Добавить в корзинуПозвонить
Найти в Дзене

Технология написания уравнений реакций обмена, протекающих по механизму необратимого гидролиза

Вы хотите познавать химию и профессионально, и с удовольствием? Тогда вам сюда! Автор методики системно-аналитического изучения химии Богунова В.Г. раскрывает тайны решения задач, делится секретами мастерства при подготовке к ОГЭ, ЕГЭ, ДВИ и олимпиадам Чтобы добиться успеха при подготовке учеников к ЕГЭ, я всегда работаю на опережение и уже с первых занятий ввожу задания, которые могут появиться в будущем году. Для правильного прогноза необходимо досконально знать особенности реальных заданий ЕГЭ текущего года. Поэтому, отдыхать некогда, нужно работать, работать и еще раз работать, разбирая по косточкам каждое творение ФИПИ. Среди многочисленных реакций, представленных на ЕГЭ, есть "особенно любимые". Они встречаются часто, много, ежегодно. К таковым относятся реакции обмена, протекающие по механизму необратимого гидролиза. Удивительно, но процент выполнения заданий с такими реакциями очень низкий. Думаю, это связано все с теми же "граблями", на которые каждый год наступают большинст

Вы хотите познавать химию и профессионально, и с удовольствием? Тогда вам сюда! Автор методики системно-аналитического изучения химии Богунова В.Г. раскрывает тайны решения задач, делится секретами мастерства при подготовке к ОГЭ, ЕГЭ, ДВИ и олимпиадам

Чтобы добиться успеха при подготовке учеников к ЕГЭ, я всегда работаю на опережение и уже с первых занятий ввожу задания, которые могут появиться в будущем году. Для правильного прогноза необходимо досконально знать особенности реальных заданий ЕГЭ текущего года. Поэтому, отдыхать некогда, нужно работать, работать и еще раз работать, разбирая по косточкам каждое творение ФИПИ.

Среди многочисленных реакций, представленных на ЕГЭ, есть "особенно любимые". Они встречаются часто, много, ежегодно. К таковым относятся реакции обмена, протекающие по механизму необратимого гидролиза. Удивительно, но процент выполнения заданий с такими реакциями очень низкий. Думаю, это связано все с теми же "граблями", на которые каждый год наступают большинство преподавателей химии, заставляющие своих учеников запоминать реакции на память! Скорее всего, на этих словах многие из вас возопят: "Неужели можно по-другому?!" Да, ребята, и можно, и нужно по-другому, а именно, нужно понимать особенности механизма реакции и знать технологию написания уравнения реакции. Тогда любая реакция, представленная на ЕГЭ, не застанет вас врасплох.

Для изучения технологии написания уравнений реакций, протекающих по механизму необратимого гидролиза, вспомним основные понятия

Основные понятия

Гидролиз солей - это химическое взаимодействие ионов соли с молекулами воды, приводящее к образованию слабого электролита. В гидролиз вступает не более 4% вещества соли
Соль - это "дитя" основания (катион) и кислоты (анион)
Мнемонический постулат: в гидролиз вступает слабый, реакцию среды определяет сильный. Если оба сильные, гидролиз не происходит, среда нейтральная
Сильные основания: гидроксиды металлов IA- и IIA-групп (от Са)
Сильные кислоты: HCl, HBr, HI, HNO3, H2SO4 и некоторые другие
При решении заданий на гидролиз обязательно нужно пользоваться таблицей растворимости. Нерастворимая соль не гидролизуется!
Большинство реакций гидролиза - обратимые.
Необратимый гидролиз протекает, если соль образована слабым нерастворимым основанием металла и слабой летучей кислотой. В таблице растворимости такие соли помечаются знаком "".
Al2S3 + 6H2O 2Al(OH)3↓ + 3H2S↑
Fe2(CO3)3 + 3H2O 2Fe(OH)3 + 3CO2

Механизм необратимого гидролиза в реакциях обмена

Если в реакции обмена участвуют соли, одна из которых гидролизуется по катиону с образованием нерастворимого основания, а другая - по аниону с образованием летучей кислоты, то реакция обмена прописывается по технологии "водного баланса" (авт.).

Технология "водного баланса" (авт.)

1) Диагностика реакции. Реакции обмена, в основе которых лежит необратимый гидролиз, легко определяются по таблице растворимости: в клеточке одного из предполагаемых продуктов стоит знак "".

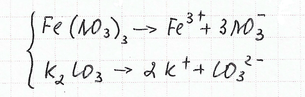
2) Написание уравнений диссоциации солей

-2

3) Написание уравнений гидролиза для катиона и аниона (полуреакции в общей реакции обмена). В гидролизе участвует одно и тоже число молекул воды - составляем водный баланс (по аналогии с электронным балансом) и выписываем ионное уравнение реакции. Дописываем ионы-неучастники и составляем молекулярное уравнение реакции обмена.

-3

Попробуйте решить задачу, которая вполне может появиться в 29-й позиции ЕГЭ 2020. Кстати, помимо уже описанного типа реакций, здесь есть еще одна очень интересная фишка. Попытайтесь ее найти.

Задача

Смесь сульфата алюминия и сульфида калия массой 1,344 г обработали достаточным объемом воды. Исходные вещества полностью вступили в реакцию. Определите массу образовавшегося осадка.

Внимание! Внимание! Внимание!

С 12 сентября 2019 г. по 28 мая 2020 г. будут проводиться онлайн-занятия в формате видеоконференции на платформе Zoom (минигруппы до 7 человек).
Zoom – аналог Скайпа, только намного удобнее, потому как включает много инструментов для организации учебного процесса. Видеоконференция, в отличие от вебинара, живое занятие. Такой формат позволяет видеть каждого ученика и общаться с ним напрямую, учитывая особенности восприятия ребенка.
Вторник – Биология (профильный курс) с 19-00 до 21-00 (Мск)
Среда – Химия (профильный курс) с 19-00 до 21-00 (Мск)
Четверг – Химия (задачи) с 19-00 до 21-00 (Мск)
Методические материалы рассылаются перед каждым занятием.
Для подробной информации пишите в WhatsApp +7(903) 186-74-55

Вы хотите сдавать ЕГЭ по химии и биологии? Обязательно посетите мой сайт Репетитор по химии и биологии. Здесь вы найдете огромное количество задач, заданий, теоретического материала и познакомитесь с моими учениками.
На странице ВК я анонсирую свои публикации, вебинары, уроки, рассказываю и показываю решение задач и заданий, выкладываю новинки теоретического материала, конспекты и лекции. Добавляйтесь ко мне в друзья, и вы всегда будете в курсе всех событий, связанных с подготовкой к ЕГЭ, ДВИ, олимпиадам!
Полный каталог статей репетитора Богуновой В.Г. вы найдете на странице сайта Статьи репетитора
Подписывайтесь на YouTube-канал Репетитор по химии и биологии. Здесь ежедневно появляются новые вебинары, видео-уроки, видео-консультации, видео-решения.
Пишите мне в WhatsApp +7(903)186-74-55, я отвечу вам обязательно.
Приходите ко мне на занятия, я помогу вам фундаментально изучить химию и биологию, научу решать любые задачи, даже самые сложные.

Репетитор по химии и биологии кбн В.Богунова