // Теоретические основы и прикладные задачи интеллектуальных информационных технологий. СПб.: СПИИРАН, 1998.

Яглом А.М., Яглом И.М. Вероятность и информация. – М.: Наука, 1973. – 512с

Pieter Adriaans. Information // The Stanford Encyclopedia of Philosophy / Edward N. Zalta, Uri Nodelman. — Metaphysics Research Lab, Stanford University, 2024.

Saracevic T. Report at conference on “Education for Information Science. Strategies for Change in Library School Program // Journal of American Society for Information Science. 1979. Vol.1, 2 P.76

Shannon C.E. Collected Papers. IEEE Press, 1993, p. 180